Interaction between a Screw Dislocation and Two Unequal Interface Cracks Emanating from an Elliptical Hole in One Dimensional Hexagonal Piezoelectric Quasicrystal Bi-Material
Abstract
:1. Introduction
2. Basic Formulation
3. Statement of the Problem and Its Solution
4. Stress Intensity Factors (SIFs) and Image Force of the Dislocation
- (1)
 - If , , Equation (29) degenerates into
 
- (2)
 - If , Equation (29) can be reduced to the case of a screw dislocation interacting with an elliptical hole in the infinite quasicrystal piezoelectric bi-material.
 
- (3)
 - If , , Equation (29) becomes
 
- (4)
 - If , Equation (29) reduces to
 
- (5)
 - When , one has that from Equation (15). In this case, the Equation (29) can be simplified as
 
- (6)
 - If , the stress field of the interaction between a screw dislocation and two symmetrical cracks originating from an elliptical hole can be simulated from Equation (29):
 
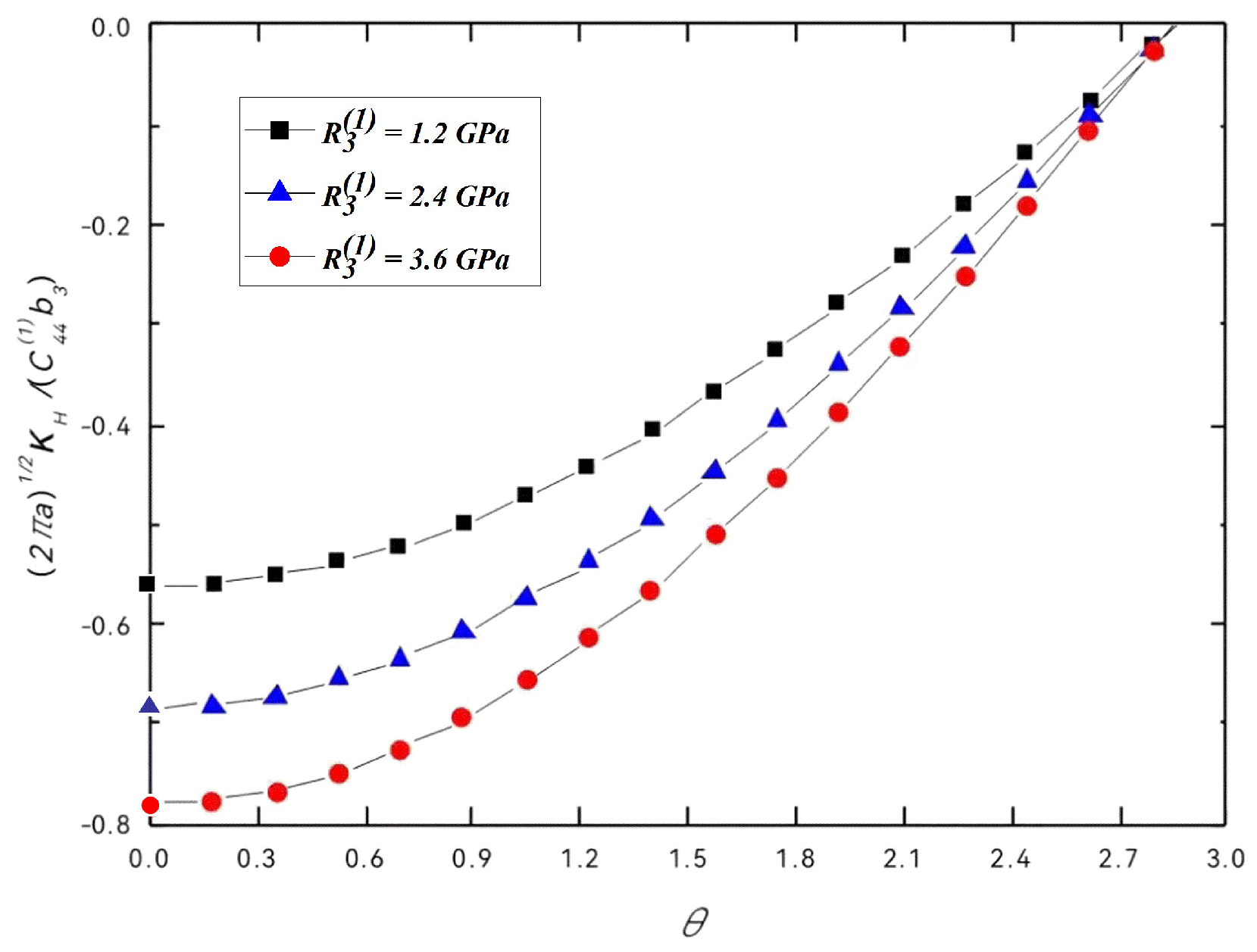
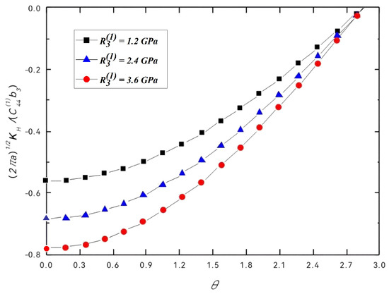
5. Numerical Examples
6. Conclusions
Author Contributions
Funding
Data Availability Statement
Conflicts of Interest
References
- Shechtman, D.; Blech, I.; Gratias, D.; Cahn, J.W. Metallic phase with long-range orientational order and no translational symmetry. Phys. Rev. Lett. 1984, 53, 1951–1953. [Google Scholar] [CrossRef] [Green Version]
 - Socolar, J.; Steinhardt, P.J.; Levine, D. Quasicrystals with arbitrary orientational symmetry. Phys. Rev. B Condens. Matter 1985, 32, 5547–5550. [Google Scholar] [CrossRef] [PubMed]
 - Hu, C.Z.; Wang, R.H.; Ding, D.H. Symmetry groups, physical property tensors, elasticity and dislocations in quasicrystals. Rep. Prog. Phys. 2000, 63, 1. [Google Scholar] [CrossRef]
 - Lubensky, T.C.; Ramaswamy, S.; Toner, J. Dislocation motion in quasicrystals and implications for macroscopic properties. Phys. Rev. B Condens. Matter 1986, 33, 7715. [Google Scholar] [CrossRef] [PubMed]
 - Jarić, M.V.; Mohanty, U. Density-functional theory of elastic moduli: Icosahedral quasicrystals. Phys. Rev. B Condens. Matter 1988, 38, 9434–9446. [Google Scholar] [CrossRef]
 - Widom, M.; Phillips, R. Atomic model of decagonal quasicrystal approximants and phasons. J. Non Cryst. Solids 1993, 153, 282–287. [Google Scholar] [CrossRef]
 - Fan, T.Y.; Sun, Y.F. A moving screw dislocation in a one-dimensional hexagonal quasicrystals. Acta Phys. Sin. 1999, 18, 288–295. [Google Scholar]
 - Radi, E.; Mariano, P.M. Stationary straight cracks in quasicrystals. Int. J. Fract. 2010, 166, 105–120. [Google Scholar] [CrossRef]
 - Rogowski, B. The mode III cracks emanating from an elliptical hole in a piezo-electro-magneto-elastic materials. Appl. Mech. 2011, 81, 1607–1620. [Google Scholar] [CrossRef]
 - Li, X.Y. Elastic field in an infinite medium of one-dimensional hexagonal quasicrystal with a planar crack. Int. J. Solids Struct. 2014, 51, 1442–1455. [Google Scholar] [CrossRef] [Green Version]
 - Lazar, M.; Agiasofitou, E. Fundamentals generalized elasticity and dislocation theory of quasicrystals: Green tenser, dislocation key-formulas ang dislocation loops. Philos. Mag. 2014, 94, 4080–4101. [Google Scholar] [CrossRef] [Green Version]
 - Gao, Y.; Ricoeur, A.; Zhang, L.L. Plane problems of cubic quasicrystal media with an elliptic hole or a crack. Phys. Lett. A 2011, 375, 2775–2781. [Google Scholar] [CrossRef]
 - Liu, G.T.; Guo, R.P.; Fan, T.Y. On the interaction between dislocations and cracks in one dimensional hexagonal quasi-crystals. Chin. Phys. B 2003, 12, 1149–1155. [Google Scholar]
 - Wang, X.; Zhong, Z. Interaction between a semi-infinite crack and a straight dislocation in a decagonal quasicrystal. Int. J. Eng. Sci. 2004, 42, 521–538. [Google Scholar] [CrossRef]
 - Li, L.H.; Liu, G.T. Interaction of a dislocation with an elliptical hole in icosahedral quasicrystals. Philos. Mag. Lett. 2013, 93, 142–151. [Google Scholar] [CrossRef]
 - Rao, K.R.M.; Rao, P.H.; Chaitanya, B.S.K. Piezoelectricity in quasicrystals. Pram. J. Phys. 2007, 68, 481–487. [Google Scholar]
 - Altay, G.; Dökmeci, M.C. On the fundamental equations of piezoelasticity of quasicrystal media. Int. J. Solids Struct. 2012, 49, 3255–3262. [Google Scholar] [CrossRef] [Green Version]
 - Yu, J.; Guo, J.H.; Xing, Y.M. Complex variable method for an anti-plane elliptical cavity of one-dimensional hexagonal piezoelectric quasicrystals. Chin. J. Aeron. 2015, 28, 1287–1295. [Google Scholar] [CrossRef] [Green Version]
 - Yang, L.; Li, X. Analytic solutions of problem about a circular hole with a straight cracks in one-dimensional hexagonal quasicrystals with piezoelectric effects. Theor. Appl. Fract. Mech. 2016, 82, 17–24. [Google Scholar] [CrossRef]
 - Guo, J.H.; Lu, Z.X.; Han, H.T.; Yang, Z. Exact solutions for anti-plane problem of two asymmetrical edge cracks emanating from an elliptical hole in piezoelectric material. Int. J. Solids Struct. 2009, 46, 3799–3809. [Google Scholar] [CrossRef] [Green Version]
 - Guo, J.H.; Lu, Z.X.; Han, H.T.; Yang, Z. The behavior of two non-symmetrical permeable cracks emanating from an elliptical hole in piezoelectric solid. Eur. J. Mech. A Solids 2010, 29, 654–663. [Google Scholar] [CrossRef]
 - Tupholme, G.E. A non-uniformly loaded anti-plane crack embedded in a half-space of a one-dimensional hexagonal quasicrystal plate with piezoelectric effect. Meccanica 2018, 53, 973–983. [Google Scholar] [CrossRef]
 - Zhou, Y.B.; Li, X.F. A Yoffe-type moving crack in one-dimensional hexagonal piezoelectric quasicrystals. Appl. Math. Model. 2019, 65, 148–163. [Google Scholar] [CrossRef]
 - Agiasofitou, E.; Lazar, M. Electro-elastic dislocations in piezoelectric materials. Philos. Mag. 2020, 100, 1059–1101. [Google Scholar] [CrossRef]
 - Li, X.F.; Fan, T.Y. A Straight Dislocation in One-Dimensional Hexagonal Quasicrystals. Phys. Status Solidi B 1999, 212, 19–26. [Google Scholar] [CrossRef]
 - Bilby, B.A.; Eshelby, J.D. Dislocations and the Theory of Fracture; Academic Press: New York, NY, USA, 1972. [Google Scholar]
 - Zhang, T.Y.; James, C.M. Interaction of a screw dislocation with an interface crack. J. Appl. Phys. 1991, 70, 744–751. [Google Scholar] [CrossRef]
 - Pak, Y.E. Crack extension force in a piezoelectric material. J. Appl. Mech. 1990, 57, 647–653. [Google Scholar] [CrossRef]
 - Yang, J.; Li, X. The anti-plane shear problem of two symmetric cracks originating from an elliptical hole in 1D hexagonal piezoelectric QCs. Adv. Mater. Res. 2014, 936, 127–135. [Google Scholar] [CrossRef]
 - Yu, J.; Guo, J.H.; Pan, E.N.; Xing, Y.M. General solutions of plane problem in one dimensional quasicrystal piezoelectric materials and its application on fracture mechanics. Appl. Math. Mech. 2015, 36, 793–814. [Google Scholar] [CrossRef]
 - Guo, J.H.; Zhang, Z.Y.; Xing, Y.M. Anti-plane analysis for an elliptical inclusion in 1D hexagonal piezoelectric quasicrystal composites. Philos. Mag. 2016, 96, 349–370. [Google Scholar] [CrossRef]
 - Fan, C.Y.; Li, Y.A.; Xu, G.T.; Zhao, M.H. Fundamental solutions and analysis of three dimensional cracks in one-dimensional hexagonal piezoelectric quasicrystals. Mech. Res. Commun. 2016, 74, 39–44. [Google Scholar] [CrossRef]
 - Zhang, L.L.; Wu, D.; Xu, W.S.; Yang, L.Z.; Ricoeur, A.; Wang, Z.B.; Gao, Y. Green’s functions of one-dimensional quasicrystal bi-material with piezoelectric effect. Phys. Lett. A 2016, 380, 3222–3228. [Google Scholar] [CrossRef]
 









| Material 1 | 50 | 0.3 | −0.318 | −0.16 | 0.0826 | 
| Material 2 | 70.19 | 24 | 11.6 | 1.16 | 5 | 
Publisher’s Note: MDPI stays neutral with regard to jurisdictional claims in published maps and institutional affiliations.  | 
© 2022 by the authors. Licensee MDPI, Basel, Switzerland. This article is an open access article distributed under the terms and conditions of the Creative Commons Attribution (CC BY) license (https://creativecommons.org/licenses/by/4.0/).
Share and Cite
Pi, J.; Zhao, Y.; Li, L. Interaction between a Screw Dislocation and Two Unequal Interface Cracks Emanating from an Elliptical Hole in One Dimensional Hexagonal Piezoelectric Quasicrystal Bi-Material. Crystals 2022, 12, 314. https://doi.org/10.3390/cryst12030314
Pi J, Zhao Y, Li L. Interaction between a Screw Dislocation and Two Unequal Interface Cracks Emanating from an Elliptical Hole in One Dimensional Hexagonal Piezoelectric Quasicrystal Bi-Material. Crystals. 2022; 12(3):314. https://doi.org/10.3390/cryst12030314
Chicago/Turabian StylePi, Jiandong, Yue Zhao, and Lianhe Li. 2022. "Interaction between a Screw Dislocation and Two Unequal Interface Cracks Emanating from an Elliptical Hole in One Dimensional Hexagonal Piezoelectric Quasicrystal Bi-Material" Crystals 12, no. 3: 314. https://doi.org/10.3390/cryst12030314
APA StylePi, J., Zhao, Y., & Li, L. (2022). Interaction between a Screw Dislocation and Two Unequal Interface Cracks Emanating from an Elliptical Hole in One Dimensional Hexagonal Piezoelectric Quasicrystal Bi-Material. Crystals, 12(3), 314. https://doi.org/10.3390/cryst12030314
        
                                                