First-Principles Investigation of Structural, Thermoelectric, and Optical Properties of Half-Heusler Compound ScRhTe under Varied Pressure
Abstract
1. Introduction
2. Theoretical Methods
3. Results and Discussion
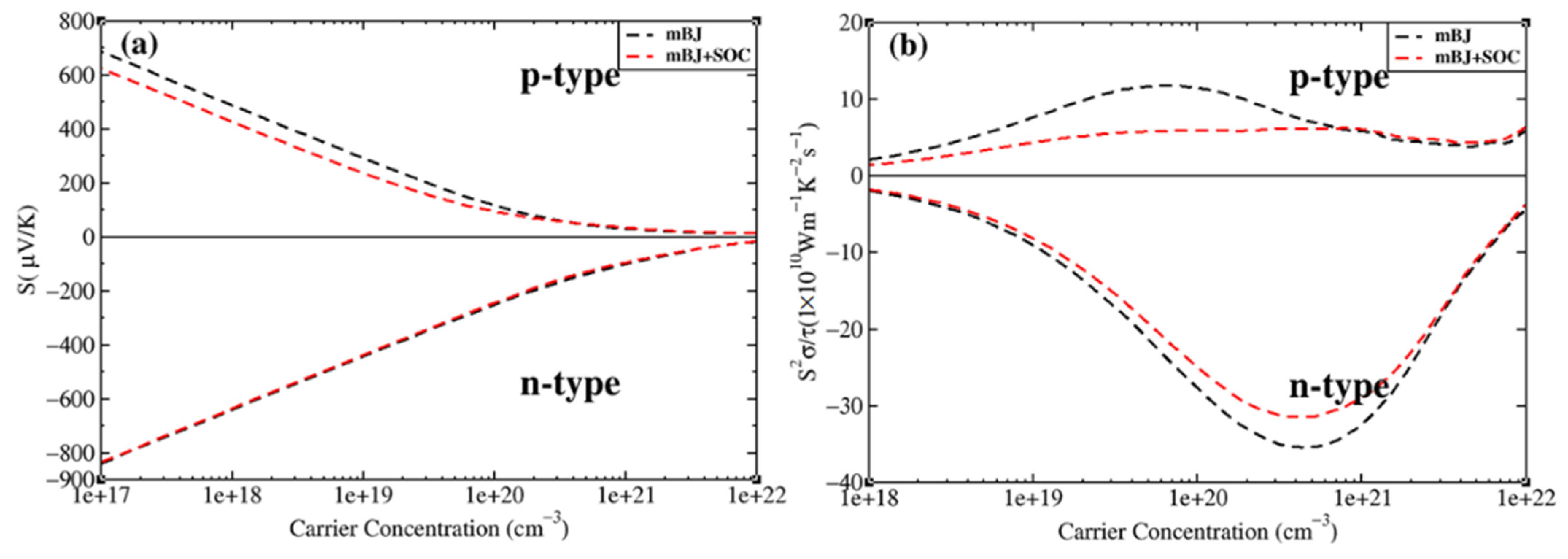
3.1. Effect of SOC on Structure and TE Properties
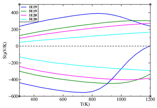
3.2. Thermoelectric Properties
3.3. Influence of Pressure on Electronic Structure
3.4. Influence of Pressure on Thermoelectric Properties
3.5. Influence of Pressure on Optical Properties
4. Conclusions
Author Contributions
Funding
Data Availability Statement
Conflicts of Interest
References
- Bell, L.E. Cooling, Heating, Generating Power, and Recovering Waste Heat with Thermoelectric Systems. Science 2008, 321, 1457–1461. [Google Scholar] [CrossRef] [PubMed]
- Fu, C.; Bai, S.; Liu, Y.; Tang, Y.; Chen, L.; Zhao, X.; Zhu, T. Realizing high figure of merit in heavy-band p-type half-Heusler thermoelectric materials. Nat. Commun. 2015, 6, 8144. [Google Scholar] [CrossRef] [PubMed]
- DiSalvo, F.J. Thermoelectric Cooling and Power Generation. Science 1999, 285, 703–706. [Google Scholar] [CrossRef] [PubMed]
- Snyder, G.J.; Toberer, E.S. Complex thermoelectric materials. Nat. Mater. 2008, 7, 105–114. [Google Scholar] [CrossRef]
- Gaynera, C.; Kamal, K.K. Recent advances on thermoelectric materials. Prog. Mater. Sci. 2016, 83, 330–382. [Google Scholar] [CrossRef]
- Biswas, K.; He, J.; Blum, I.; Wu, C.-I.; Hogan, T.P.; Seidman, D.N.; Dravid, V.P.; Kanatzidis, M.G. High-performance bulk thermoelectrics with all-scale hierarchical architectures. Nature 2012, 489, 414–418. [Google Scholar] [CrossRef]
- Zhao, L.-D.; Lo, S.-H.; Zhang, Y.; Sun, H.; Tan, G.; Uher, C.; Wolverton, C.; Dravid, V.P.; Kanatzidis, M.G. Ultralow thermal conductivity and high thermoelectric figure of merit in SnSe crystals. Nature 2014, 508, 373–377. [Google Scholar] [CrossRef]
- LaLonde, A.D.; Pei, Y.; Wang, H.; Snyder, G.J. Lead telluride alloy thermoelectrics. Mater. Today 2011, 14, 526–532. [Google Scholar] [CrossRef]
- Shen, Q.; Chen, L.; Goto, T.; Hirai, T.; Yang, J.; Meisner, G.P.; Uher, C. Effects of partial substitution of Ni by Pd on the thermoelectric properties of ZrNiSn-based half-Heusler compounds. Appl. Phys. Lett. 2001, 79, 4165–4167. [Google Scholar] [CrossRef]
- Xia, Y.; Bhattacharya, S.; Ponnambalam, V.; Pope, A.L.; Poon, S.J.; Tritt, T.M. Thermoelectric properties of semimetallic (Zr, Hf)CoSb half-Heusler phases. J. Appl. Phys. 2000, 88, 1952–1955. [Google Scholar] [CrossRef]
- Liu, W.; Yan, X.; Chen, G.; Ren, Z. Recent advances in thermoelectric nanocomposites. Nano Energy 2011, 1, 42–56. [Google Scholar] [CrossRef]
- Mahan, G.D.; Sofo, J.O. The best thermoelectric. Proc. Natl. Acad. Sci. USA 1996, 93, 7436–7439. [Google Scholar] [CrossRef]
- Graf, T.; Felser, C.; Parkin, S.S. Simple rules for the understanding of Heusler compounds. Prog. Solid State Chem. 2011, 39, 1–50. [Google Scholar] [CrossRef]
- Bos, J.-W.; Downie, R.A. Half-Heusler thermoelectrics: A complex class of materials. J. Phys. Condens. Matter 2014, 26, 433201. [Google Scholar] [CrossRef]
- Tritt, T.M. Thermoelectric Phenomena, Materials, and Applications. Annu. Rev. Mater. Res. 2011, 41, 433–448. [Google Scholar] [CrossRef]
- Tan, G.J.; Hao, S.; Zhao, J.; Wolverton, C.; Kanatzidis, M.G. High Thermoelectric Performance in Electron-Doped AgBi3S5 with Ultralow Thermal Conductivity. J. Am. Chem. Soc. 2017, 139, 6467–6473. [Google Scholar] [CrossRef]
- Cerretti, G.; Schrade, M.; Song, X.; Balke, B.; Lu, H.; Weidner, T.; Lieberwirth, I.; Panthofer, M.; Norby, T.; Tremel, W. Thermal stability and enhanced thermoelectric properties of the tetragonal tungsten bronzes Nb8−xW9+xO47 (0 <x <5). J. Mater. Chem. A 2017, 5, 9768. [Google Scholar] [CrossRef]
- Ge, Z.H.; Zhao, L.D.; Wu, D.; Liu, X.; Zhang, B.P.; Li, J.F.; He, J. Low-cost, abundant binary sulfides as promising thermoelectric materials. Mater. Today 2016, 19, 227–239. [Google Scholar] [CrossRef]
- Misra, D.K.; Bhardwaj, A.; Singh, S. Enhanced thermoelectric performance of a new half-Heusler derivative Zr9Ni7Sn8 bulk nanocomposite: Enhanced electrical conductivity and low thermal conductivity. J. Mater. Chem. A 2014, 2, 11913–11921. [Google Scholar] [CrossRef]
- Chen, S.; Ren, Z. Recent progress of half-Heusler for moderate temperature thermoelectric applications. Mater. Today 2013, 16, 387–395. [Google Scholar] [CrossRef]
- Huang, L.; Zhang, Q.; Yuan, B.; Lai, X.; Yan, X.; Ren, Z. Recent progress in half-Heusler thermoelectric materials. Mater. Res. Bull. 2015, 76, 107–112. [Google Scholar] [CrossRef]
- Fang, T.; Zheng, S.; Zhou, T.; Yan, L.; Zhang, P. Computational prediction of high thermoelectric performance in p-type half-Heusler compounds with low band effective mass. Phys. Chem. Chem. Phys. 2017, 19, 4411–4417. [Google Scholar] [CrossRef] [PubMed]
- Zhang, X.; Wang, Y.; Yan, Y.; Wang, C.; Zhang, G.; Cheng, Z.; Ren, F.; Deng, H.; Zhang, J. Origin of high thermoelectric performance of FeNb1−xZr/HfxSb1−ySny alloys: A first-principles study. Sci. Rep. 2016, 6, 33120. [Google Scholar] [CrossRef] [PubMed]
- Yu, C.; Zhu, T.J.; Shi, R.Z.; Zhang, Y.; Zhao, X.B.; He, J. High-performance half-Heusler thermoelectric materials Hf1−xZrxNiSn1−ySby prepared by levitation melting and spark plasma sintering. Acta Mater. 2009, 57, 2757–2764. [Google Scholar] [CrossRef]
- Joshi, G.; Yan, X.; Wang, H.; Liu, W.; Chen, G.; Ren, Z. Enhancement in Thermoelectric Figure-Of-Merit of an N-Type Half-Heusler Compound by the Nanocomposite Approach. Adv. Energy Mater. 2011, 1, 643–647. [Google Scholar] [CrossRef]
- Yan, X.; Liu, W.; Wang, H.; Chen, S.; Shiomi, J.; Esfarjani, K.; Wang, H.; Wang, D.; Chen, G.; Ren, Z. Stronger phonon scattering by larger differences in atomic mass and size in p-type half-Heuslers Hf1−xTixCoSb0.8Sn0.2. Energy Environ. Sci. 2012, 5, 7543–7548. [Google Scholar] [CrossRef]
- Sakurada, S.; Shutoh, N. Effect of Ti substitution on the thermoelectric properties of (Zr,Hf)NiSn half-Heusler compounds. Appl. Phys. Lett. 2005, 86, 082105. [Google Scholar] [CrossRef]
- Li, W.F.; Yang, G.; Zhang, J.W. Optimization of the thermoelectric properties of FeNbSb-based half-Heusler materials. J. Phys. D Appl. Phys. 2016, 49, 195601. [Google Scholar] [CrossRef]
- Fang, T.; Zheng, S.; Chen, H.; Cheng, H.; Wang, L.; Zhang, P. Electronic structure and thermoelectric properties of p-type half-Heusler compound NbFeSb: A first-principles study. RSC Adv. 2016, 6, 10507–10512. [Google Scholar] [CrossRef]
- Ren, Q.Y.; Fu, C.G.; Qiu, Q.Y.; Dai, S.N. Establishing the carrier scattering phase diagram for ZrNiSn-based half-Heusler thermoelectric materials. Nat. Commun. 2020, 11, 3142. [Google Scholar] [CrossRef]
- Serrano-Sánchez, F.; Luo, T.; Yu, J.; Xie, W.; Le, C.; Auffermann, G.; Weidenkaff, A.; Zhu, T.; Zhao, X.; Alonso, J.A.; et al. Thermoelectric properties of n-type half-Heusler NbCoSn with heavy-element Pt substitution. J. Mater. Chem. A 2020, 8, 14822–14828. [Google Scholar] [CrossRef]
- Rogl, G.; Ghosh, S.; Wang, L.; Bursik, J.; Grytsiv, A.; Kerber, M.; Bauer, E.; Mallik, R.C.; Chen, X.-Q.; Zehetbauer, M.; et al. Half-Heusler alloys: Enhancement of ZT after severe plastic deformation (ultra-low thermal conductivity). Acta Mater. 2019, 183, 285–300. [Google Scholar] [CrossRef]
- Yan, R.; Xie, W.; Balke, B.; Chen, G.; Weidenkaff, A. Realizing p-type NbCoSn half-Heusler compounds with enhanced thermoelectric performance via Sc substitution. Sci. Technol. Adv. Mater. 2020, 21, 122–130. [Google Scholar] [CrossRef]
- Haque, E.; Rahman, M.; Sultana, P. Effect of Bi-substitution on structural stability and improved thermoelectric performance of p-type half-Heusler TaSbRu: A first-principles study. Comput. Mater. Sci. 2021, 190, 110300. [Google Scholar] [CrossRef]
- Wang, D.Y.; Wang, G.T.; Li, W.F. Khandy, Ni substitution enhanced thermoelectric properties of ZrPd1−xNixPb(x = 0, 0.25, 0.5, 0.75, 1). J. Alloy. Compd. 2017, 692, 599–604. [Google Scholar] [CrossRef]
- Khandy, S.A.; Chai, J.-D. Strain engineering of electronic structure, phonon, and thermoelectric properties of p-type half-Heusler semiconductor. J. Alloy. Compd. 2020, 850, 156615. [Google Scholar] [CrossRef]
- Gautier, R.; Zhang, X.; Hu, L.; Yu, L.; Lin, Y.; Sunde, T.O.L.; Chon, D.; Poeppelmeier, K.R.; Zunger, A. Prediction and accelerated laboratory discovery of previously unknown 18-electron ABX compounds. Nat. Chem. 2015, 7, 308–316. [Google Scholar] [CrossRef]
- Wang, G.; Wei, J. Topological phase transition in half-Heusler compounds HfIrX (X = As, Sb, Bi). Comput. Mater. Sci. 2016, 124, 311–315. [Google Scholar] [CrossRef]
- Wang, G.; Wang, D. Electronic structure and thermoelectric properties of Pb-based half-Heusler compounds: ABPb (A = Hf, Zr; B = Ni, Pd). J. Alloy. Compd. 2016, 682, 375–380. [Google Scholar] [CrossRef]
- Wei, J.; Wang, G. Thermoelectric and optical properties of half-Heusler compound TaCoSn: A first-principle study. J. Alloy. Compd. 2018, 757, 118–123. [Google Scholar] [CrossRef]
- Khandy, S.A.; Chai, J.D. Thermoelectric properties, phonon, and mechanical stability of new half-metallic quaternary Heusler alloys: FeRhCrZ (Z = Si and Ge). J. Appl. Phys. 2020, 127, 165102. [Google Scholar] [CrossRef]
- Bergerhoff, G.; Hundt, R.; Sievers, R.; Brown, I.D. The Inorganic Crystal Structure Database (ICSD). Chem. Inf. Comput. Sci. 1983, 23, 66–69. [Google Scholar] [CrossRef]
- Blaha, P.; Schwarz, K.; Tran, F.; Laskowski, R.; Madsen, G.K.H.; Marks, L.D. WIEN2k: An APW+lo program for calculating the properties of solids. J. Chem. Phys. 2020, 152, 074101. [Google Scholar] [CrossRef]
- Kresse, G.; Joubert, D. Efficient iterative schemes for ab initio total-energy calculations using a planewave basis set. Phys. Rev. B 1999, 59, 11169. [Google Scholar] [CrossRef]
- Perdew, J.P.; Burke, K.; Ernzerhof, M. Generalized gradient approximation made simple. Phys. Rev. Lett. 1996, 77, 3865. [Google Scholar] [CrossRef]
- Tran, F.; Blaha, P. Accurate Band Gaps of Semiconductors and Insulators with a Semilocal Exchange-Correlation Potential. Phys. Rev. Lett. 2009, 102, 226401. [Google Scholar] [CrossRef]
- Becke, A.D.; Johnson, E.R. A simple effective potential for exchange. J. Chem. Phys. 2006, 124, 221101. [Google Scholar] [CrossRef]
- Zhang, L.; Singh, D.J. Electronic structure and thermoelectric properties of layered PbSe-WSe 2 materials. Phys. Rev. B 2009, 80, 075117. [Google Scholar] [CrossRef]
- Singh, D.J. Doping-dependent thermopower of PbTe from Boltzmann transport calculations. Phys. Rev. B 2010, 81, 195217. [Google Scholar] [CrossRef]
- Madsen, G.K.; Singh, D.J. BoltzTraP. A code for calculating band-structure dependent quantities. Comput. Phys. Commun. 2006, 175, 67–71. [Google Scholar] [CrossRef]
- Hinsche, N.F.; Mertig, I.; Zahn, P. Effect of strain on the thermoelectric properties of silicon: An ab initio study. J. Phys. Condens. Matter. 2011, 23, 295502. [Google Scholar] [CrossRef][Green Version]
- Parker, D.; Singh, D.J. High-temperature thermoelectric performance of heavily doped PbSe. Phys. Rev. B 2010, 82, 035204. [Google Scholar] [CrossRef]
- May, A.F.; Singh, D.J.; Snyder, G.J. Influence of band structure on the large thermoelectric performance of lanthanum telluride. Phys. Rev. B 2009, 79, 153101. [Google Scholar] [CrossRef]
- Lee, M.S.; Poudeu, F.P.; Mahanti, S.D. Publisher’s Note: Electronic structure and thermoelectric properties of Sb-based semiconducting half-Heusler compounds. Phys. Rev. B 2011, 83, 085204. [Google Scholar] [CrossRef]
- Singh, S. Assessing the thermoelectric properties of ScRhTe half-heusler compound. Comput. Condens. Matter 2017, 13, 120–126. [Google Scholar] [CrossRef]
- Kaur, K.; Kaur, J. Exploration of thermoelectricity in ScRhTe and ZrPtPb Half Heusler compounds: A first principle study. J. Alloy. Compd. 2017, 715, 297–303. [Google Scholar] [CrossRef]
- Guo, S.-D.; Wang, J.-L. Pressure enhanced thermoelectric properties in Mg2Sn. RSC Adv. 2016, 6, 31272–31276. [Google Scholar] [CrossRef]
- Wei, J.; Wang, G. Properties of half-Heusler compounds TaIrGe by using first-principles calculations. Appl. Phys. A 2017, 123, 375. [Google Scholar] [CrossRef]
- Kutorasinski, K.; Wiendlocha, B.; Tobola, J.; Kaprzyk, S. Importance of relativistic effects in electronic structure and thermopower calculations for Mg2Si, Mg2Ge, and Mg2Sn. Phys. Rev. B 2014, 89, 115205. [Google Scholar] [CrossRef]
- Guo, S.D. Importance of spinCorbit coupling in power factor calculations for half-Heusler ANiB (A = Ti, Hf, Sc, Y.; BSn, Sb, Bi). J. Alloys Compd. 2016, 663, 128–133. [Google Scholar] [CrossRef]
- Larson, P.; Mahanti, S.D.; Kanatzidis, M.G. Electronic structure and transport of Bi2Te3 and BaBiTe3. Phys. Rev. B 2000, 61, 8162. [Google Scholar] [CrossRef]
- Scheidemantel, T.J.; Ambrosch-Draxl, C.; Thonhauser, T.; Badding, J.V.; Sofo, J.O. Transport coefficients from first-principles calculations. Phys. Rev. B 2003, 68, 125210. [Google Scholar] [CrossRef]
- Chen, M.C. A quick thermoelectric technique for typing HgCdTe at liquid nitrogen temperature. J. Appl. Phys. 1992, 71, 3636–3638. [Google Scholar] [CrossRef]
- Guo, S.D.; Wang, Y.H. Thermoelectric properties of orthorhombic group IV-VI monolayers from the first-principles calculations. J. Appl. Phys. 2017, 121, 034302. [Google Scholar] [CrossRef]
- Shi, H.L.; Ming, W.M.; Parker, D.S.; Du, M.H.; Singh, D.J. Prospective high thermoelectric performance of the heavily p-doped half-Heusler compound CoVSn. Phys. Rev. B 2017, 95, 195207. [Google Scholar] [CrossRef]
- Frank, S.; Kuntscher, C.A.; Gregora, I.; Petzelt, J.; Yamauchi, T.; Ueda, Y. Pressure-induced changes in the optical properties of quasi-one-dimensional β-Na0.33 V2O5. Phys. Rev. B 2007, 76, 075128. [Google Scholar] [CrossRef]
- Meng, J.F.; Shekar, N.V.C.; Chung, D.-Y.; Kanatzidis, M.; Badding, J.V. Improvement in the thermoelectric properties of pressure-tuned β-K2Bi8Se13. J. Appl. Phys. 2003, 94, 4485–4488. [Google Scholar] [CrossRef]
- Ovsyannikov, S.V.; Shchennikov, V. Pressure-tuned colossal improvement of thermoelectric efficiency of PbTe. Appl. Phys. Lett. 2007, 90, 122103. [Google Scholar] [CrossRef]
- Ovsyannikov, S.V.; Shchennikov, V.V.; Vorontsov, G.V.; Manakov, A.Y.; Likhacheva, A.Y.; Kulbachinskii, V.A. Giant improvement of thermoelectric power factor of Bi2Te3 under pressure. J. Appl. Phys. 2008, 104, 053713. [Google Scholar] [CrossRef]
- Weber, W. Lattice Dynamics of Transition-Metal Carbides. Phys. Rev. B 1973, 8, 5082–5092. [Google Scholar] [CrossRef]
- Jain, S.C.; Willis, J.R.; Bullogh, R. A review of theoretical and experimental work on the structure of GexSi1−x strained layers and superlattices, with extensive bibliography. Adv. Phys. 1990, 39, 127–190. [Google Scholar] [CrossRef]
- David, J.G. Optical Properties of Solids. Am. J. Phys. 2002, 70, 1269. [Google Scholar] [CrossRef]
- Pourghazi, A.; Dadsetani, M. Electronic and optical properties of BaTe, BaSe and BaS from first principles. Phys. B Condens. Matter. 2005, 370, 35–45. [Google Scholar] [CrossRef]
- Verma, A.S.; Kumar, A.; Bhardwaj, S.R. Correlation between ionic charge and the lattice constant of cubic perovskite solids. Phys. Status Solidi B 2008, 245, 1520–1526. [Google Scholar] [CrossRef]









Publisher’s Note: MDPI stays neutral with regard to jurisdictional claims in published maps and institutional affiliations. |
© 2022 by the authors. Licensee MDPI, Basel, Switzerland. This article is an open access article distributed under the terms and conditions of the Creative Commons Attribution (CC BY) license (https://creativecommons.org/licenses/by/4.0/).
Share and Cite
Wei, J.; Guo, Y.; Wang, G. First-Principles Investigation of Structural, Thermoelectric, and Optical Properties of Half-Heusler Compound ScRhTe under Varied Pressure. Crystals 2022, 12, 1472. https://doi.org/10.3390/cryst12101472
Wei J, Guo Y, Wang G. First-Principles Investigation of Structural, Thermoelectric, and Optical Properties of Half-Heusler Compound ScRhTe under Varied Pressure. Crystals. 2022; 12(10):1472. https://doi.org/10.3390/cryst12101472
Chicago/Turabian StyleWei, Junhong, Yongliang Guo, and Guangtao Wang. 2022. "First-Principles Investigation of Structural, Thermoelectric, and Optical Properties of Half-Heusler Compound ScRhTe under Varied Pressure" Crystals 12, no. 10: 1472. https://doi.org/10.3390/cryst12101472
APA StyleWei, J., Guo, Y., & Wang, G. (2022). First-Principles Investigation of Structural, Thermoelectric, and Optical Properties of Half-Heusler Compound ScRhTe under Varied Pressure. Crystals, 12(10), 1472. https://doi.org/10.3390/cryst12101472
