Abstract
The in-plane elastic waves in periodically multilayered isotropic structures, which are decoupled from the out-of-plane waves, are represented mainly by the frequency–wavenumber spectra and occasionally by the frequency–phase velocity spectra as well as being studied predominantly for periodic bi-layered media along and perpendicular to the thickness direction in the existing research. This paper investigates their comprehensive dispersion characteristics along arbitrary in-plane directions and in entire (low and high) frequency ranges, including the frequency–wavelength, wavenumber–phase velocity, wavelength–phase velocity spectra, the dispersion surfaces and the slowness curves with fixed frequencies, as well as the frequency–wavenumber and frequency–phase velocity spectra. Specially, the dispersion surfaces and the slowness curves completely reflect the propagation characteristics of in-plane waves along all directions. First, the method of reverberation-ray matrix (MRRM) combined with the Floquet theorem is extended to derive the dispersion equation of in-plane elastic waves in general periodic multilayered isotropic structures by means of the elastodynamic theory of isotropic materials and the state space formalism of layers. The correctness of the derivation and the numerical stability of the method in both low and high frequency ranges, particularly its superiority over the method of the transfer matrix (MTM) within the ranges near the cutoff frequencies, are verified by several numerical examples. From these demonstrations for periodic octal- and bi-layered media, the comprehensive dispersion curves are provided and their general characteristics are summarized. It is found that although the frequencies associated with the dimensionless wavenumber along thickness ( is an integer) are always the demarcation between pass and stop bands in the case of perpendicular incident wave, but this is not always exist in the case of the oblique incident wave due to the coupling between the two modes of in-plane elastic waves. The slowness curves with fixed frequencies of Floquet waves in periodically multilayered isotropic structures, as compared to their counterpart of body waves in infinite isotropic media obtained from the Christoffel equation now have periodicity along the thickness direction, which is consistent to the configuration of the structures. The slowness curves associated with higher frequencies have a smaller minimum positive period and have more propagation modes due to the cutoff properties of these additional modes.
1. Introduction
The elastic wave propagations in periodically layered media were originally researched to understand the dynamic performance of composites and the acoustic waves in crystals (superlattices). The configuration periodicity of laminated composites and superlattices along the thickness direction causes the frequency bands of elastic waves. Within frequency ranges called passbands, the elastic waves propagate without attenuation; while within frequency ranges, called stopbands (bandgaps), the elastic waves attenuate without propagation. The band characteristics in these periodically layered structures provide an idea for controlling elastic waves, which are consistent in all kinds of phononic crystals [,].
As all the layers in the periodically laminated media are constituted of isotropic materials, the elastic waves thereof are decoupled into out-of-plane and in-plane waves (SH and P-SV waves). Therefore, the elastic wave propagation in periodic multilayered isotropic media can be studied by separately considering the out-of-plane (SH) waves and the in-plane (P-SV) waves, which makes the dealing with this problem easier as compared to solving the counterpart problem involving anisotropic materials. The out-of-plane (SH) wave is always pure shear mode, regardless of its propagation direction, thus is relatively easy to study and has been intensively researched [,,,]. However, the in-plane waves can be decoupled into pure longitudinal (primary, P) and pure transverse (shear, SV) modes only when it propagates along the thickness direction, and it should be coupled P-SV wave modes when it propagates along other directions. Both cases have been investigated persistently throughout the past several decades.
The studying of uncoupled P or SV waves perpendicular to layering is somewhat easier and has been conducted more frequently. Kosevich [] provided the closed form dispersion equation for periodic bi-layered media and its degenerations in several cases. The closed form dispersion equation for periodic bi-layered and fourfold media was derived by Wang et al. [] using the method of transfer matrix (MTM), and the frequency-real wavenumber (phase constant) dispersion properties of the two uncoupled wave modes in the corresponding media were discussed. Also considering periodic bi-layered media, Liu and Fan [] applied the meshless method to calculate the frequency–real wavenumber dispersion curves and validated the results by the lumped mass method; Chao and Lee [] proposed a discrete-continuum theory based on the two-term truncated power series expansion of the displacement field of each layer’s middle plane and calculated the frequency–real wavenumber dispersion curves. Gomopoulos et al. [] experimentally measured the band gap in periodic SiO2/poly layers at hypersonic frequency that was also examined by the finite element method (FEM). Esquivel-Sirvent and Cocoletzi [] used the MTM to calculate the frequency–wavenumber spectra of infinite periodic layers and the frequency–reflectivity of finite periodic layers, respectively. Mainly concerned with the pure longitudinal wave, Hussein et al. [,] studied the dispersion curves and mode shapes of infinite periodic layered media by the MTM and the natural properties, transmissibility, frequency (steady-state) responses, temporal (time–history) responses, and space responses of finite periodic layered structures by the finite element method (FEM), with emphasis on their influences on the number of unit cells. They also compared the band properties of the infinite media with the dynamic behaviors of the finite structures; Wu et al. [] calculated the frequency–real wavenumber spectra and defect bands of periodically bi-layered media with a dielectric elastomer defect layer by the plane wave expansion and the transmission spectra of the counterpart finite structure by the finite element method, which can be actively tuned by the applied electric voltage on the dielectric layer. Yu et al. [] numerically simulated the ultrasonic signal (transmission curve) in finite periodically bi-layered structure with cancellous bone microstructure and compared the results with the frequency–phase velocity and transmission spectra of the corresponding infinite periodic media.
The studying of the coupled P-SV (in-plane) waves along arbitrary directions is more complex, which has also been conducted by several researchers. Golebiewska [] derived the closed-form dispersion equation of coupled in-plane waves in periodic bi-layered media and provided its degeneration for small thicknesses ratio between two layers. For the periodic bi-layered media, Chao and Lee [] further used their proposed discrete-continuum theory and Djafari-Rouhani et al. [] applied the MTM to calculate the frequency–real wavenumber dispersion curves of coupled P-SV waves parallel to the layer, the latter [] further discussed the real wavenumber and phase velocity spectra of paralleled surface modes of semi-infinite periodic layers. Delph et al. [,] adopted both analytical and numerical methods to provide the frequency–wavenumber spectra, with special attention on the imaginary wavenumber (attenuation constant) along the thickness and the asymptotic behavior associated with large wavenumber parallel to the layering. Brito-Santana et al. [] proposed a nonlocal asymptotic dispersive (dynamic homogenization) method to analyze the phase velocity–wavenumber, group velocity–wavenumber dispersion curves and slowness curves with fixed wavenumber, and discussed the influences of unit cell size, incidence angle, and wavenumber on the wave dispersion; Using the same method, Brito Santana et al. [] further discussed the effects of the imperfect interface’s stiffness and incidence angle on the phase velocity–wavenumber and group velocity–wavenumber dispersion curves. Tahidul Haque et al. [] provided the frequency–wavenumber and frequency–transmission spectra of coupled in-plane waves in periodically alternating viscoelastic and elastic layers by using semi-analytic method and MTM, with special discussion on the influence of material viscoelasticity, and found that no band gap appears for oblique incidence, while there are band gaps for perpendicular incidences. For periodic bi-layered and fourfold media, Wang et al. [] further discussed the frequency–real wavenumber spectra of the obliquely-directed coupled modes by the MTM. The above-mentioned literatures focus on the in-plane waves in periodic layered media with infinite unit cells, and few studies have considered the coupled in-plane waves in periodic bi-layered media with a finite number of unit cells. Lenoir et al. [] computed the transmission spectra by the scattering matrix formalism and discussed their influence by the unit cell’s number. Safaeinili et al. [,] studied the frequency–phase velocity dispersion curves of guided (Lamb) waves forming by the interactions between the coupled P-SV waves with the surface conditions. Analytical results were obtained by the MTM, which were validated by numerical calculations based on stiffness method and by experimental measurements.
From the above review of the literatures on characteristic Floquet in-plane waves in infinite periodic multilayered isotropic media, it can be noted that the following four aspects should be further concerned. Firstly, the uncoupled longitudinal (primary) and transverse (shear vertical) waves that are perpendicular to layering and the coupled in-plane (P-SV) waves that are parallel to layering are most commonly studied, and among the few studies aimed directly at the coupled in-plane (P-SV) waves along oblique orientations [,,,], only Brito-Santana et al. [,] discussed the influence of the incidence angle on the dispersion properties. Yet the general characteristics of the in-plane waves along three types of orientations, i.e., directions perpendicular, parallel, and oblique to layering, have not been summarized, particularly as the discrepancies of these characteristics associated with three direction types of in-plane waves need to be pursued, which are the motivations of this paper. Moreover, as is known, the slowness curves can represent the overall differences of dispersion properties along all the in-plane directions, and to the authors’ knowledge so far only Brito-Santana et al. [] provided the slowness curves in form of fixed wavenumbers for in-plane waves in periodic multilayered isotropic media. However, the commonly used slowness curves in the form of a fixed frequency [] has never been provided, which can actually further represent the periodic properties of the wavenumber along the thickness as is found and demonstrated in this paper. The complete representation of the relationships between the wavenumber, the wave parameters along the thickness, and the wave parameters parallel to the layering has never been given either, which forms the other scientific motivation of this paper. Secondly, in existing works dispersion properties are predominantly represented by the frequency–real wavenumber (phase constant) spectra, and only a few studies have provided the imaginary wavenumber–frequency spectra [,,,,,], the phase velocity–frequency spectra [,,,,] and the phase velocity–wavenumber curves [,,]. Moreover, to comprehensively represent the dispersion characteristics, it is feasible to provide the relation curves between any two wave parameters among the frequency, wavenumber (wavelength), and phase velocity, in particular not only the real wavenumber (phase constant)–frequency spectra but also the imaginary wavenumber (attenuation constant)–frequency spectra are essential to describe the phase changes of propagating modes and the amplitude decrease of attenuating wave, respectively. Providing all kinds of dispersion curves and discussing their general characteristics are the other scientific contribution of this paper. Thirdly, for analyzing the characteristics of arbitrarily-directed in-plane waves in periodic multilayered isotropic media, the overwhelming analytical method is the method of transfer matrix (MTM), which, as is well known, suffers from numerical instability in certain cases, such as long transfer paths [,,]. In these cases, the MTM may lead to incorrect results or cannot give results. Any analytical method that is numerically stable, particularly in cases as the MTM fails, needs to be proposed for the analysis of arbitrarily-directed in-plane waves in periodic multilayered isotropic media. Here the method of the reverberation-ray matrix (MRRM) is proposed for this purpose. Fourthly, the numerical examples in existing research are all periodically bi-layered media to the authors’ knowledge, except that Wang et al. [], who considered the periodic fourfold media. Hence, whether the obtained dispersion properties of Floquet waves in the literatures are also applicable to periodic layered media with the unit cells have any number of isotropic layers is not sure; this will be explored in this paper.
To push forward the research development aiming at solving the above-mentioned concerns of the four aspects, this paper first presents the method of the reverberation-ray matrix (MRRM) as an alternative analytical method for the analysis of the in-plane Floquet wave propagation along arbitrary directions in general periodic multilayered isotropic media with unit cells constituting of any numbers of layers. The proposed MRRM is validated to be numerically stable within all the considered frequency ranges and in cases of all considered periodic laminated media with unit cells containing various constituent layers, such as two and eight layers. Thus, the summarized dispersion characteristics of Floquet in-plane waves should be the general properties for general periodic multilayered isotropic media. Then, this paper gives the comprehensive dispersion curves between any two quantities among frequencies and the wave parameters, including the wavenumber (or the wavelength) and the phase velocity, which refer to the frequency–real wavenumber (phase constant) spectra, the frequency–imaginary wavenumber (attenuation constant) spectra, the frequency–wavelength spectra, the frequency–phase velocity spectra, the wavenumber–phase velocity curves, and the wavelength–phase velocity curves. The wave parameters are simultaneously measured along the thickness and parallel the layering to express the characteristics of respective wave components, with any parameter group fixed and the other one as the coordinates of the comprehensive dispersion curves varying. Finally, for completely describing the dispersion properties of arbitrarily-directed waves, this paper provides the dispersion surfaces with the wavenumbers perpendicular and parallel to layering as the axes in the horizontal plane and the frequency as the vertical axis. In addition, the slowness curves in the form of a fixed frequency are given to characterize the discrepancies of dispersion properties of in-plane waves along different directions.
The paper is organized as follows: In Section 2, the basic model of general periodic multilayered isotropic media with considering the arbitrarily-directed in-plane wave propagation is described, which involves the configuration, the geometrical, and the physical description of the unit cell. In Section 3, within the framework of the state–space formalism, the state equations and their solutions of the constituent isotropic layers are given, according to the theories of elastodynamics and differential equations. Based on the state solutions in Section 3, the dispersion equation governing the propagation characteristics of in-plane Floquet elastic waves in general periodically-multilayered isotropic media is derived in Section 4 by combining the MRRM and the Floquet theorem. In Section 5, the verifications are conducted by numerical examples regarding the correctness and the numerical stability of the proposed MRRM as compared to the MTM. Comprehensive dispersion curves of in-plane Floquet waves propagating along the thickness, the layering, and the oblique direction are provided in combination with numerical examples. The dispersion surfaces within specified frequency ranges and the slowness curves with fixed frequency values of arbitrarily-directed in-plane Floquet waves are given. In Section 6, conclusions on the general characteristics of comprehensive dispersion curves of in-plane Floquet waves along three types of direction and their discrepancies are drawn. The characteristics of the dispersion surfaces and the slowness curves of the arbitrarily-directed in-plane Floquet waves in general periodic multilayered isotropic media are also summarized.
2. Basic Model
Consider the problem of in-plane waves propagating along arbitrarily directions in general periodically multilayered isotropic media with their unit cells constituting any number of isotropic layers. Thus, both the uncoupled P, SV modes along the thickness direction and the coupled P-SV waves in all other directions are included in the problem. By virtue of the Floquet theorem of periodic structures [], any one unit cell, as depicted in Figure 1, can be used and is enough for analyzing the dispersion characteristics of these elastic waves. As seen in Figure 1a, the frequencies (the wavenumbers parallel to the layering) of the characteristic Floquet waves in the periodic media and of the partial waves in the constituent layers are identical due to the Snell’s law [] and are all denoted by (). The wavenumber along the thickness of the characteristic Floquet waves in the periodic media are denoted by and measured by unit cell, while the wavenumbers along the thickness of the partial waves in the constituent layers are different and should be calculated from the equations governing the elastodynamics of individual isotropic layers. The unit cell with thickness consists of isotropic layers, extended to infinity in the layering and perfectly bonded at the interfaces, with its top layer and the bottom layer connected to the adjacent unit cells at its top and bottom surfaces, respectively. At the interfaces and the surfaces (), the partial waves within each constituent layers reflects and transmits (scatters) to finally form the characteristic Floquet waves in the unit cell (periodic media). From the top to the bottom of the unit cell, the constituent layers and the surfaces/interfaces are numbered with lowercase letters and uppercase letters, respectively. The thickness, the Lamé constants and the density of a typical layer are expressed by , , , and , respectively.
Figure 1.
The schematic of a general periodically multilayered isotropic media: (a) The unit cell, its global coordinate system, and the physical quantities of surfaces/interfaces; (b) the local dual coordinate systems and the physical quantities of a typical layer .
For the sake of describing the physical quantities of the surfaces/interfaces in the unit cell, a global coordinate system with its origin on the top surface is set up, as shown in Figure 1a. In the global coordinates, the physical variables of a surface/interface are denoted by a single-letter superscript indicating the associated surface/interface. In order to describe the quantities of constituent layers, say the typical layer , a pair of dual local coordinates and are established as shown in Figure 1b. , , and axes have identical directions to , , and axes, respectively. Coordinate () has opposite directions to (), while has the same direction as . Thus, the layer is also called as or with respect to the respective local coordinates. The physical variables of a layer are described in its local coordinates, with a double-letter superscript denoting the associated layer as well as coordinate system.
3. State Equations and Their Solutions for Constituent Isotropic Layers
Since in the isotropic materials the propagation of the in-plane waves can always be decoupled from the out-of-plane waves and here only the in-plane Floquet waves are considered, then only the in-plane displacements and are involved in the analysis, which are functions of the independent variables , , and . The equations governing the in-plane dynamic motions of any isotropic layer () in the unit cell within the local coordinates consist of the geometric, constitutive, and equilibrium equations (with superscripts omitted)
where , and are the displacement, strain, and stress vectors; and are, respectively, the operator matrix and the stiffness constant matrix as follows:
, , and are the density and the two Lamé constants of the isotropic material; The superscript “” here and after stands for the transposition of a vector/matrix.
Assuming all the involved displacements, strains, and stresses have harmonic solutions as
where is the imaginary unit; and denote the wavenumber along direction and the circular frequency, respectively; The caret “^” over a quantity stands for its counterpart in the domain. Due to the layering configuration of considered isotropic material, i.e., the thickness along axis being finite while the layering dimension along being infinite, the state vector of displacements and the state vector of stresses should be defined hereafter as the entire quantities involved in the surface/interface conditions. Thus, the state vector of the layer is within the framework of state–space formalism []. When the harmonic solutions in Equation (3) are substituted into Equation (1), and then all the strains and the stress in the resulting equations are eliminated, one obtains a system of ordinary differential equations governing the state vector:
which is called the state equation, where the coefficient matrix is expressed as
According to the fundamental theory of linear ordinary differential equations [], the solutions to the state Equation (4) can be expressed as
where and are the diagonal and square matrices composed of the eigenvalues and eigenvectors of the coefficient matrix , respectively; and are the block matrices of corresponding to the displacement and stress state vectors, respectively; is the undetermined coefficient vector meaning as the wave amplitude vector. In terms of the property of eigenvalue (), the eigenvalue matrix can be divided into block matrices and , where the components in satisfy or and the other eigenvalues belong to . Correspondingly, the eigenvector matrix is divided into block matrices and , () is divided into and ( and ), and the wave amplitude vector is separated into arriving wave vector and departing wave vector . Thus, the solutions in Equation (6) to the state vector can be understood as the superposition of traveling waves along and opposite the axis.
4. Method of Reverberation-Ray Matrix
4.1. Analysis of Layers
As for a typical layer (also called or in the associated local coordinate system, ) shown in Figure 1b, the physical quantities (say the state vectors) at any identical position of the layer expressed in the dual local coordinate systems should be compatible, which leads to the dual relation between state vectors in dual coordinates as follows:
where is the dual coordinate transformation matrix with and ; symbol <> means the diagonal or block diagonal matrix here and after; and the state vectors, respectively, satisfy
From Equations (7) and (8), the dual relation between the coefficient matrices of the state Equation (8) can be derived as
where signifies the inversion of a matrix and can be easily noticed. If and () are any eigenvalue and associated eigenvector of the coefficient matrix , then and should be the eigenvalue and eigenvector of the coefficient matrix , according to the definition of eigenvalues and eigenvectors as well as Equation (9). Further considering the above partitioning way of eigenvalue and eigenvector, one derives
Substituting the solutions to the state Equation (8) as expressed in Equation (6) into Equation (7) and then by virtue of Equation (10), from the simplification of the resulting equation one obtains the local phase relation of layer as
where (), (), and () are the arriving and departing wave vectors as well as the propagation matrix all associated with the local coordinates (); is the identity matrix of order 2. It should be noted that the exponentially growing functions are abstained from in the local phase matrices, which, to a certain degree, guarantees the numerical stability of the proposed MRRM.
Grouping together the phase relations for all layers of unit cell from up to down, one obtains the global phase relation
where the global arriving (departing) wave vectors () and the global phase and permutation matrices as well as with () are formed accordingly.
4.2. Analysis of Surfaces/Interfaces
At the top surface and the bottom surface , the displacement compatibility and the stress equilibrium conditions are written with reference to Figure 1a as
where () and () denote the displacement vector and the stress vector applied by the adjacent unit cell at the top (bottom) surface. In accordance with the Floquet theorem of periodic structures, the physical quantities on the top and the bottom surfaces satisfy the periodic conditions as
where is the wavenumber component along the thickness direction (the direction) of characteristic wave propagating in the periodic layers and is the thickness of the unit cell. The substitution of Equation (13) into Equation (14) leads to
Further substitution of the solutions to the state vectors as given in Equation (6) into Equation (15) gives the coupled local scattering relations at top and bottom surfaces and
where the arriving and departing wave vectors at the top and bottom surfaces are the same as those in the phase relations.
At a typical intermediate interface (), the displacement compatibility and the stress equilibrium conditions can also be written, with reference to Figure 1a, as
Substituting the solutions to state vectors as given in Equation (6) into Equation (17), one obtains the local scattering relation at interface
where the arriving and departing wave vectors at the interface are the same as those in the phase relations.
Grouping the local scattering relations in Equations (16) and (18) from surface , through the interfaces, and to surface in sequence, one derives the global scattering relation
where the global arriving and departing wave vectors and are the same as those in the global phase relations, and the coefficient matrices and should be assembled according to
4.3. Dispersion Equation
Substitute the global phase relation (12) into the global scattering relation (19), the system equation is obtained as
whose coefficient matrix determinant equals zero results in the dispersion equation
This dispersion equation gives the relation between the circular frequency , the wavenumber component along the thickness () direction through unit cell, and the wavenumber component along the layering () direction of the Floquet in-plane waves in periodically multilayered isotropic media. If any two quantities among , , and are specified, the other one can be computed by solving the dispersion Equation (22) with the feasible root-searching method. In this paper, the method of bisection combined with the golden section method for root-searching is used in the computer codes. It should be noted that for the Floquet in-plane elastic waves the dispersion characteristics along the thickness (layering) direction can also be represented by the wavelength (), the phase velocity (), and the slowness (), except for the wavenumber () and frequency . Thus, only when the relations between all these parameters are provided, the dispersion characteristics of the Floquet in-plane elastic waves can then be described comprehensively. Therefore, in the following we draw all kinds of dispersion relations, including the dispersion curves, the dispersion surfaces and the slowness curves in form of fixed frequencies. The dispersion curves refer to the frequency–wavenumber spectra, the frequency–wavelength spectra, the frequency–phase velocity spectra, the wavenumber–phase velocity curves, and the wavelength–phase velocity curves representing dispersion properties along the thickness and layering directions, respectively, when the in-plane waves as a whole are propagating in perpendicular, parallel, and oblique directions to the layering.
5. Numerical Examples
Consider several periodically multilayered isotropic media with the unit cells composed of materials such as lead (Pb), aluminum (Al), epoxy (Ep), and steel (St). The parameters, including the mass density and Lamé constants of these materials, are listed in Table 1. It should be noted that the four materials were selected here in the following calculations by referring to Reference [] (Pb and Epoxy), [,] (Al), and [] (Steel, with Poisson’s ratio being 0.3). Various configurations can be formed by combining several of these four materials and by altering the thicknesses of constituent layers. For examples, periodically bi-layered and octal-layered media as the main calculation models are formed with the configurations of their unit cells, as listed in Table 2. There are other materials commonly used to form periodic media, such as niobium (Nb) and cuprum (Cu) [], rubber (Ru) [], nylon (Ny) [], wolfram (Wo), and silicon dioxide (SiO2) []. More similar and other materials to form periodic media in practical applications, such as Bragg reflectors or resonators, and in scientific studies can be found in References [,], respectively. Usually, materials with a large modulus and density are arranged alternately with materials that have small material parameters, hence the obvious mismatch of elastic impedances can occur at the interfaces. For periodic media with the frequency bands formed due to the Bragg scattering (local resonance) mechanism, a large impedance mismatch between materials in the unit cell helps to form wider (lower frequency []) band gaps.
Table 1.
The material parameters.
Table 2.
The constitution of the exemplified periodically multilayered isotropic media.
The dispersion characteristics of the two exemplified periodic multilayers, whose unit cells have their configurations listed in Table 2, will be illustrated in the following section. In particular, the frequency–wavenumber spectra of the periodic bi-layered media will be shown to validate the proposed method of reverberation-ray matrix (MRRM), while the comprehensive dispersion curves (the frequency–wavenumber spectra, the frequency–wavelength spectra, the frequency–phase velocity spectra, the wavenumber–phase velocity curves, and the wavelength–phase velocity curves) representing dispersion properties along the thickness and layering directions, the dispersion surfaces, and the slowness curves with fixed frequencies of the periodic octal-layered media will be demonstrated for summarizing the general dispersion characteristics of the Floquet in-plane waves in general periodic multilayered isotropic media. Four cases of characteristic wave propagation, i.e., waves perpendicular, parallel, and oblique to the layering as well as waves along arbitrary directions, are considered in the computation. To facilitate the presentation of the dispersion relations, dimensionless parameters are used, such as the engineering frequency , the wavenumbers and , the wavelengths and , and the phase velocities and with , where and are the thickness and the velocity of the transverse elastic wave in the th layer of the unit cell.
It should be emphasized that the correctness and the numerical stability of our proposed MRRM are validated by comparing the results with those obtained by the method of transfer matrix (MTM). During this process the superiority of MRRM over MTM is shown in the analysis of the general dispersion characteristics of in-plane waves (uncoupled P and SV waves or coupled P-SV waves) in periodic multilayered isotropic media, which is the one feature of this paper as compared to our formerly published papers on other types of periodic structures [,,,,,]. This paper focuses on the general dispersion characteristics of the Floquet in-plane waves along directions perpendicular, parallel, oblique, and arbitrary to the layering in periodic multilayered isotropic media, whose similarities and differences, as compared to the comprehensive dispersion properties of longitudinal waves in periodic elastic and piezoelectric rods [,], bending waves in periodic bi-coupled beams [], SH waves in periodic multilayered isotropic media [,], elastic waves along thickness in periodically laminated piezoelectric composites with four types of electrical boundary conditions [,], are indicated in the following discussions. Moreover, the slowness curves at specified frequencies are first provided, which have never been provided before. Although the dispersion surfaces of real wavenumbers have only been calculated for pure SH-waves in periodically isotropic multilayers [], this paper is the first to provide the dispersion surfaces of both real and imaginary wavenumbers for Floquet in-plane waves in periodically isotropic multilayers.
5.1. The Validation of the Proposed MRRM
5.1.1. Verification of Correctness of the MRRM
Consider the propagation of in-plane waves perpendicular to layering. In this case the in-plane waves are decoupled into pure P (primary) and pure SV (shear vertical) waves, whose frequency–real wavenumber (phase constant) curves calculated by the proposed MRRM are shown in Figure 2. For the convenience of comparison, the results computed by the MTM [] are also plotted in Figure 2. It is obviously seen that the dispersion curves obtained by the two methods agree very well.
Figure 2.
The dispersion curves of Floquet in-plane waves propagating perpendicular to layering. The results by the MRRM and the MTM are shown with bright green box and black line with the dashed and solid lines corresponding to the SV-waves and the P-waves, respectively []. The shaded areas represent band gaps.
5.1.2. Verification of Numerical Stability of MRRM
Consider the in-plane waves propagating obliquely to layering by specifying the dimensionless wavenumber and . In these cases, the in-plane waves are coupled P-SV waves. The phase constant spectra calculated from the MRRM and MTM are shown in Figure 3. It can obviously be seen that the MTM fails to give correct results before the cutoff frequencies of SV waves ( stands for the shear wave velocity of the constituent material), while reasonable results are provided after the cutoff frequencies of SV waves. The extra curves obtained by the MTM within the bandgaps after cutoff frequencies of P waves ( denotes the longitudinal wave velocity of the material) actually correspond to the wave modes with complex wavenumbers other than pure real wavenumbers. Moreover, it was found that some results by the MTM are missing near the cutoff frequencies and . In contrast, the results by the MRRM are always stable in both low and high frequency ranges.



Figure 3.
Comparison of the phase constant spectra by the MRRM and the MTM to prove the numerical stability of MRRM. The sub–figures (a–d) are results for , while the sub–figures (e–h) are results for ; the results (a,c,e,g) are by the MRRM, while the results (b,d,f,h) are by the MTM.
5.2. The Features of In-Plane Waves Propagating Perpendicularly to Layering
As elastic waves propagating along the direction perpendicular to layering are considered to correspond to , they should be pure P and SV waves. The dispersion curves of the exemplified periodic octal-layered isotropic media related to the frequency including the frequency–wavenumber, frequency–wavelength, and frequency–phase velocity spectra, are shown in Figure 4a–c and Figure 5a–c in the low and high frequency ranges, respectively. Those corresponding dispersion curves related to the phase velocity, such as the frequency–phase velocity, the wavenumber–phase velocity, and the wavelength–phase velocity curves are shown in Figure 4c–e, respectively.


Figure 4.
The comprehensive dispersion curves in low frequency range of Floquet in–plane waves propagating along the direction perpendicular to layering in the exemplified periodic octal–layered media. The frequency–related dispersion curves: (a) the frequency–wavenumber spectra, (b) the frequency–wavelength spectra, and (c) the frequency–phase velocity spectra. The phase velocity–related dispersion curves: (c) the frequency–phase velocity spectra, (d) the wavenumber–phase velocity curves, and (e) the wavelength–phase velocity curves.

Figure 5.
The frequency–related comprehensive dispersion curves in high frequency range of Floquet in–plane waves propagating along the direction perpendicular to layering: (a) the frequency–wavenumber spectra, (b) the frequency–wavelength spectra, and (c) the frequency–phase velocity spectra.
The frequency-related comprehensive dispersion curves in low and high frequency ranges, including the frequency–wavenumber spectra, the frequency–wavelength spectra, and the frequency–phase velocity spectra, all directly reflect the frequency band characteristics. While the other dispersion curves (including the wavenumber–phase velocity curves and the wavelength–phase velocity curves) do not directly reflect the band characteristics. These features are common to the comprehensive dispersion curves of various elastic waves in all kinds of periodic structures [,,,,,,,,,,,,,,,,,,,,,,,,,,,,]. Here we summarize the characteristics of comprehensive dispersion curves of pure P and pure SV waves in general periodically multilayered isotropic media along the thickness direction as follows.
(1) For each wave mode, the passbands and the stopbands reflected by the frequency-dependent dispersion curves appear alternately. With the increasing of the frequency from zero, the passband emerges first because the pure P and pure SV waves propagating along the thickness direction with do not have cutoff frequency, i.e., the waves always start to propagate from zero to some frequency value. The frequencies corresponding to phases and ( specially corresponds to ) are demarcations between passbands and stopbands, so they are defined as the bounding frequencies accordingly. The stopbands appearing within neighboring bounding frequencies have identical phases, while the passbands appearing within adjacent bounding frequencies have the phase difference . In some frequency ranges, the pure P and pure SV waves all propagate or attenuate, while in some other frequency ranges, one wave mode propagates but the other mode attenuates.
(2) The phase constant (real wavenumber)-related dispersion curves are symmetric regarding and periodic with the smallest positive period . The frequency–imaginary wavenumber (attenuation constant) dispersion curves in each stopband are also symmetric regarding but not periodic and are closed and cambered outwards curves.
(3) In the frequency–wavelength spectra, one frequency value corresponds to infinite number of wavelength values in each passband. We regard as the separation line. The curves become denser with the decrease in wavelength below the separation line and sparser with the increase in wavelength above separation line. As for the latter (above separation line) case, the curves bend once and gradually approach frequencies associated with because of the relation .
(4) In the frequency–phase velocity spectra, multiple phase velocity values for a given frequency in every passband were likewise found. The curves become more and more sparse with the increase of phase velocity. The separation phase velocities between sparse and dense domain gradually increase with the order of passbands. Moreover, the curves for P or SV waves take frequencies corresponding to as an asymptotic line when the phase velocity tends to infinity, excepting the first curves. The first curves of P and SV waves are obviously different from the others in that the nonzero cutoff phase-velocities at appear. The P and SV waves in first passband may be useful for measuring the material parameters and nondestructive examination in periodically multilayered isotropic materials. The formula for the first cutoff phase velocities of P and SV waves are given as (, , , , , ) by using the first Taylor series expansion for dispersion equations associated with at .
It should be noted that here in the case of vertical incidence, all kinds of dispersion curves within both low and high frequency ranges and their characteristics are provided, which supplement the existing studies on the same topic where only part kinds of the dispersion curves (including the frequency–wavenumber and frequency–phase velocity spectra) at low frequencies are given as described in the Introduction. These summarized general dispersion characteristics of uncoupled SV and P waves in periodically multilayered isotropic media are generally identical to the counterpart dispersion characteristics of SH waves in periodic isotropic layers [,] and of longitudinal waves in periodic rods [,], but here the dispersion curves of two modes exist simultaneously. So, the passbands and stopbands appear alternately, and the other characteristics are based on the sense that only one mode is observed at one time. If the uncoupling between the SV and P waves is not considered, the general dispersion characteristics of pure SH or longitudinal waves [,,,] are not known to us and the overall dispersion curves are observed; these general dispersion characteristics are hard to discern. All these new contents and findings form the progress of this paper as compared to the literatures [,,,,,,,,,] on the dispersion characteristics of vertical incident Floquet in-plane waves in periodically multilayered isotropic media.
5.3. The Features of In-Plane Waves Propagating Parallelly to Layering
The general propagation properties of in-plane waves parallel to the layering in the exemplified periodically octal-layered media are then taken into account. In the calculations, the dimensionless wavenumbers along the thickness direction are given as and , respectively, and all kinds of dispersion curves and their characteristics are given . The comprehensive dispersion curves of are similar in some respects to the counterpart curves of , as shown in Figure 6. The wavenumber-dependent dispersion curves including the frequency–wavenumber and the wavenumber–phase velocity curves, as shown in Figure 6a,b,g,h, do not have periodicity regarding , which is the obvious difference as compared to the dispersion curves of waves perpendicular to the layering, shown in Figure 4 and Figure 5, although these curves of waves parallel to layering are also symmetrical regarding . In particular, the frequency–wavenumber curves in Figure 6a,b do not show any frequency band property since the periodic configuration is along the thickness rather than the layering. From Figure 6c,d, it can be seen that as the frequency increases, the wavelength generally decreases rapidly and flattens out. With the increase of frequency, the alteration of phase velocity is generally similar to the alteration of wavelength, as shown in Figure 6e,f. In the case of , there are two modes with bounded phase velocities at (), as () increases from zero, one of which increases slightly and then flattens out, while the other decreases and then flattens out. All the other modes do not have cut-off phase velocities and their phase velocities tend to infinity or flatten out as () approaches zero or increase to a large value, respectively, which are identical to all the modes, in the case of . The explanation as to why the phase velocity–related curves flatten out can refer to the analysis of guided waves propagating in periodically layered composites [,,], where it is stated that each mode seems to approach an asymptote at the mixture shear velocity or infinity near (). As the frequency (wavenumber ) increases, it drops to the shear velocity of the slower medium.


Figure 6.
The comprehensive dispersion curves of Floquet in–plane waves propagating along the direction parallel to layering in the exemplified periodically octal–layered media. For , they are (a) the frequency–wavenumber spectra, (c) the frequency–wavelength spectra, (e) the frequency–phase velocity spectra, (g) the wavenumber–phase velocity curves, and (i) the wavelength–phase velocity curves. For , the corresponding dispersion curves are given in (b,d,f,h,j), respectively.
It should be noted that here in the case of parallel incidence, all kinds of dispersion curves for symmetric mode and antisymmetric mode are provided, which supplement the existing studies [,] on the same topic described in the Introduction, where only some aspects of the dispersion curves (including the frequency–wavenumber and frequency–phase velocity spectra) are discussed as . The symmetric mode corresponding to can be determined from Equation (14) since the displacements (stresses) on the upper and bottom surfaces of unit cell are equal (opposite), while it is vice versa for the antisymmetric mode. The above-summarized general dispersion characteristics of coupled P-SV waves parallel to layering in periodically multilayered isotropic media are similar to the counterpart dispersion characteristics of guided P-SV [,] and SH [] waves propagating in periodically isotropic layers, which show symmetric and antisymmetric modes under free or fixed boundary conditions on upper and bottom surfaces. As compared to our formerly published papers on various waves in other kinds of periodic structures, this is the first time we discuss the dispersion characteristics of waves parallel to layering, especially here in periodically multilayered isotropic media.
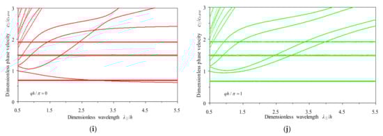
5.4. The Features of In-Plane Waves Propagating Obliquely to Layering
As mentioned above, the Floquet in-plane waves propagating obliquely to layering in periodically multilayered isotropic media should be coupled P-SV waves. When the wavenumber parallel to layering is specified as , for example, all kinds of the dispersion curves representing the characteristics along the thickness of the exemplified periodically octal-layered and bi-layered media can be drawn, as shown in Figure 7 and Figure 8, respectively. The frequency-related dispersion curves in low and high frequency ranges are shown in sub figures (a)–(c) and (f)–(h), respectively, and the other phase velocity-related dispersion curves are shown in sub figures (d) and (e).



Figure 7.
The comprehensive dispersion curves of Floquet in–plane waves propagating obliquely to layering in the exemplified periodically octal–layered media. The frequency–related dispersion curves in the low frequency range: (a) the frequency–wavenumber spectra, (b) the frequency–wavelength spectra, and (c) the frequency–phase velocity spectra. The other phase velocity–related dispersion curves: (d) the wavenumber–phase velocity curves, (e) the wavelength–phase velocity curves. The frequency–related dispersion curves within high frequency ranges: (f) the frequency–wavenumber spectra, (g) the frequency–wavelength spectra, and (h) the frequency–phase velocity spectra.



Figure 8.
The comprehensive dispersion curves of Floquet in–plane waves propagating obliquely to layering in the exemplified periodically bi–layered media. The frequency–related dispersion curves in low frequency range: (a) the frequency–wavenumber spectra, (b) the frequency–wavelength spectra, and (c) the frequency–phase velocity spectra. The other phase velocity-related dispersion curves: (d) the wavenumber–phase velocity curves, (e) the wavelength–phase velocity curves. The frequency–related dispersion curves within high frequency ranges: (f) the frequency–wavenumber spectra, (g) the frequency–wavelength spectra, and (h) the frequency–phase velocity spectra.
Compared with the pure P or SV waves, the coupled P-SV waves in periodically multilayered isotropic media have both similar and different dispersion characteristics, which are summarized as follows.
(1) The passbands and stopbands do not appear alternately with respect to frequency. As the frequency increases from zero, the frequency–wavenumber curves always start from the stopband, because the wavenumbers of the two coupled P-SV modes are initially imaginary. Some frequency ranges are the passband for one mode but the stopband for the other mode. Obviously, some frequency ranges are neither the passband nor the stopband for any modes. Moreover, the attenuation spectra are inwardly concave in some frequency ranges, which means there are multi-values of wavenumbers for specified frequencies.
(2) Several phase-constant spectra exceed the frequencies corresponding to phase and , which means these frequencies are no longer definitely the demarcations between the passbands and the stopbands. It should be noticed that this property is easier to discern in the dispersion curves of the periodically bi-layered rather than octal-layered media, so the comprehensive dispersion curves of both the octal-layered and the bi-layered periodical media are shown here. This property makes determining the boundaries of passbands (stopbands) by calculating only the frequencies associated with and invalid.
(3) The cutoff phase velocities of the coupled P-SV waves do not appear in the frequency–phase velocity spectra and the wavenumber–phase velocity curves as compared with the uncoupled P or SV waves. The properties of asymptotic line and multi-values of wavelength (phase velocity) in the frequency–wavelength (phase velocity) spectra are the same for both coupled and uncoupled wave modes.
It should be noted that in the case of oblique incidence, all kinds of dispersion curves within both low and high frequency ranges and their characteristics are provided, which supplement the existing studies [,,,,,,,,] on the same topic, where only partial aspects of the dispersion curves (including the frequency–wavenumber, phase (group) velocity–wavenumber, and frequency–phase velocity spectra) at low frequencies are given, as described in the Introduction. Some summarized dispersion characteristics of coupled P-SV waves in periodically multilayered isotropic media, such as the symmetry of wavenumber-related dispersion curves, asymptotic behavior of phase velocity (wavelength), boundaries of the bandgaps, and frequency ranges corresponding to the complex wavenumber, are similar to the counterpart dispersion characteristics of bending waves in bi-coupled periodic multi-component beams [], which also involves two coupled wave modes. However, in the case of bending waves, only one mode has the cut-off property, and its cut-off frequency is fixed, while in the case of obliquely coupled P-SV waves, both modes have the cut-off property, and their cut-off frequencies are dependent on the in-layering wavenumber . Therefore, some dispersion characteristics of coupled P-SV waves are different from those of bending waves in respective periodic structures, e.g., here the stopbands first appear for both modes and there is not any cutoff phase velocity. Nevertheless, for the bending waves, the stopband first appears for only one mode while the passband first appears for the other mode, and one cutoff phase velocity at always exists [].
5.5. The Features of Dispersion Surfaces and Slowness Curves for Arbitrarily-Directed In-Plane Waves
In order to clarify the relationship between the frequency and two wavenumbers, which are components along the layering direction and along the thickness direction , the dispersion surfaces of both real wavenumbers and of imaginary wavenumbers along the thickness direction are considered and are given in Figure 9 over a certain frequency range. The dispersion curves are actually the cutting profiles of the dispersion surfaces. In Section 5.2, they correspond to the profile section at , while in Section 5.3 they correspond to the section at or , respectively. Similarly, the dispersion curves in Section 5.4 correspond to the section at . From the dispersion surfaces, the variation trend of the wavenumbers in passbands and the stopbands on the frequency can be easily observed.

Figure 9.
The dispersion surfaces of the Floquet in–plane waves in the exemplified periodically octal–layered isotropic media: (a) , (b) , and (c) .
In order to further illustrate the propagation characteristics of in-plane waves along all in-plane directions in periodically multilayered isotropic structures, the slowness curves at given frequencies are obtained in Figure 10 for the exemplified periodic octal-layered media. The dimensionless frequency is applied with , where is the phase velocity of the longitudinal wave. The slowness curves with fixed frequencies are periodically distributed in the thickness direction, and the period of slowness component in the thickness direction equals due to . In the formula, is given and is constant, and is periodic with its minimum positive period as . Thus, the period decreases with the increasing of the frequency. Moreover, the higher the dimensionless frequency is, the more slowness curves will appear.
Figure 10.
The slowness curves of the Floquet in–plane waves propagating in the plane of the exemplified periodically octal–layered isotropic media with dimensionless frequency (a) and (b) .
It should be noted that in the case of arbitrary incidence, the dispersion surfaces, the slowness curves, and their characteristics are provided here, which supplement the existing studies on dispersion surfaces [] for SH waves in periodically isotropic layers and slowness curves in form of fixed wavenumbers []. Compared with our previous study [] providing the real wavenumber dispersion surfaces of SH waves, here, this section gives the dispersion surfaces of both real and imaginary wavenumbers along the thickness of P-SV waves in periodically multilayered isotropic media. Compared with other studies [] providing the slowness curves with fixed wavenumber, this section gives the slowness curves at a fixed frequency, which not only reflect the phase velocity variation of in-plane waves along different directions, but also reflects the periodicity of the wavenumber along the thickness.
6. Conclusions
Combining the method of the reverberation-ray matrix (MRRM) with the Floquet theorem, this paper derives the dispersion equation for analyzing the dispersion characteristics of Floquet in-plane waves in general periodically multilayered isotropic media. The correctness of the derivation and the numerical stability of the proposed MRRM in both low and high frequency ranges, particularly its superiority over the method of transfer matrix (MTM) within the ranges below and near the cutoff frequencies, are verified by analyzing periodic bi-layered media. All kinds of dispersion curves of the Floquet in-plane waves propagating perpendicularly, parallelly, and obliquely to layering are provided for periodic octal-layered (and bi-layered) media. Moreover, the dispersion surfaces and the slowness curves reflecting the propagation characteristics of the Floquet in-plane waves in all directions are given. The propagation features of pure P and SV waves and P-SV-coupled waves in general periodic multilayered isotropic media are also summarized. The following conclusions can be drawn from the investigations:
(1) Compared with the MTM, the MRRM is more stable for analyzing in-plane waves propagating along the oblique direction below and near the cutoff frequencies.
(2) The vertically incident in-plane waves divide into pure P and SV waves, while the obliquely incident in-plane waves propagate as coupled P-SV waves.
Whether P waves, SV waves, or P-SV waves, their dispersion has some common features: Each phase and attenuation constant curves are symmetrical at , and the phase-constant curves are periodical regarding wavenumbers (the smallest dimensionless positive periodicity is ); one frequency corresponds to multiple wavelength and phase velocity values in passbands. The curves in the frequency–wavelength and frequency–phase velocity spectra become more and more sparse as wavelength and phase velocity increase, and it finally trends to frequencies corresponding to ; is the division line of dense and sparse regions in frequency–wavelength curves, while the boundary between dense and sparse regions in frequency–phase velocity curves increase gradually with the order of passband.
There are some features only belonging to pure P and SV waves: when the frequency starts to increase from zero, the passband and stopband appear alternately when the passband first occur. The boundaries between them are the frequencies associated with phase and , respectively. By computing these frequencies, the domains of the passbands and stopbands can be determined completely. The attenuation curves in the stopband are oval. The acoustic branch in the phase velocity-related dispersion curves has maximal cutoff phase velocity at .
The particular characteristics of coupled P-SV waves include the fact that when the frequency starts to increase from zero, the stopband always appears first. The passbands and stopbands do not appear alternately, and the frequencies associated with phase and are not always the boundaries between passbands and stopbands. All dispersion curves in passbands are optical branches and the shapes of the attenuation-constant curves in the stopbands are complicated. Some frequency regions that are neither passband nor stopband exist.
(3) By specifying the wavenumber along the thickness , the propagation characteristics of the P-SV waves parallel to layering can be studied, which are similar to those of Lamb waves in non-periodic laminated isotropic media. The only difference is that the phase velocities of the first two branches have a minimum and maximum at ().
(4) The dispersion surfaces of both real and imaginary wavenumbers along thickness and the slowness curves at a fixed frequency of the Floquet in-plane waves are a visible way to represent the relations between two wavenumbers and the frequency. The slowness curves are periodic along thickness. With the increase in frequency, the period gradually decreases, and more propagation modes appear due to the cutoff properties of these additional modes.
In summary, the abovementioned MRRM formulation, which is numerically stable, may be extended to other periodic media/structures. The general dispersion characteristics of Floquet in-plane waves obtained above can be used to design and optimize the periodically multilayered isotropic structures as well as to promote their applications, such as in the filtering of guide waves and in shock insulation engineering.
Author Contributions
Conceptualization, Y.G.; methodology, Y.G.; software, Y.G. and Q.L.; validation, Q.L. and Y.W.; formal analysis, Q.L. and Y.W.; investigation, Y.G.; resources, Y.G.; data curation, Q.L.; writing—original draft preparation, Q.L. and Y.G.; writing—review and editing, Y.G. and Q.L.; visualization, Q.L.; supervision, Y.G.; project administration, Y.G. and Q.L.; funding acquisition, Y.G. All authors have read and agreed to the published version of the manuscript.
Funding
This work was funded by the National Key Research and Development Program of China (No.: 2019YFC1511005).
Acknowledgments
The authors wish to thank the anonymous reviewers for their constructive comments.
Conflicts of Interest
The authors declare no conflict of interest. The funders had no role in the design of the study; in the collection, analyses, or interpretation of data; in the writing of the manuscript, or in the decision to publish the results.
References
- Deymier, P.A. (Ed.) Acoustic Metamaterials and Phononic Crystals; Springer: Berlin, Germany, 2013; pp. 45–93. [Google Scholar] [CrossRef]
- Khelif, A.; Adibi, A. (Eds.) Phononic Crystals: Fundamentals and Applications; Springer: New York, USA, 2016; pp. 1–21. [Google Scholar] [CrossRef]
- Delph, T.J.; Herrmann, G.; Kaul, R.K. Harmonic wave propagation in a periodically layered, infinite elastic body: Antiplane strain. J. Appl. Mech. 1978, 45, 343–349. [Google Scholar] [CrossRef]
- Camley, R.E.; Djafari-Rouhani, B.; Dobrzynski, L.; Maradudin, A.A. Transverse elastic waves in periodically layered infinite and semi-infinite media. Phys. Rev. B 1983, 27, 7318–7329. [Google Scholar] [CrossRef]
- Kosevich, A.M. On a simple model of the photonic or phononic crystal. JETP Lett. 2001, 74, 559–563. [Google Scholar] [CrossRef][Green Version]
- Wang, G.; Yu, D.; Wen, J.; Liu, Y.; Wen, X. One-dimensional phononic crystals with locally resonant structures. Phys. Lett. A 2004, 327, 512–521. [Google Scholar] [CrossRef]
- Liu, X.J.; Fan, Y.H. MLS Meshless Method for Elastic Wave Band Structures Calculation of One Dimensional Phononic Crystal. In Proceedings of the 2011 Symposium on Piezoelectricity, Acoustic Waves and Device Applications (SPAWDA 2011), Shenzhen, China, 9–11 December 2011; pp. 353–356. [Google Scholar] [CrossRef]
- Chao, T.; Lee, P.C.Y. Discrete-continuum theory for periodically layered composite materials. J. Acoust. Soc. Am. 1975, 57, 78–88. [Google Scholar] [CrossRef]
- Gomopoulos, N.; Maschke, D.; Koh, C.Y.; Thomas, E.L.; Tremel, W.; Butt, H.J.; Fytas, G. One-dimensional hypersonic phononic crystals. Nano Lett. 2010, 10, 980–984. [Google Scholar] [CrossRef]
- Esquivel-Sirvent, R.; Cocoletzi, G.H. Band structure for the propagation of elastic waves in superlattices. J. Acoust. Soc. Am. 1994, 95, 86–90. [Google Scholar] [CrossRef]
- Hussein, M.I.; Hulbert, G.M.; Scott, R.A. Dispersive elastodynamics of 1D banded materials and structures: Analysis. J. Sound Vib. 2006, 289, 779–806. [Google Scholar] [CrossRef]
- Hussein, M.I.; Hulbert, G.M.; Scott, R.A. Effects of “Finiteness” on Wave Propagation and Vibration in Elastic Periodic Structures. In Proceedings of the IMECE04 2004 (ASME International Mechanical Engineering Congress and Exposition), Anaheim, CA, USA, 13–20 November 2004; pp. 437–447. [Google Scholar] [CrossRef]
- Wu, L.Y.; Wu, M.L.; Chen, L.W. The narrow pass band filter of tunable 1D phononic crystals with a dielectric elastomer layer. Smart Mater. Struct. 2009, 18, 015011. [Google Scholar] [CrossRef]
- Yu, L.; Le, L.H.; Sacchi, M.D. Ultrasonic Wave Dispersion and Attenuation in a Periodically Two-Layered Medium. In Proceedings of the 2004 IEEE Ultrasonics Symposium, Montreal, QC, Canada, 23–27 August 2004; pp. 565–568. [Google Scholar] [CrossRef]
- Golebiewska, A.A. On dispersion of periodically layered composites in plane strain. J. Appl. Mech. 1980, 47, 206–207. [Google Scholar] [CrossRef]
- Djafari-Rouhani, B.; Dobrzynski, L.; Duparc, O.H.; Camley, R.E.; Maradudin, A.A. Sagittal elastic waves in infinite and semi-infinite superlattices. Phys. Rev. B Condens. Matter 1983, 28, 1711–1720. [Google Scholar] [CrossRef]
- Delph, T.J.; Herrmann, G.; Kaul, R.K. Harmonic wave propagation in a periodically layered, infinite elastic body: Plane strain, analytical results. J. Appl. Mech. 1979, 46, 113–119. [Google Scholar] [CrossRef]
- Delph, T.J.; Herrmann, G.; Kaul, R.K. Harmonic wave propagation in a periodically layered, infinite elastic body: Plane strain, numerical results. J. Appl. Mech. 1980, 47, 531–537. [Google Scholar] [CrossRef]
- Brito-Santana, H.; Wang, Y.-S.; Rodriguez-Ramos, R.; Bravo-Castillero, J.; Guinovart-Diaz, R.; Tita, V. A dispersive nonlocal model for in-plane wave propagation in laminated composites with periodic structures. J. Appl. Mech. 2015, 82, 031006. [Google Scholar] [CrossRef]
- Brito Santana, H.; Tita, V.; Rodríguez Ramos, R. On Dynamic Homogenization for Elastic Wave Propagation in Periodically Imperfect Connected Laminates. In Proceedings of the Meeting on Aeronautical Composite Materials and Structures—MACMS 2015, São Paulo, Brazil, 3–4 December 2015. [Google Scholar]
- Tahidul Haque, A.B.M.; Ghachi, R.F.; Alnahhal, W.I.; Aref, A.; Shim, J. Sagittal plane waves in infinitely periodic multilayered composites composed of alternating viscoelastic and elastic solids. J. Appl. Mech. 2018, 85, 041001. [Google Scholar] [CrossRef]
- Lenoir, O.; Marechal, P.; Rembert, P. Study of Period and Structure Modes of Periodic Multilayers with the S Matrix Formalism. In Proceedings of the 19ème Congrès Français de Mécanique, Marseille, 24–28 August 2009. [Google Scholar]
- Safaeinili, A.; Chimenti, D.E.; Auld, B.A.; Datta, S.K. Floquet analysis of guided waves propagating in periodically layered composites. Compos. Eng. 1995, 5, 1471–1476. [Google Scholar] [CrossRef]
- Safaeinili, A.; Chimenti, D.E. Floquet analysis of guided waves in periodically layered composites. J. Acoust. Soc. Am. 1995, 98, 2336–2342. [Google Scholar] [CrossRef]
- Nayfeh, A.H. Wave Propagation in Layered Anisotropic Media; Elsevier: Amsterdam, The Netherlands, 1995; pp. 127–131. [Google Scholar]
- Pestel, E.C.; Leckie, F.A. Matrix Methods in Elastomechanics; McGraw-Hill: New York, NY, USA, 1963. [Google Scholar]
- Wang, L.; Rokhlin, S.I. Stable reformulation of transfer matrix method for wave propagation in layered anisotropic media. Ultrasonics 2001, 39, 413–424. [Google Scholar] [CrossRef]
- Tan, E.L. Stiffness matrix method with improved efficiency for elastic wave propagation in layered anisotropic media. J. Acoust. Soc. Am. 2005, 118, 3400–3403. [Google Scholar] [CrossRef]
- Mead, D.J. Wave propagation in continuous periodic structures: Research contributions from Southampton, 1964–1995. J. Sound Vib. 1996, 190, 495–524. [Google Scholar] [CrossRef]
- Auld, B.A. Acoustic Fields and Waves in Solids; John Wiley & Sons: New York, NY, USA, 1973; Volume 2, pp. 2–4. ISBN 0-471-03701-x. [Google Scholar]
- Li, Q.Q.; Guo, Y.Q.; Wang, Y.J.; Zhang, H.B. Band tunability of coupled elastic waves along thickness in laminated anisotropic piezoelectric phononic crystals. Crystals 2019, 9, 426. [Google Scholar] [CrossRef]
- Coddington, E.A.; Levinson, N. Theory of Ordinary Differential Equations; McGraw-Hill: New York, NY, USA, 1955; pp. 67–78. ISBN 978-0898747553. [Google Scholar]
- Sun, Y.; Yu, Y.; Zuo, Y.; Qiu, L.; Dong, M.; Ye, J.; Yang, J. Band gap and experimental study in phononic crystals with super-cell structure. Results Phys. 2019, 13, 102200. [Google Scholar] [CrossRef]
- Manzanares-Martínez, B.; Sánchez-Dehesa, J.; Håkansson, A.; Cervera, F.; Ramos-Mendieta, F. Experimental evidence of omnidirectional elastic bandgap in finite one-dimensional phononic systems. Appl. Phys. Lett. 2004, 85, 154–156. [Google Scholar] [CrossRef]
- Lakin, K.M. Thin film resonator technology. IEEE Trans. Ultrason. Ferroelectr. Freq. Control 2005, 52, 707–716. [Google Scholar] [CrossRef]
- Sigalas, M.; Kushwaha, M.S.; Economou, E.N.; Kafesaki, M.; Psarobas, I.E.; Steurer, W. Classical vibrational modes in phononic lattices: Theory and experiment. Z. Kristallogr. 2005, 220, 765–809. [Google Scholar] [CrossRef]
- Liu, Z.; Zhang, X.; Mao, Y.; Zhu, Y.Y.; Yang, Z.; Chan, C.T.; Sheng, P. Locally resonant sonic materials. Science 2000, 289, 1734–1736. [Google Scholar] [CrossRef]
- Guo, Y.Q.; Fang, D.N. Analysis and interpretation of longitudinal waves in periodic multiphase rods using the method of reverberation-ray matrix combined with the Floquet-Bloch theorem. J. Vib. Acoust. 2014, 136, 011006. [Google Scholar] [CrossRef]
- Li, L.F.; Guo, Y.Q. Analysis of longitudinal waves in rod-type piezoelectric phononic crystals. Crystals 2016, 6, 45. [Google Scholar] [CrossRef]
- Guo, Y.Q.; Guo, L.T.; Guo, Z. Reverberation-ray matrix analysis and interpretation of bending waves in bi-coupled periodic multi-component beams. Appl. Sci. 2018, 8, 531. [Google Scholar] [CrossRef]
- Guo, Y.Q.; Chen, W.Q. Precise analysis and design of multi-layered acoustic wave devices with Bragg cell. In Modeling and Measurement Methods for Acoustic Waves and for Acoustic Microdevices; IntechOpen: London, UK, 2013. [Google Scholar] [CrossRef]
- Li, Q.Q.; Guo, Y.Q.; Wang, J.Y.; Chen, W. Band structures analysis of elastic waves propagating along thickness direction in periodically laminated piezoelectric composites. Crystals 2018, 8, 351. [Google Scholar] [CrossRef]
- Auld, B.A.; Chimenti, D.E.; Shull, P.J. Shear horizontal wave propagation in periodically layered composites. IEEE Trans. Ultrason. Ferroelectr. Freq. Control 1996, 43, 319–325. [Google Scholar] [CrossRef]
Publisher’s Note: MDPI stays neutral with regard to jurisdictional claims in published maps and institutional affiliations. |
© 2022 by the authors. Licensee MDPI, Basel, Switzerland. This article is an open access article distributed under the terms and conditions of the Creative Commons Attribution (CC BY) license (https://creativecommons.org/licenses/by/4.0/).