Effects of a Water-Glass Module on Compressive Strength, Size Effect and Stress–Strain Behavior of Geopolymer Recycled Aggregate Concrete
Abstract
1. Introduction
2. Materials and Methods
2.1. Materials
2.2. Mixture Proportion and Preparation Process
2.3. Test Method
- 150 mm3 cube molds were used.
- For each mix proportion, nine samples were prepared.
- One hundred twenty-six samples were prepared (7 water-glass modules, 18 samples for each).
- Three different size molds were used (100, 150, and 200 mm3).
- For each mixed proportion, six samples were prepared.
- Ninety samples all together were prepared (5 water-glass modules, six samples for each).
- A prism mold with the size 150 mm × 150 mm × 300 mm was used in this test.
- For each mix proportion, three samples were made.
- The morphology and microstructure of GRAC were observed with Scanning Electron Microscopy (SEM, S-4800, Hitachi, Japan).
- The chemical element composition and distribution of GRAC was analyzed with an Energy Spectrometer (EDS, X-Max N, Horiba, Japan).
- X-ray diffraction analysis was performed by an X-ray diffractometer (XRD,7000, Shimadzu, Japan) to analyze the composition and structure of geopolymerization products.
3. Results
3.1. Water-Glass Structure and Its Influence on Compressive Strength of GRAC
3.2. Influence of Water-Glass Modules on Compressive Strength Standard Deviation
3.3. Influence of Water-Glass Modules on Size Conversion Factor of GRAC
3.4. Bazant Size Effect Fitting for GRAC
3.5. Critical Size and Critical Strength
3.6. Critical Size and Critical Strength
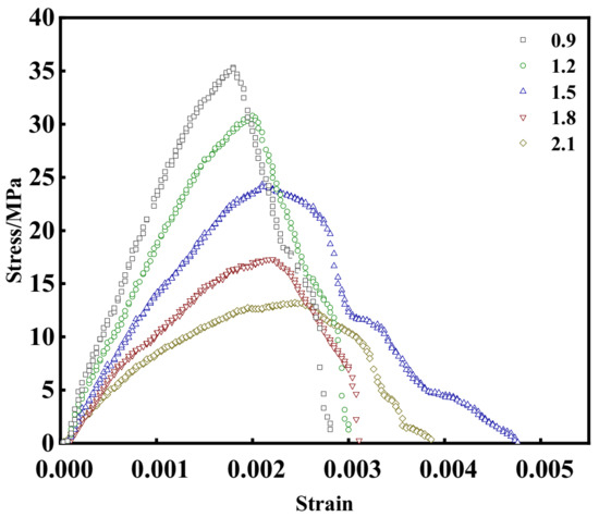
3.7. Stress–Strain Curves of GRAC
3.8. Establishment of Constitutive Equation of GRAC
4. Conclusions
Author Contributions
Funding
Institutional Review Board Statement
Informed Consent Statement
Data Availability Statement
Conflicts of Interest
References
- Davidovits, J. 30 years of successes and failures in geopolymer applications. In Proceedings of the Geopolymer 2002 Conference, Melbourne, Australia, 1 October 2002. [Google Scholar]
- Zawrah, M.F.; Gado, R.A.; Feltin, N.; Ducourtieux, S.; Devoille, L. Recycling and utilization assessment of waste fired clay bricks (Grog) with granulated blast-furnace slag for geopolymer production. Process Saf. Environ. Prot. 2016, 103, 237–251. [Google Scholar] [CrossRef]
- Severin, I.; Vlad, M. Properties of alkali activated ground granulated blast furnace slag based geopolymers. Adv. Mater. Res. 2017, 1143, 114–119. [Google Scholar] [CrossRef]
- Guo, X.; Pan, X. Effects of Steel Slag on Mechanical Properties and Mechanism of Fly Ash-Based Geopolymer. J. Mater. Civ. Eng. 2020, 32, 04019348.1–04019348.9. [Google Scholar] [CrossRef]
- Sun, K.; Peng, X.; Chu, S.H.; Wang, S.; Zeng, L.; Ji, G. Utilization of BOF steel slag aggregate in metakaolin-based geopolymer. Constr. Build. Mater. 2021, 300, 124024. [Google Scholar] [CrossRef]
- Hosseini, S.; Brake, N.A.; Nikookar, M.; Günaydın-Şen, Ö.; Snyder, H.A. Mechanochemically activated bottom ash-fly ash geopolymer. Cem. Concr. Compos. 2021, 118, 103976. [Google Scholar] [CrossRef]
- Lăzărescu, A.V.; Szilagyi, H.; Baeră, C.; Ioani, A. The Effect of Alkaline Activator Ratio on the Compressive Strength of Fly Ash-Based Geopolymer Paste. IOP Conf. Ser. Mater. Sci. Eng. 2017, 209, 012064. [Google Scholar] [CrossRef]
- Bayuaji, R.; Wibowo, B.; Subekti, S.; Santoso, S.E.; Hardiyanto, E.; Kaelani, Y.; Mallu, L.L. The High Teperature Influence on Geopolymer Fly Ash Mixture’s Compressisive Strength with Insudtrial Waste Material Substitution. IOP Conf. Ser. Mater. Sci. Eng. 2017, 267, 12–15. [Google Scholar] [CrossRef]
- Wongsa, A.; Boonserm, K.; Waisurasingha, C.; Sata, V.; Chindaprasirt, P. Use of municipal solid waste incinerator (MSWI) bottom ash in high calcium fly ash geopolymer matrix. J. Clean. Prod. 2017, 148, 49–59. [Google Scholar] [CrossRef]
- Kim, Y.; Kang, S. Characterization of geopolymer made of municipal solid waste incineration ash slag. J. Korean Cryst. Growth Cryst. Technol. 2014, 24, 15–20. [Google Scholar] [CrossRef][Green Version]
- Tang, Z.; Li, W.; Tam, V.W.Y.; Xue, C. Advanced progress in recycling municipal and construction solid wastes for manufacturing sustainable construction materials. Resour. Conserv. Recycl. X 2021, 19, 830–846. [Google Scholar] [CrossRef]
- Okoye, F.N.; Prakash, S.; Singh, N.B. Durability of fly ash based geopolymer concrete in the presence of silica fume. J. Clean. Prod. 2017, 149, 1062–1067. [Google Scholar] [CrossRef]
- Daniel, A.J.; Sivakamasundari, S.; Nishanth, A. Study on Partial Replacement of Silica Fume Based Geopolymer Concrete Beam Behavior under Torsion. Procedia Eng. 2017, 173, 732–739. [Google Scholar] [CrossRef]
- Nmiri, A.; Duc, M.; Hamdi, N.; Yazoghli-Marzouk, O.; Srasra, E. Replacement of alkali silicate solution with silica fume in metakaolin-based geopolymers. Int. J. Miner. Metall. Mater. 2019, 175, 27–36. [Google Scholar] [CrossRef]
- Qin, L.; Nie, Q.; Zhang, H. Laboratory experimental study on red mud geopolymer used as road subgrade materials. E3S Web Conf. 2021, 261, 02043. [Google Scholar] [CrossRef]
- Liang, X.; Ji, Y. Mechanical properties and permeability of red mud-blast furnace slag-based geopolymer concrete. SN Appl. Sci. 2021, 3, 1–10. [Google Scholar] [CrossRef]
- Provis, J.L. Geopolymers and other alkali activated materials: Why, how, and what. Mater. Struct. 2014, 47, 11–25. [Google Scholar] [CrossRef]
- Vafaei, M.; Allahverdi, A. High strength geopolymer binder based on waste-glass powder. Adv. Powder Technol. 2017, 28, 215–222. [Google Scholar] [CrossRef]
- Suwan, T.; Paphawasit, B.; Jitsangiam, P. Influence of Sodium Hydroxide Grade on the Strength of Fly Ash-Based Geopolymer Cement. Mater. Sci. Forum 2020, 998, 317–322. [Google Scholar] [CrossRef]
- Kumar, M.; Saxena, S.K.; Singh, N.B. Influence of some additives on the properties of fly ash based geopolymer cement mortars. SN Appl. Sci. 2019, 1, 481. [Google Scholar] [CrossRef]
- Tchakouté, H.K.; Rüscher, C.H. Mechanical and microstructural properties of metakaolin-based geopolymer cements from sodium waterglass and phosphoric acid solution as hardeners: A comparative study. Appl. Clay Sci. 2017, 140, 81–87. [Google Scholar] [CrossRef]
- Qing, X.; Qiu, L.I.; Chen, W.; Xiao, C.; Zhi, L.L.; Hao, S.M. Effect of Modulus of Alkali-activator on the Properties of GGBS-Based Geopolymer Pervious Concrete. Bull. Chin. Ceram. Soc. 2018, 37, 3575–3580. (In Chinese) [Google Scholar]
- Bature, A.S.; Khorami, M.; Ganjian, E.; Tyrer, M. Influence of alkali activator type and proportion on strength performance of calcined clay geopolymer mortar. Constr. Build. Mater. 2020, 267, 120–446. [Google Scholar] [CrossRef]
- Vikas, G.; Rao, T. Setting Time, Workability and Strength Properties of Alkali Activated Fly Ash and Slag Based Geopolymer Concrete Activated with High Silica modules Water Glass. Iran. J. Sci. Technol.-Trans. Civ. Eng. 2021, 45, 1483–1492. [Google Scholar] [CrossRef]
- Li, Y.; Wang, S.; Xue, M.; Yuxiang, L.; Jin, W. Effect of Water Glass on Compressive Strength and Pore Structure of Geopolymers. Non-Met. Mines 2017, 40, 46–49. (In Chinese) [Google Scholar]
- Zhang, H.; Liu, J.; Wu, B.; Zhang, Z. Axial Compressive Behavior of Geopolymer Recycled Lump Concrete. Materials 2020, 13, 533. [Google Scholar] [CrossRef] [PubMed]
- Ojha, A.; Gupta, L. Comparative study on mechanical properties of conventional and geo-polymer concrete with recycled coarse aggregate. Mater. Today: Proc. 2020, 28, 1403–1406. [Google Scholar] [CrossRef]
- Malayali, A.B.; Chokkalingam, R.B.; Muthukannan, M. Strength Properties of Geopolymer Concrete Modified with Recycled Aggregates. Iran. J. Sci. Technol.-Trans. Civ. Eng. 2021. [Google Scholar] [CrossRef]
- Saravanakumar, P. Strength and Durability Studies on Geopolymer Recycled Aggregate Concrete. Int. J. Eng. Technol. 2018, 7, 370–375. [Google Scholar] [CrossRef]
- GB/T 25177-2010; Recycled Coarse Aggregate for Concrete. Chinese National Standard. Standards Press of China: Beijing, China, 2010. (In Chinese)
- GB/T 14685-2011; Pebble and Crushed Stone for Construction. Chinese National Standard. Standards Press of China: Beijing, China, 2011. (In Chinese)
- Ding, Z.Y.; Zhou, J.H.; Su, Q.; Sun, H.; Zhang, Y.C.; Wang, Q.; Bian, H.G.; Dong, F.X. Hydration Kinetics for Alkaline Activation of Slag from Color Variation Data. Molecules 2021, 26, 3764. [Google Scholar] [CrossRef]
- Zhu, C.X.; Lu, C. The progress to recognize the hardening mechanism of waterglass. Inorg. Chem. Ind. 2001, 33, 22–25. (In Chinese) [Google Scholar]
- Zhu, C.X. Process of understanding the hardening mechanism of CO2 sodium silicate sand. Hot Work. Technol. 1998, 6, 46–47. (In Chinese) [Google Scholar]
- Rahier, H.; Wastiels, J. Reaction mechanism, kinetics and high temperature transformations of geopolymers. J. Mater. Sci. 2007, 42, 2982–2996. [Google Scholar] [CrossRef]
- Purdon, A.O. The action of alkalis on bast-furnace slag. Soc. Chem. Ind. 1940, 59, 191–202. [Google Scholar]
- Davidovits, J. Geopolymers: Inorganic polymeric new materials. J. Therm. Anal. Calorim. 1991, 37, 1633–1656. [Google Scholar] [CrossRef]
- Provis, J.L.; Rupert, J. X-ray microtomography shows pore structure and tortuosity in alkali-activated binders. Cem. Concr. Res. 2012, 42, 855–864. [Google Scholar] [CrossRef]
- Zhao, Y.Q. Concrete Compressive Strength Test and Evaluation-Common Learning GB/T50107-2010. Coal Technol. 2012, 31, 115. (In Chinese) [Google Scholar]
- Ding, Z.Y.; Zhou, J.H.; Su, Q. Study on mechanical properties of geopolymer recycled aggregate concrete. J. Shenyang Jianzhu Univ. (Nat. Sci.) 2021, 37, 138–146. (In Chinese) [Google Scholar]
- Bazant, Z.P. Size effect. Int. J. Solids Struct. 2000, 37, 69–80. [Google Scholar] [CrossRef]




















| CaO4 (wt.%) | SiO2 (wt.%) | Al2O3 (wt.%) | Fe2O3 (wt.%) | MgO (wt.%) | Na2O (wt.%) | K2O (wt.%) | Ignition Loss (wt.%) | |
|---|---|---|---|---|---|---|---|---|
| Slag | 43.10 | 32.26 | 14.69 | 2.06 | 6.19 | - | - | 0.97 |
| Fly ash | 5.51 | 48.54 | 28.35 | 6.37 | 2.42 | 3.01 | 3.90 | 0.96 |
| Particle Size (mm) | Bulk Density (kg·m−3) | Apparent Density (kg·m−3) | Water Absorption (%) | Crushing Index (%) |
|---|---|---|---|---|
| 5~31.5 | 1180 | 2560 | 8.75 | 14.20 |
| No. | Water-Glass Module | Slag (kg·m−3) | Fly Ash (kg·m−3) | Water-Glass (kg·m−3) | Water (kg·m−3) | Sand (kg·m−3) | Recycled Aggregate (kg·m−3) |
|---|---|---|---|---|---|---|---|
| WG06 | 0.6 | 315 | 135 | 54 | 126 | 681 | 1075 |
| WG09 | 0.9 | 315 | 135 | 54 | 126 | 681 | 1075 |
| WG12 | 1.2 | 315 | 135 | 54 | 126 | 681 | 1075 |
| WG15 | 1.5 | 315 | 135 | 54 | 126 | 681 | 1075 |
| WG18 | 1.8 | 315 | 135 | 54 | 126 | 681 | 1075 |
| WG21 | 2.1 | 315 | 135 | 54 | 126 | 681 | 1075 |
| WG24 | 2.4 | 315 | 135 | 54 | 126 | 681 | 1075 |
| Water-Glass Module | 0.9 | 1.2 | 1.5 | 1.8 | 2.1 |
|---|---|---|---|---|---|
| slope (A) | 24.396 | 19.115 | 12.841 | 6.655 | 5.069 |
| intercept (C) | 899.571 | 765.000 | 680.571 | 988.285 | 928.714 |
| determination coefficient (R2) | 0.9546 | 0.995 | 0.9973 | 0.9994 | 0.9964 |
| No. | Position | Boundary Condition |
|---|---|---|
| 1 | Original point | x = 0, y = 0 |
| 2 | rising stage | 0 < x < 1, dy/dx > 0 |
| 3 | Peak point | x = 1, y = 1, and dy/dx = 0 |
| 4 | falling stage | x > 1, dy/dx < 0 |
| 5 | Whole curve | x ≥ 0, 0 ≤ y ≤ 1 |
| Functional Form | 0 ≤ x ≤ 1 | x ≥ 1 |
|---|---|---|
| Polynomial | ||
| Rational fraction |
| Water-Glass Module | a | R2(a) | b | R2(b) |
|---|---|---|---|---|
| 0.9 | 1.597 | 0.9925 | 15.759 | 0.8360 |
| 1.2 | 1.366 | 0.9952 | 13.892 | 0.9170 |
| 1.5 | 1.258 | 0.9942 | 9.122 | 0.9293 |
| 1.8 | 1.175 | 0.9978 | 7.583 | 0.9227 |
| 2.1 | 1.166 | 0.9975 | 3.422 | 0.9210 |
Publisher’s Note: MDPI stays neutral with regard to jurisdictional claims in published maps and institutional affiliations. |
© 2022 by the authors. Licensee MDPI, Basel, Switzerland. This article is an open access article distributed under the terms and conditions of the Creative Commons Attribution (CC BY) license (https://creativecommons.org/licenses/by/4.0/).
Share and Cite
Wang, Q.; Bian, H.; Li, M.; Dai, M.; Chen, Y.; Jiang, H.; Zhang, Q.; Dong, F.; Huang, J.; Ding, Z. Effects of a Water-Glass Module on Compressive Strength, Size Effect and Stress–Strain Behavior of Geopolymer Recycled Aggregate Concrete. Crystals 2022, 12, 218. https://doi.org/10.3390/cryst12020218
Wang Q, Bian H, Li M, Dai M, Chen Y, Jiang H, Zhang Q, Dong F, Huang J, Ding Z. Effects of a Water-Glass Module on Compressive Strength, Size Effect and Stress–Strain Behavior of Geopolymer Recycled Aggregate Concrete. Crystals. 2022; 12(2):218. https://doi.org/10.3390/cryst12020218
Chicago/Turabian StyleWang, Qing, Hongguang Bian, Mingze Li, Min Dai, Yanwen Chen, Hongwei Jiang, Qiang Zhang, Fengxin Dong, Jian Huang, and Zhaoyang Ding. 2022. "Effects of a Water-Glass Module on Compressive Strength, Size Effect and Stress–Strain Behavior of Geopolymer Recycled Aggregate Concrete" Crystals 12, no. 2: 218. https://doi.org/10.3390/cryst12020218
APA StyleWang, Q., Bian, H., Li, M., Dai, M., Chen, Y., Jiang, H., Zhang, Q., Dong, F., Huang, J., & Ding, Z. (2022). Effects of a Water-Glass Module on Compressive Strength, Size Effect and Stress–Strain Behavior of Geopolymer Recycled Aggregate Concrete. Crystals, 12(2), 218. https://doi.org/10.3390/cryst12020218

