Three Novel Thiazole-Arm Containing 1,3,4-Oxadiazole-Based [HS-HS] Fe(II) Dinuclear Complexes
Abstract
1. Introduction
2. Materials and Methods
2.1. Ligand Synthesis
- 1,2-Bis(Chloroacetyl)hydrazide
- 2,5-Bis(chloromethyl)-1,3,4-oxadiazole
- 2,5-Bis(azidomethyl)-1,3,4-oxadiazole
- 2,5-Bis(aminomethyl)-1,3,4-oxadiazole
- 2,5-Bis[(1,3-thiazol-2-ylmethyl)amino]methyl-1,3,4-oxadiazole (LThiazole)
2.2. Complex Synthesis
- [Fe2(μ2-LThiazole)2](BF4)4·2CH3CN
- [Fe2(μ2-LThiazole)2](ClO4)4
- [Fe2(μ2-LThiazole)2](CF3SO3)4· 2CH3CN
3. Results and Discussion
3.1. Synthesis
3.2. Crystallographic Discussion of 1 and 3
3.3. Infrared Spectroscopy
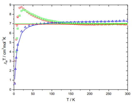
3.4. Magnetic Measurement of 1–3
4. Conclusions
Supplementary Materials
Author Contributions
Funding
Institutional Review Board Statement
Informed Consent Statement
Data Availability Statement
Acknowledgments
Conflicts of Interest
Appendix A
References
- Shriver, D.F.; Atkins, P.W.; Langford, C.H. Inorganic Chemistry, 2nd ed.; Oxford University Press: Oxford, UK; Melbourne, Australia; Tokyo, Japan, 1994. [Google Scholar]
- Melson, G. Coordination Chemistry of Macrocyclic Compounds; Springer: Berlin/Heidelberg, Germany, 2012. [Google Scholar]
- Bousseksou, A.; Molnár, G.; Salmon, L.; Nicolazzi, W. Molecular spin crossover phenomenon: Recent achievements and prospects. Chem. Soc. Rev. 2011, 40, 3313–3335. [Google Scholar] [CrossRef] [PubMed]
- Halcrow, M.A. Spin-Crossover Materials—Properties and Applications; John Wiley & Sons: Hoboken, NJ, USA, 2013. [Google Scholar]
- Létard, J.-F.; Guionneau, P.; Goux-Capes, L. Towards Spin Crossover Applications. Top. Curr. Chem. 2004, 235, 221–249. [Google Scholar]
- Molnár, G.; Rat, S.; Salmon, L.; Nicolazzi, W.; Bousseksou, A. Spin crossover Nanomaterials: From fundamental concepts to devices. Adv. Mater. 2018, 30, 1703862. [Google Scholar] [CrossRef] [PubMed]
- Jeon, I.R.; Park, J.G.; Haney, C.R.; Harris, T.D. Spin crossover iron(II) complexes as PARACEST MRI thermometers. Chem. Sci. 2014, 5, 2461. [Google Scholar] [CrossRef]
- Gural’skiy, I.Y.A.; Shylin, S.I.; Ksenofontov, V.; Tremel, W. Cooperative High-Temperature Spin Crossover accompanied by a highly anisotropic structural distortion. Eur. J. Inorg. Chem. 2017, 2017, 3125–3131. [Google Scholar] [CrossRef]
- Halcrow, M. The effect of ligand design on metal ion spin state-Lessons from spin crossover complexes. Crystals 2016, 6, 58. [Google Scholar] [CrossRef]
- Krewald, V.; Retegan, M.; Neese, F.; Lubitz, W.; Pantazis, D.A.; Cox, N. Spin state as a marker for the structural evolution of nature’s water-spilling catalyst. Inorg. Chem. 2016, 55, 488–501. [Google Scholar] [CrossRef]
- Swart, M.; Gruden, M. Spinning around in transition-metal chemistry. Acc. Chem. Res. 2016, 49, 2690–2697. [Google Scholar] [CrossRef]
- Hayami, S.; Gu, Z.; Yoshiki, H.; Fujishima, A.; Sato, O. Iron(III) spin-crossover compounds with a wide apparent thermal hysteresis around room temperature. J. Am. Chem. Soc. 2001, 123, 11644–11650. [Google Scholar] [CrossRef]
- Kahn, O.; Codjovi, E. Iron(II)-1,2,4-triazole spin transition molecular materials. Phil. Trans. R. Soc. Lond. A 1996, 354, 359–379. [Google Scholar]
- Gaspar, A.B.; Molnár, G.; Rotaru, A.; Shepherd, H.J. Pressure effect investigations on spin crossover coordination compounds. C. R. Chim. 2018, 21, 1095–1120. [Google Scholar] [CrossRef]
- Hammack, W.S.; Conti, A.J.; Hendrickson, D.N.; Drickamer, H.G. Pressure-induced spin-state interconversion of [Fe(6-Me-py)3tren] (ClO4)2. J. Am. Chem. Soc. 1989, 111, 1738–1741. [Google Scholar] [CrossRef]
- Wang, Y.; Ying, J.; Zhou, Z.; Sun, J.; Wen, T.; Zhou, Y.; Li, N.; Zhang, Q.; Han, F.; Xiao, Y.; et al. Emergent superconductivity in an iron-based honeycomb lattice initiated by pressure-driven spin crossover. Nat. Commun. 2018, 9, 1914. [Google Scholar] [CrossRef] [PubMed]
- Alvarez, S. Distortion pathways of transition metal coordination polyhedral induced by chelating topology. Chem. Rev. 2015, 115, 13447–13483. [Google Scholar] [CrossRef]
- Bousseksou, A.; Molnár, G.; Real, J.A.; Tanaka, K. Spin crossover and photomagnetism in dinuclear iron(II) compounds. Coord. Chem. Rev. 2007, 251, 1822–1833. [Google Scholar] [CrossRef]
- Jakobsen, V.B.; Chikara, S.; Yu, J.-X.; Dobbelaar, E.; Kelly, C.T.; Ding, X.; Weickert, F.; Trzop, E.; Collet, E.; Cheng, H.-P.; et al. Giant magnetoelectric coupling and magnetic-field-induced permanent switching in a spin crossover Mn(III) complex. Inorg. Chem. 2021, 60, 6167–6175. [Google Scholar] [CrossRef]
- Cambi, L.; Szegö, L. über die magnetische susceptibilität der komplexen verbindungen. Ber. Dtsch. Chem. Ges. B 1931, 64, 2591–2598. [Google Scholar] [CrossRef]
- Sundaresan, S.; Kühne, I.A.; Kelly, C.T.; Barker, A.; Salley, D.; Müller-Bunz, H.; Powell, A.K.; Morgan, G.G. Anion influence on spin state in two novel Fe(III) compounds: [Fe(5F-sal2333)]. Crystals 2018, 9, 19. [Google Scholar] [CrossRef]
- Craig, G.A.; Roubeau, O.; Aromí, G. Spin state switching in 2,6-bis(pyrazol-3-yl)pyridine (3-bpp) based Fe(II) complexes. Coord. Chem. Rev. 2014, 269, 13–31. [Google Scholar] [CrossRef]
- Feltham, H.L.C.; Barltrop, A.S.; Brooker, S. Spin crossover in Iron(II) complexes of 3,4,5-tri-substituted-1,2,4-triazole (Rdpt), 3,5-di-substituted-1,2,4-triazolate (dpt-), and related ligands. Coord. Chem. Rev. 2017, 344, 26–53. [Google Scholar] [CrossRef]
- Gamez, P.; Costa, J.S.; Quesada, M.; Aromí, G. Iron spin-crossover compounds: From fundamental studies to practical applications. Dalton Trans. 2009, 38, 7845–7853. [Google Scholar] [CrossRef] [PubMed]
- Sundaresan, S.; Kitchen, J.A.; Brooker, S. Hydrophobic tail length in spin crossover active iron(II) complexes predictably tunes T1/2 in solution and enables surface immobilization. Inorg. Chem. Front. 2020, 7, 2050–2059. [Google Scholar] [CrossRef]
- Fürmeyer, F.; Münzberg, D.; Carrella, L.M.; Rentschler, E. First cobalt(II) Spin crossover compound with N4S2-donorset. Molecules 2020, 25, 855. [Google Scholar] [CrossRef]
- Goodwin, H.A. Spin crossover in cobalt(II) systems. Top. Curr. Chem. 2004, 234, 23–47. [Google Scholar]
- Jakobsen, V.B.; Trzop, E.; Gavin, L.C.; Dobbelaar, E.; Chikara, S.; Ding, X.; Esien, K.; Müller-Bunz, H.; Felton, S.; Zapf, V.S.; et al. Stress-induced domain wall motion in a ferroelastic Mn3+ spin crossover complex. Angew. Chem. Int. Ed. 2020, 59, 13305–13312. [Google Scholar] [CrossRef]
- Morgan, G.G.; Murnaghan, K.D.; Müller-Bunz, H.; McKee, V.; Harding, C.J. A manganese(III) complex that exhibits spin crossover triggered by geometric tuning. Angew. Chem. Int. Ed. 2006, 45, 7192–7195. [Google Scholar] [CrossRef]
- Sim, P.G.; Sinn, E. First manganese(III) spin crossover, first d4 crossover. Comment on cytochrome oxidase. J. Am. Chem. Soc. 1981, 103, 241–243. [Google Scholar] [CrossRef]
- Sundaresan, S.; Kühne, I.A.; Evesson, C.; Harris, M.M.; Fitzpatrick, A.J.; Ahmed, A.; Müller-Bunz, H.; Morgan, G.G. Compressed Jahn-Teller octahedra and spin quintet-triplet switching in coordinatively elastic manganese(III) complexes. Polyhedron 2021, 208, 115386. [Google Scholar] [CrossRef]
- Garcia, Y.; Gutlich, P. Thermal spin crossover in Mn(II), Mn(III), Cr(II) and Co(III) coordination compounds. Top. Curr. Chem. 2004, 234, 49–62. [Google Scholar]
- Halepoto, D.M.; Holt, D.G.L.; Larkworthy, L.F.; Leigh, G.J.; Povey, D.C.; Smith, G.W. Spin crossover in Chromium(II) complexes and the crystal and molecular structure of the high spin form of bis[1,2-bis(diethylphosphino)ethane]di-iodochromium(II). Chem. Comm. 1989, 18, 1322–1323. [Google Scholar] [CrossRef]
- Navarro, L.; Rodriguez, F.; Cirera, J. Controlling the spin-crossover behavior of the [Cr(indenyl)2] family via ligand functionalization. Dalton Trans. 2021, 50, 8704–8710. [Google Scholar] [CrossRef] [PubMed]
- Nihei, M.; Shiga, T.; Maeda, Y.; Oshio, H. Spin crossover iron(III) complexes. Coord. Chem. Rev. 2007, 251, 2606–2621. [Google Scholar] [CrossRef]
- Barrios, L.A.; Peyrecave-Lleixà, E.; Craig, G.A.; Roubeau, O.; Teat, S.J.; Aromí, G. Unusual crystal packing in a family of [Fe{2,6-bis(pyrazol-3-yl)pyridine}2]2+ compounds and the effect on the occurrence of spin crossover and its cooperative character. Eur. J. Inorg. Chem. 2014, 2014, 6013–6021. [Google Scholar] [CrossRef]
- Schlamp, S.; Dankhoff, K.; Weber, B. Amphiphilic iron(II) complexes with short alkyl chains-crystal packing and spin transition properties. New J. Chem. 2014, 38, 1965–1972. [Google Scholar] [CrossRef]
- Vela, S.; Novoa, J.J.; Ribas-Arino, J. Insights into the crystal-packing effects on the spin crossover of [FeII(1-bpp)]2+-based materials. Phys. Chem. Chem. Phys. 2014, 16, 27012–27024. [Google Scholar] [CrossRef]
- Galet, A.; Gaspar, A.B.; Muñoz, M.C.; Real, J.A. Influence of the counterion and the solvent molecules in the spin crossover system [Co(4-terpyridone)2]Xp·nH2O. Inorg. Chem. 2006, 45, 4413–4422. [Google Scholar] [CrossRef] [PubMed]
- Quesada, M.; Prins, F.; Bill, E.; Kooijman, H.; Gamez, P.; Roubeau, O.; Spek, A.L.; Haasnoot, J.G.; Reedijk, J. Counterion effect on the spin-transition properties of the cation [Fe(btzx)3]2+ (btzx=m-Xylylenebis(tetrazole)). Chem. Eur. J. 2008, 14, 8486–8499. [Google Scholar] [CrossRef]
- Alhassanat, A.; Völker, L.; Gamer, C.; Rauguth, A.; Kredel, A.; Luo, C.; Radu, F.; Sapozhnik, A.A.; Mashoff, T.; Rentschler, E.; et al. Solvent-iduced high-spin transition in double-decker 3d-4f mettacrowns. Phys. Rev. B 2019, 99, 104404. [Google Scholar] [CrossRef]
- Barrett, S.A.; Kilner, C.A.; Halcrow, M.A. Spin-crossover in [Fe(3-bpp)2][BF4]2 in different solvents-A dramatic stabilization of the low-spin state in water. Dalton Trans. 2011, 40, 12021–12024. [Google Scholar] [CrossRef]
- Bartel, M.; Absmeier, A.; Jameson, G.N.L.; Werner, F.; Kato, K.; Takata, M.; Boča, R.; Hasegawa, M.; Mereiter, K.; Caneschi, A.; et al. Modification of spin crossover behavior through solvent assisted formation and solvent inclusion in a triply interpenetrating three-dimensional network. Inorg. Chem. 2007, 46, 4220–4229. [Google Scholar] [CrossRef]
- Fei, B.; Chen, X.Q.; Cai, Y.D.; Fang, J.-K.; Tong, M.L.; Tucek, J.; Bao, X. Substituent effects on the fluorescent spin-crossover Fe(II) complexes of rhodamine 6G hydrazones. Inorg. Chem. Front. 2018, 6, 1671–1676. [Google Scholar] [CrossRef]
- Hogue, R.W.; Miller, R.G.; White, N.G.; Feltham, H.L.; Jameson, G.N.; Brooker, S. Hysteretic spin crossover in iron(II) complexes of a new pyridine-triazole-pyrazine ligand is tuned by choice of NCE co-ligand. Chem. Comm. 2014, 50, 1435–1437. [Google Scholar] [CrossRef] [PubMed]
- Köhler, C.; Rentschler, E. The first 1,3,4-oxadiazole based di-nuclear iron(II) complexes showing spin crossover behavior with hysteresis. Eur. J. Inorg. Chem. 2016, 1955–1960. [Google Scholar] [CrossRef]
- Fürmeyer, F.; Carrella, L.M.; Ksenofontov, V.; Möller, A.; Rentschler, E. Phase trapping in multistep spin crossover compound. Inorg. Chem. 2020, 59, 2843–2852. [Google Scholar] [CrossRef]
- Sheldrick, G.M. SHELXT—Integrated space-group and crystal-structure determination. Acta Crystallogr. Sect. A 2015, A71, 3–8. [Google Scholar] [CrossRef] [PubMed]
- Sheldrick, G.M. A short history of SHELX. Acta Crystallogr. A 2008, 64, 112–122. [Google Scholar] [CrossRef]
- Sheldrick, G.M. Crystal structure refinement with SHELXL. Acta Crystallogr. Sect. C 2015, C71, 3–8. [Google Scholar]
- Sheldrick, G.M.; Schneider, T.R. SHELXL: High-resolution refinement. Methods Enzymol. 1997, 277, 319–343. [Google Scholar] [PubMed]
- Dolomanov, O.V.; Bourhis, L.J.; Gildea, R.J.; Howard, J.A.K.; Puschmann, H. OLEX2: A Complete Structure Solution, Refinement and Analysis Program. J. Appl. Cryst. 2009, 42, 339–341. [Google Scholar] [CrossRef]
- Tateiwa, N.; Haga, Y.; Fisk, Z.; Ōnuki, Y. Miniature ceramic-anvil high-pressure cell for magnetic measurements in a commercial superconducting quantum interference device magnetometer. Rev. Sci. Instrum. 2011, 82, 053906. [Google Scholar] [CrossRef]
- Sundberg, R.J.; Martin, R.B. Interactions of histidine and other imidazole derivatives with transition metal ions in chemical and biological systems. Chem. Rev. 1974, 74, 471–517. [Google Scholar] [CrossRef]
- Alvarez, S.; Alemany, P.; Casanova, D.; Cirera, J.; Llunell, M.; Avnir, D. Continuous symmetry measures: A new tool in quantum chemistry. Coord. Chem. Rev. 2005, 249, 1693–1708. [Google Scholar] [CrossRef]
- Svatos, G.F.; Curran, C.; Quagliano, J.V. Infrared absorption spectra of inorganic coordination complexes, the N-H Stretching vibration in coördination compounds. J. Am. Chem. Soc. 1955, 77, 6159–6163. [Google Scholar] [CrossRef]
- Kumar, V.; Kumar, V.; Upadhyay, N.; Sharma, S. Interactions of atrazine with transition metal ions in aqueous media: Experimental and computational approach. 3 Biotech 2015, 5, 791–798. [Google Scholar] [CrossRef] [PubMed][Green Version]
- Banwell, C.N.; McCash, E.M. Fundamentals of Molecular Spectroscopy; McGraw-Hill: New York, NY, USA, 1994. [Google Scholar]
- Chilton, N.F.; Anderson, R.P.; Turner, L.D.; Soncini, A.; Murray, K.S. PHI: A powerful new program for the analysis of anistropic monomeric and exchange-coupled polynuclear d- and f-block complexes. J. Comput. Chem. 2013, 34, 1164–1175. [Google Scholar] [CrossRef] [PubMed]







| 1 | 3 | |
|---|---|---|
| 120 K | 120 K | |
| Bond/Å | ||
| Fe-N1 | 2.3627 (11) | 2.370 (3) |
| Fe-N2 | 2.1303 (11) | 2.145 (3) |
| Fe-N3 | 2.1408 (11) | 2.132 (3) |
| Fe-N4 | 2.3495 (12) | 2.357 (3) |
| Fe-N5 | 2.1289 (11) | 2.121 (3) |
| Fe-N6 | 2.1259 (11) | 2.106 (3) |
| Fe-N | 2.21 | 2.21 |
| Distortion | ||
| ∑○(FeN6)/° | 123.9 | 128 |
| CShM(Oh) | 4.09 | 4.57 |
| Compound | 1 | 3 |
|---|---|---|
| Empirical formula | C28H34B4F16Fe2N14O2S4 | C32H34F12Fe2N14O14S8 |
| Formula weight/g mol−1 | 1185.87 | 1434.91 |
| Crystal size/mm | 0.21 × 0.17 × 0.13 | 0.61 × 0.373 × 0.14 |
| Crystal system | triclinic | triclinic |
| Space group | P1 | P1 |
| CCDC No. | 2152968 | 2152969 |
| Unit cell dimensions | ||
| a/Å | 10.0069 (4) | 10.4594 (8) |
| b/Å | 10.5646 (5) | 10.5736 (8) |
| c/Å | 11.9159 (5) | 12.6476 (10) |
| α/° | 111.523 (3) | 103.871 (6) |
| β/° | 89.855 (3) | 91.204 (6) |
| γ/° | 107.989 (3) | 100.026 (6) |
| Volume/Å | 1105.84 (9) | 1334.33 (18) |
| Z | 1 | 1 |
| ρcalc./g cm−1 | 1.781 | 1.786 |
| μ/mm−1 | 0.962 | 0.972 |
| F (000) | 596 | 724 |
| Temperature/K | 120 (2) | 120 (2) |
| Diffractometer | STOE STADIVARI | STOE IPDS 2T |
| Radiation | Mo-Kα | Mo-Kα |
| Θ—range for data collection/° | 2.157 < θ < 30.551 | 2.502 < θ < 28.151 |
| Index ranges | −14 < h < 14 | −12 < h < 13 |
| −14 < k < 14 | −14 < k < 13 | |
| −16 < l < 16 | −16 < l < 16 | |
| Collected reflections | 18186 | 11758 |
| Independent reflections | 6053 | 6440 |
| Completeness | 0.894 | 0.988 |
| Max. and min. transmission | 0.8681 and 0.3816 | 0.8776 and 0.6109 |
| Rint | 0.0207 | 0.0521 |
| Rsigma | 0.0276 | 0.0517 |
| Data/restraints/ parameters | 6053/0/317 | 6440/0/371 |
| Goodness-of-fit on F2 | 1.045 | 1.047 |
| Final R1 [I ≥ 2σ(I)] | 0.0275 | 0.0622 |
| Final wR2 [I ≥ 2σ(I)] | 0.0692 | 0.1589 |
| Final R1 [alldata] | 0.0376 | 0.0778 |
| Final wR2 [alldata] | 0.0717 | 0.1743 |
Publisher’s Note: MDPI stays neutral with regard to jurisdictional claims in published maps and institutional affiliations. |
© 2022 by the authors. Licensee MDPI, Basel, Switzerland. This article is an open access article distributed under the terms and conditions of the Creative Commons Attribution (CC BY) license (https://creativecommons.org/licenses/by/4.0/).
Share and Cite
Sundaresan, S.; Eppelsheimer, J.; Carrella, L.M.; Rentschler, E. Three Novel Thiazole-Arm Containing 1,3,4-Oxadiazole-Based [HS-HS] Fe(II) Dinuclear Complexes. Crystals 2022, 12, 404. https://doi.org/10.3390/cryst12030404
Sundaresan S, Eppelsheimer J, Carrella LM, Rentschler E. Three Novel Thiazole-Arm Containing 1,3,4-Oxadiazole-Based [HS-HS] Fe(II) Dinuclear Complexes. Crystals. 2022; 12(3):404. https://doi.org/10.3390/cryst12030404
Chicago/Turabian StyleSundaresan, Sriram, Julian Eppelsheimer, Luca M. Carrella, and Eva Rentschler. 2022. "Three Novel Thiazole-Arm Containing 1,3,4-Oxadiazole-Based [HS-HS] Fe(II) Dinuclear Complexes" Crystals 12, no. 3: 404. https://doi.org/10.3390/cryst12030404
APA StyleSundaresan, S., Eppelsheimer, J., Carrella, L. M., & Rentschler, E. (2022). Three Novel Thiazole-Arm Containing 1,3,4-Oxadiazole-Based [HS-HS] Fe(II) Dinuclear Complexes. Crystals, 12(3), 404. https://doi.org/10.3390/cryst12030404

