The Critical Behaviour and Magnetism of MnCoGe0.97Al0.03 Compounds
Abstract
:1. Introduction
2. Materials and Methods
3. Results
3.1. Structure Properties
3.2. Magnetic Phase Transitions
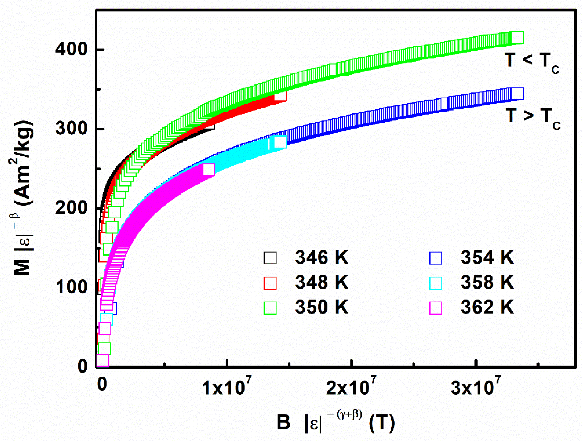
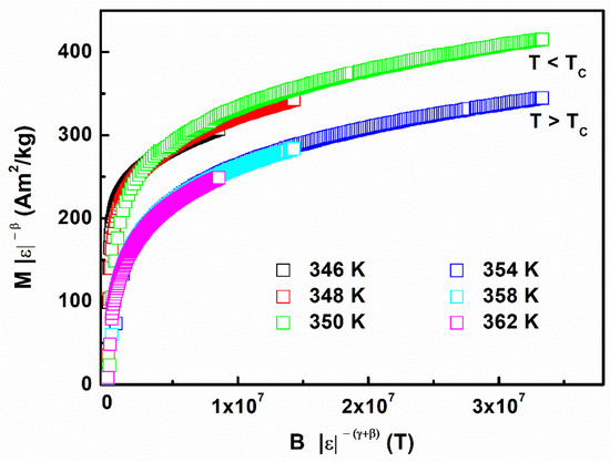
3.3. Critical Exponent Analysis
3.4. The Magnetocaloric Effect
3.5. Neutron Diffraction
4. Conclusions
Author Contributions
Funding
Data Availability Statement
Acknowledgments
Conflicts of Interest
References
- Gschneidner, K.A., Jr.; Pecharsky, V.K. Magnetocaloric materials. Annu. Rev. Mater. Sci. 2000, 30, 387–429. [Google Scholar] [CrossRef] [Green Version]
- Weiss, P.; Piccard, A. Le phénomène magnétocalorique. J. Phys. Theor. Appl. 1917, 7, 103–109. [Google Scholar] [CrossRef]
- Smith, A. Who discovered the magnetocaloric effect? Eur. Phys. J. H 2013, 38, 507–517. [Google Scholar] [CrossRef]
- Zimm, C.; Jastrab, A.; Sternberg, A.; Pecharsky, V.; Gschneidner, K.; Osborne, M.; Anderson, I. Description and performance of a near-room temperature magnetic refrigerator. In Advances in Cryogenic Engineering; Springer: New York, NY, USA, 1998; pp. 1759–1766. [Google Scholar]
- Brown, G.V. Magnetic heat pumping near room temperature. J. Appl. Phys. 1976, 47, 3673–3680. [Google Scholar] [CrossRef] [Green Version]
- Nikitin, S.A.; Tishin, A.M.; Leontiev, P.I. Magnetocaloric effect and pressure influence on dysprosium single crystal magnetization in the range of magnetic phase transition. J. Magn. Magn. Mater. 1991, 92, 405–416. [Google Scholar] [CrossRef]
- Dan’kov, S.Y.; Spichkin, Y.I.; Tishin, A.M. Magnetic entropy and phase transitions in Gd, Tb, Dy and Ho. J. Magn. Magn. Mater. 1996, 152, 208–212. [Google Scholar] [CrossRef]
- Coey, J.M.D.; Skumryev, V.; Gallagher, K. Is gadolinium really ferromagnetic? Nature 1999, 401, 35–36. [Google Scholar] [CrossRef]
- Rahman, A.R.A.; Din, M.F.M.D.; Hairudin, N.A.; Suhaimi, N.S.; Wang, J.; Tawil, S.N.M.; Ismail, M.; Idris, N.H. Effect of Ball Milling Methods on Structural and Electrical Properties of La (FeSi) 13 Alloys. Des. Eng. 2021, 7, 12984–12989. [Google Scholar]
- Phan, M.-H.H.; Yu, S.-C.C. Review of the magnetocaloric effect in manganite materials. J. Magn. Magn. Mater. 2007, 308, 325–340. [Google Scholar] [CrossRef]
- Bingham, N.S.; Phan, M.H.; Srikanth, H.; Torija, M.A.; Leighton, C. Magnetocaloric effect and refrigerant capacity in charge-ordered manganites. J. Appl. Phys. 2009, 106, 23909. [Google Scholar] [CrossRef]
- Moya, X.; Hueso, L.E.; Maccherozzi, F.; Tovstolytkin, A.I.; Podyalovskii, D.I.; Ducati, C.; Phillips, L.C.; Ghidini, M.; Hovorka, O.; Berger, A. Giant and reversible extrinsic magnetocaloric effects in La0.7Ca0.3MnO3 films due to strain. Nat. Mater. 2013, 12, 52–58. [Google Scholar] [CrossRef] [PubMed]
- Zeng, R.; Dou, S.X.; Wang, J.L.; Campbell, S.J. Large magnetocaloric effect in re-entrant ferromagnet PrMn1.4Fe0.6Ge2. J. Alloys Compd. 2011, 509, L119–L123. [Google Scholar] [CrossRef]
- Wang, J.L.; Campbell, S.J.; Md Din, M.F.; Kennedy, S.J.; Hofmann, M. Magnetic transitions and the magnetocaloric effect in the Pr1−xYxMn2Ge2 system. Phys. Status Solidi 2014, 211, 1092–1100. [Google Scholar] [CrossRef]
- Dou, S.X.; Wang, J.; Zeng, R.; Poh, C.-K.; Campbell, S.J.; Kennedy, S.J. Re-entrant ferromagnet PrMn2Ge0.8Si1.2: Magnetocaloric effect. J. Appl. Phys. 2009, 105, 07A909. [Google Scholar]
- Wang, J.L.; Caron, L.; Campbell, S.J.; Kennedy, S.J.; Hofmann, M.; Cheng, Z.X.; Din, M.F.M.; Studer, A.J.; Brück, E.; Dou, S.X. Driving magnetostructural transitions in layered intermetallic compounds. Phys. Rev. Lett. 2013, 110, 217211. [Google Scholar] [CrossRef] [Green Version]
- Devarajan, U.; Nair, S. Investigations on Cu induced couple-decoupled magneto-structural transition in MnCoGe alloys. Mater. Res. Express 2019, 6, 106117. [Google Scholar] [CrossRef]
- Liu, J.; You, Y.; Batashev, I.; Gong, Y.; You, X.; Huang, B.; Zhang, F.; Miao, X.; Xu, F.; van Dijk, N.; et al. Design of Reversible Low-Field Magnetocaloric Effect at Room Temperature in Hexagonal MnMX Ferromagnets. Phys. Rev. Appl. 2020, 13, 054003. [Google Scholar] [CrossRef]
- Si, X.; Zhou, K.; Zhang, R.; Qi, J.; Liu, Y. Room-temperature magnetocaloric properties and universal curve of MnCo1−xSnxGe. Phys. Lett. Sect. A Gen. At. Solid State Phys. 2017, 381, 2850–2855. [Google Scholar] [CrossRef]
- Gao, T.; Wu, M.; Qi, N.; Zhou, T.; Luo, X.; Liu, Y.; Xu, K.; Marchenkov, V.V.; Dong, H.; Chen, Z.; et al. Giant low field magnetocaloric effect and magnetostructural coupling in MnCoGe1−xInx around room temperature. J. Alloys Compd. 2018, 753, 149–154. [Google Scholar] [CrossRef]
- Rahman, A.R.A.; Md Din, M.F.; Wang, J.; Suhaimi, N.S.; Idris, N.H.; Dou, S.X.; Ismail, M.; Hassan, M.Z.; Jusoh, M.T. Magnetism and Thermomechanical Properties in Si Substituted MnCoGe Compounds. Crystals 2021, 11, 694. [Google Scholar] [CrossRef]
- Bao, L.F.; Hu, F.X.; Wu, R.R.; Wang, J.; Chen, L.; Sun, J.R.; Shen, B.G.; Li, L.; Zhang, B.; Zhang, X.X. Evolution of magnetostructural transition and magnetocaloric effect with Al doping in MnCoGe1−xAlx compounds. J. Phys. D Appl. Phys. 2014, 47, 055003. [Google Scholar] [CrossRef]
- Arrott, A.; Noakes, J.E. Approximate equation of state for nickel near its critical temperature. Phys. Rev. Lett. 1967, 19, 786. [Google Scholar] [CrossRef]
- Ren, Q.Y.; Hutchison, W.D.; Wang, J.L.; Pérez, S.M.; Cadogan, J.M.; Campbell, S.J. Magnetism and magnetocaloric effect of Mn0.98Fe0.02CoGe. Phys. Status Solidi Appl. Mater. Sci. 2014, 211, 1101–1105. [Google Scholar] [CrossRef]
- Banerjee, B.K. On a generalised approach to first and second order magnetic transitions. Phys. Lett. 1964, 12, 16–17. [Google Scholar] [CrossRef]
- Sahana, M.; Rössler, U.K.; Ghosh, N.; Elizabeth, S.; Bhat, H.L.; Dörr, K.; Eckert, D.; Wolf, M.; Müller, K.-H. Critical properties of the double-exchange ferromagnet Nd0.6Pb0.4MnO3. Phys. Rev. B 2003, 68, 144408. [Google Scholar] [CrossRef] [Green Version]
- Kouvel, J.S.; Fisher, M.E. Detailed Magnetic Behavior of Nickel Near its Curie Point. Phys. Rev. 1964, 136, A1626–A1632. [Google Scholar] [CrossRef]
- Ahlberg, M.; Korelis, P.; Andersson, G.; Hjörvarsson, B. Effect of ferromagnetic proximity on critical behavior. Phys. Rev. B 2012, 85, 224425. [Google Scholar] [CrossRef] [Green Version]
- Franco, V.; Conde, A.; Romero-Enrique, J.M.; Blázquez, J.S. A universal curve for the magnetocaloric effect: An analysis based on scaling relations. J. Phys. Condens. Matter 2008, 20, 285207. [Google Scholar] [CrossRef]
- Md Din, M.F.; Wang, J.L.; Campbell, S.J.; Studer, A.J.; Avdeev, M.; Kennedy, S.J.; Gu, Q.F.; Zeng, R.; Dou, S.X. Magnetic phase transitions and entropy change in layered NdMn1.7Cr0.3Si2. Appl. Phys. Lett. 2014, 104, 42401. [Google Scholar] [CrossRef] [Green Version]
- Caron, L.; Ou, Z.Q.; Nguyen, T.T.; Thanh, D.T.C.; Tegus, O.; Brück, E.; Cam Thanh, D.T.; Tegus, O.; Brück, E. On the determination of the magnetic entropy change in materials with first-order transitions. J. Magn. Magn. Mater. 2009, 321, 3559–3566. [Google Scholar] [CrossRef]
- Wang, J.-T.; Wang, D.-S.; Chen, C.; Nashima, O.; Kanomata, T.; Mizuseki, H.; Kawazoe, Y. Vacancy induced structural and magnetic transition in MnCo1−xGe. Appl. Phys. Lett. 2006, 89, 262504. [Google Scholar] [CrossRef]
- Kanomata, T.; Ishigaki, H.; Suzuki, T.; Yoshida, H.; Abe, S.; Kaneko, T. Magneto-volume effect of MnCo1−xGe(0⩽x⩽0.2). J. Magn. Magn. Mater. 1995, 140–144, 131–132. [Google Scholar] [CrossRef]













Publisher’s Note: MDPI stays neutral with regard to jurisdictional claims in published maps and institutional affiliations. |
© 2022 by the authors. Licensee MDPI, Basel, Switzerland. This article is an open access article distributed under the terms and conditions of the Creative Commons Attribution (CC BY) license (https://creativecommons.org/licenses/by/4.0/).
Share and Cite
Rahman, A.R.A.; Md Din, M.F.; Othman, N.K.; Wang, J.; Suhaimi, N.S.; Dou, S.X.; Mohamed Sharif, N.F.; Makmor, N.F. The Critical Behaviour and Magnetism of MnCoGe0.97Al0.03 Compounds. Crystals 2022, 12, 205. https://doi.org/10.3390/cryst12020205
Rahman ARA, Md Din MF, Othman NK, Wang J, Suhaimi NS, Dou SX, Mohamed Sharif NF, Makmor NF. The Critical Behaviour and Magnetism of MnCoGe0.97Al0.03 Compounds. Crystals. 2022; 12(2):205. https://doi.org/10.3390/cryst12020205
Chicago/Turabian StyleRahman, Abdul Rashid Abdul, Muhamad Faiz Md Din, Norinsan Kamil Othman, Jianli Wang, Nur Sabrina Suhaimi, Shi Xue Dou, Noor Fadzilah Mohamed Sharif, and Nazrul Fariq Makmor. 2022. "The Critical Behaviour and Magnetism of MnCoGe0.97Al0.03 Compounds" Crystals 12, no. 2: 205. https://doi.org/10.3390/cryst12020205
APA StyleRahman, A. R. A., Md Din, M. F., Othman, N. K., Wang, J., Suhaimi, N. S., Dou, S. X., Mohamed Sharif, N. F., & Makmor, N. F. (2022). The Critical Behaviour and Magnetism of MnCoGe0.97Al0.03 Compounds. Crystals, 12(2), 205. https://doi.org/10.3390/cryst12020205

