Bi0.5Na0.5TiO3-Bi3.25La0.75Ti3O12 Lead-Free Thin Films for Energy Storage Applications through Nanodomain Design
Abstract
1. Introduction
2. Experiments
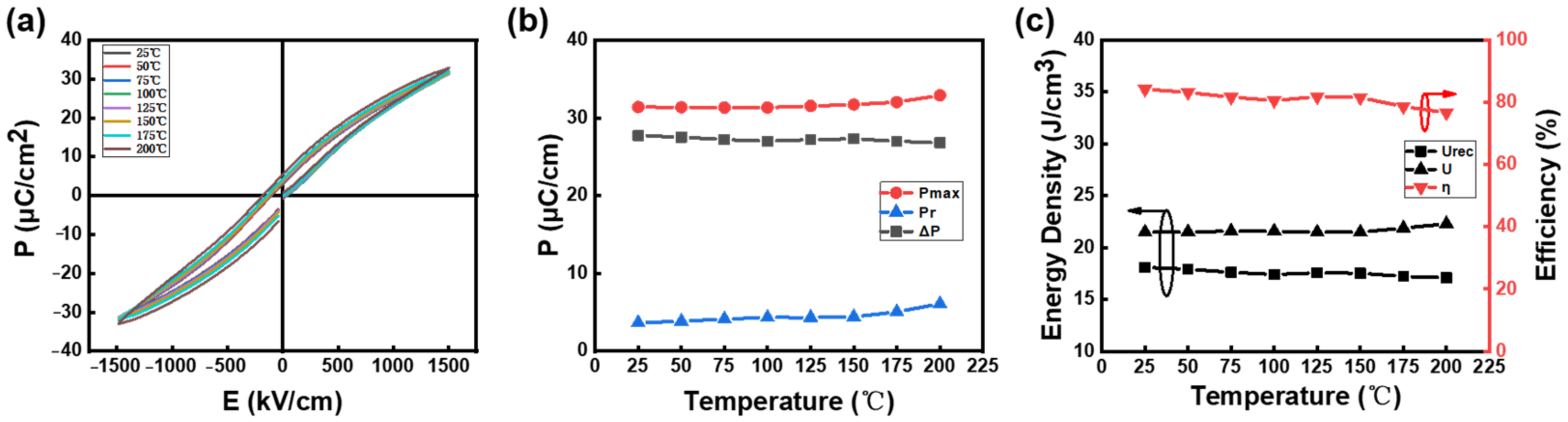
3. Results and Discussion
4. Conclusions
Author Contributions
Funding
Data Availability Statement
Conflicts of Interest
References
- Pan, H.; Li, F.; Liu, Y.; Zhang, Q.; Wang, M.; Lan, S.; Zheng, Y.; Ma, J.; Gu, L.; Shen, Y.; et al. Ultrahigh–energy density lead-free dielectric films via polymorphic nanodomain design. Science 2019, 365, 578–582. [Google Scholar] [CrossRef] [PubMed]
- Pan, H.; Lan, S.; Xu, S.; Zhang, Q.; Yao, H.; Liu, Y.; Meng, F.; Guo, E.-J.; Gu, L.; Yi, D.; et al. Ultrahigh energy storage in superparaelectric relaxor ferroelectrics. Science 2021, 374, 100–104. [Google Scholar] [CrossRef] [PubMed]
- Silva, J.P.B.; Sekhar, K.C.; Pan, H.; MacManus-Driscoll, J.L.; Pereira, M. Advances in Dielectric Thin Films for Energy Storage Applications, Revealing the Promise of Group IV Binary Oxides. ACS Energy Lett. 2021, 6, 2208–2217. [Google Scholar] [CrossRef]
- Zhu, H.; Liu, M.; Zhang, Y.; Yu, Z.; Ouyang, J.; Pan, W. Increasing energy storage capabilities of space-charge dominated ferroelectric thin films using interlayer coupling. Acta Mater. 2017, 122, 252–258. [Google Scholar] [CrossRef]
- Yang, L.; Kong, X.; Li, F.; Hao, H.; Cheng, Z.; Liu, H.; Li, J.-F.; Zhang, S. Perovskite lead-free dielectrics for energy storage applications. Prog. Mater. Sci. 2019, 102, 72–108. [Google Scholar] [CrossRef]
- Mao, N.; Meng, L.; Li, Y.; Hu, Z.; Chu, J. Enhanced voltage endurance capability of Ba(Zr0.2Ti0.8)O3 thin films induced by atomic-layer-deposited Al2O3 intercalations and the application in electrostatic energy storage. Ceram. Int. 2021, 47, 7720–7727. [Google Scholar] [CrossRef]
- Ding, J.; Pan, Z.; Chen, P.; Hu, D.; Yang, F.; Li, P.; Liu, J.; Zhai, J. Enhanced energy storage capability of (1-x)Na0.5Bi0.5TiO3-xSr0.7Bi0.2TiO3 free-lead relaxor ferroelectric thin films. Ceram. Int. 2020, 46, 14816–14821. [Google Scholar] [CrossRef]
- Nguyen, M.D. Impact of fatigue behavior on energy storage performance in dielectric thin-film capacitors. J. Eur. Ceram. Soc. 2020, 40, 1886–1895. [Google Scholar] [CrossRef]
- Nguyen, M.D.; Nguyen, C.T.Q.; Vu, H.N.; Rijnders, G. Controlling microstructure and film growth of relaxor-ferroelectric thin films for high break-down strength and energy-storage performance. J. Eur. Ceram. Soc. 2018, 38, 95–103. [Google Scholar] [CrossRef]
- Ahn, C.W.; Amarsanaa, G.; Won, S.S.; Chae, S.A.; Lee, D.S.; Kim, I.W. Antiferroelectric Thin-Film Capacitors with High Energy-Storage Densities, Low Energy Losses, and Fast Discharge Times. ACS Appl. Mater. Interfaces 2015, 7, 26381–26386. [Google Scholar] [CrossRef]
- Ma, B.; Hu, Z.; Koritala, R.E.; Lee, T.H.; Dorris, S.E.; Balachandran, U. PLZT film capacitors for power electronics and energy storage applications. J. Mater. Sci. Mater. Electron. 2015, 26, 9279–9287. [Google Scholar] [CrossRef]
- Zhang, J.; Song, J.; Li, X.; Dong, G.; Zhao, L. Enhanced energy storage performance in 0.9NBT-0.1BFO thin film. Mater. Lett. 2020, 276, 128266. [Google Scholar] [CrossRef]
- Song, B.; Wu, S.; Yan, H.; Zhu, K.; Xu, L.; Shen, B.; Zhai, J. Fatigue-less relaxor ferroelectric thin films with high energy storage density via defect engineer. J. Mater. Sci. Technol. 2021, 77, 178–186. [Google Scholar] [CrossRef]
- Qi, H.; Xie, A.; Tian, A.; Zuo, R. Superior Energy-Storage Capacitors with Simultaneously Giant Energy Density and Efficiency Using Nanodomain Engineered BiFeO3-BaTiO3-NaNbO3 Lead-Free Bulk Ferroelectrics. Adv. Energy Mater. 2019, 10, 1903338. [Google Scholar] [CrossRef]
- Qi, H.; Zuo, R.; Xie, A.; Tian, A.; Fu, J.; Zhang, Y.; Zhang, S. Ultrahigh Energy-Storage Density in NaNbO3-Based Lead-Free Relaxor Antiferroelectric Ceramics with Nanoscale Domains. Adv. Funct. Mater. 2019, 29, 1903877. [Google Scholar] [CrossRef]
- Xie, A.; Qi, H.; Zuo, R.; Tian, A.; Chen, J.; Zhang, S. An environmentally-benign NaNbO3 based perovskite antiferroelectric alternative to traditional lead-based counterparts. J. Mater. Chem. C 2019, 7, 15153–15161. [Google Scholar] [CrossRef]
- Spahr, H.; Nowak, C.; Hirschberg, F.; Reinker, J.; Kowalsky, W.; Hente, D.; Johannes, H.H. Enhancement of the maximum energy density in atomic layer deposited oxide based thin film capacitors. Appl. Phys. Lett. 2013, 103, 042907. [Google Scholar] [CrossRef]
- Sun, Z.; Ma, C.; Liu, M.; Cui, J.; Lu, L.; Lu, J.; Lou, X.; Jin, L.; Wang, H.; Jia, C.L. Ultrahigh Energy Storage Performance of Lead-Free Oxide Multilayer Film Capacitors via Interface Engineering. Adv. Mater. 2017, 29, 1604427. [Google Scholar] [CrossRef]
- Li, Q.; Ji, S.; Wang, D.; Zhu, J.; Li, L.; Wang, W.; Zeng, M.; Hou, Z.; Gao, X.; Lu, X.; et al. Simultaneously enhanced energy storage density and efficiency in novel BiFeO3-based lead-free ceramic capacitors. J. Eur. Ceram. Soc. 2021, 41, 387–393. [Google Scholar] [CrossRef]
- Song, D.P.; Yang, J.; Yang, B.B.; Wang, Y.; Chen, L.Y.; Wang, F.; Zhu, X.B. Energy storage in BaBi4Ti4O15 thin films with high efficiency. J. Appl. Phys. 2019, 125, 134101. [Google Scholar] [CrossRef]
- Nguyen, M.D. Ultrahigh energy-storage performance in lead-free BZT thin-films by tuning relaxor behavior. Mater. Res. Bull. 2021, 133, 111072. [Google Scholar] [CrossRef]
- Li, S.; Hu, T.; Nie, H.; Fu, Z.; Xu, C.; Xu, F.; Wang, G.; Dong, X. Giant energy density and high efficiency achieved in silver niobate-based lead-free antiferroelectric ceramic capacitors via domain engineering. Energy Storage Mater. 2021, 34, 417–426. [Google Scholar] [CrossRef]
- Pan, H.; Ma, J.; Ma, J.; Zhang, Q.; Liu, X.; Guan, B.; Gu, L.; Zhang, X.; Zhang, Y.J.; Li, L.; et al. Giant energy density and high efficiency achieved in bismuth ferrite-based film capacitors via domain engineering. Nat. Commun. 2018, 9, 1813. [Google Scholar] [CrossRef] [PubMed]
- Park, B.H.; Kang, B.S.; Bu, S.D.; Noh, T.W.; Lee, J.; Jo, W. Lanthanum-substituted bismuth titanate for use in non-volatile memories. Nature 1999, 401, 682–684. [Google Scholar] [CrossRef]
- Subbarao, E.C. A family of ferroelectric bismuth compounds. J. Phys. Chem. Solids 1962, 23, 665–676. [Google Scholar] [CrossRef]
- Long, C.; Chang, Q.; Fan, H. Differences in nature of electrical conductions among Bi4Ti3O12-based ferroelectric polycrystalline ceramics. Sci. Rep. 2017, 7, 4193. [Google Scholar] [CrossRef]
- Chen, Y.; Xie, S.; Wang, H.; Chen, Q.; Wang, Q.; Zhu, J.; Guan, Z. Dielectric abnormality and ferroelectric asymmetry in W/Cr co-doped Bi4Ti3O12 ceramics based on the effect of defect dipoles. J. Alloys Compd. 2017, 696, 746–753. [Google Scholar] [CrossRef]
- Sun, J.; Han, Y.; Gao, G.; Yang, J.; Zhang, Y.; Dai, Y.; Song, D. Breakdown field enhancement and energy storage performance in four-layered Aurivillius films. Ceram. Int. 2022, 48, 15780–15784. [Google Scholar] [CrossRef]
- Chang, W.-Y.; Chung, C.-C.; Yuan, Z.; Chang, C.-H.; Tian, J.; Viehland, D.; Li, J.-F.; Jones, J.L.; Jiang, X. Patterned nano-domains in PMN-PT single crystals. Acta Mater. 2018, 143, 166–173. [Google Scholar] [CrossRef]
- Pan, Z.; Wang, P.; Hou, X.; Yao, L.; Zhang, G.; Wang, J.; Liu, J.; Shen, M.; Zhang, Y.; Jiang, S.; et al. Fatigue-Free Aurivillius Phase Ferroelectric Thin Films with Ultrahigh Energy Storage Performance. Adv. Energy Mater. 2020, 10, 2001536. [Google Scholar] [CrossRef]






Publisher’s Note: MDPI stays neutral with regard to jurisdictional claims in published maps and institutional affiliations. |
© 2022 by the authors. Licensee MDPI, Basel, Switzerland. This article is an open access article distributed under the terms and conditions of the Creative Commons Attribution (CC BY) license (https://creativecommons.org/licenses/by/4.0/).
Share and Cite
Yue, W.; Jia, T.; Chen, Y.; Dai, W.; Yu, L.; Cai, Y.; Li, T.; Liu, L.; Guo, Q.; Yu, S. Bi0.5Na0.5TiO3-Bi3.25La0.75Ti3O12 Lead-Free Thin Films for Energy Storage Applications through Nanodomain Design. Crystals 2022, 12, 1524. https://doi.org/10.3390/cryst12111524
Yue W, Jia T, Chen Y, Dai W, Yu L, Cai Y, Li T, Liu L, Guo Q, Yu S. Bi0.5Na0.5TiO3-Bi3.25La0.75Ti3O12 Lead-Free Thin Films for Energy Storage Applications through Nanodomain Design. Crystals. 2022; 12(11):1524. https://doi.org/10.3390/cryst12111524
Chicago/Turabian StyleYue, Wenfeng, Tingting Jia, Yanrong Chen, Wenbin Dai, Liang Yu, Yali Cai, Ting Li, Lixia Liu, Quansheng Guo, and Shuhui Yu. 2022. "Bi0.5Na0.5TiO3-Bi3.25La0.75Ti3O12 Lead-Free Thin Films for Energy Storage Applications through Nanodomain Design" Crystals 12, no. 11: 1524. https://doi.org/10.3390/cryst12111524
APA StyleYue, W., Jia, T., Chen, Y., Dai, W., Yu, L., Cai, Y., Li, T., Liu, L., Guo, Q., & Yu, S. (2022). Bi0.5Na0.5TiO3-Bi3.25La0.75Ti3O12 Lead-Free Thin Films for Energy Storage Applications through Nanodomain Design. Crystals, 12(11), 1524. https://doi.org/10.3390/cryst12111524
