Effect of Alkyl Chain Length on the Phase Situation of Glass-Forming Liquid Crystals
Abstract
1. Introduction
2. Materials and Methods
3. Results and Discussion
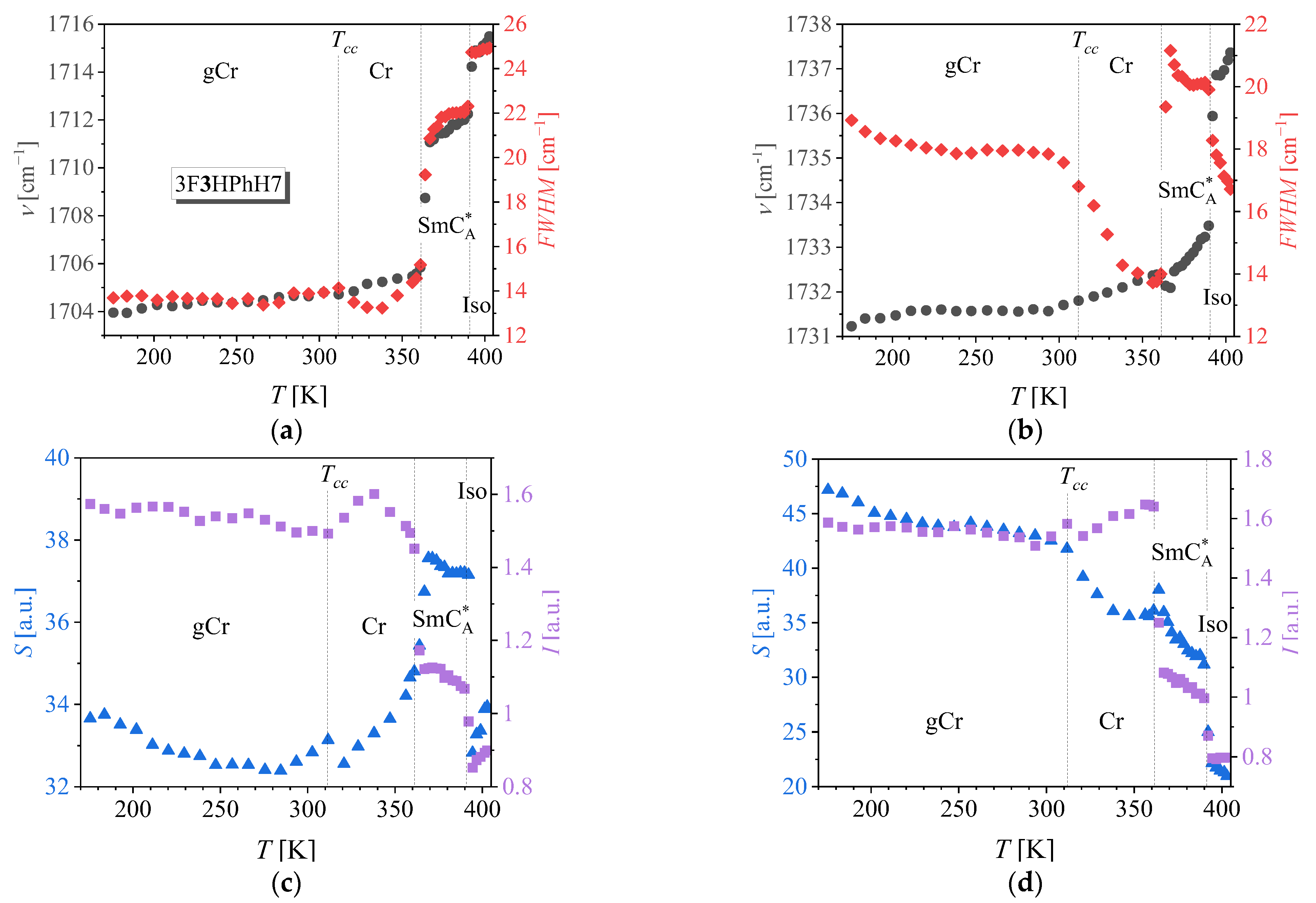
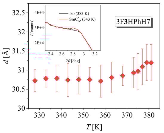
3.1. Characteristics of Thermodynamic States of 3F3HPhH7 Compound
3.2. Kinetics of Non-Isothermal Cold Crystallization of 3F3HPhH7 Compound
3.3. Impact of the Carbon Chain Length on Phase Behaviour and Kinetics of the Crystallization of 3FmHPhH7 Compounds
4. Summary and Conclusions
Author Contributions
Funding
Institutional Review Board Statement
Informed Consent Statement
Data Availability Statement
Acknowledgments
Conflicts of Interest
References
- D’havé, K.; Rudquist, P.; Lagerwall, S.T.; Pauwels, H.; Drzewinski, W.; Dabrowski, R. Solution of the Dark State Problem in Antiferroelectric Liquid Crystal Displays. Appl. Phys. Lett. 2000, 76, 3528–3530. [Google Scholar] [CrossRef]
- Lagerwall, S.T.; Dahlgren, A.; Jägemalm, P.; Rudquist, P.; D’havé, K.; Pauwels, H.; Dabrowski, R.; Drzewinski, W. Unique Electro-Optical Properties of Liquid Crystals Designed for Molecular Optics. Adv. Funct. Mater. 2001, 11, 87–94. [Google Scholar] [CrossRef]
- Chandani, A.D.L.; Gorecka, E.; Ouchi, Y.; Takezoe, H.; Fukuda, A. Antiferroelectric Chiral Smectic Phases Responsible for the Trislable Switching in MHPOBC. Jpn. J. Appl. Phys. 1989, 28, L1265–L1268. [Google Scholar] [CrossRef]
- Kolek, Ł.; Jasiurkowska-Delaporte, M.; Massalska-Arodź, M.; Szaj, W.; Rozwadowski, T. Mesomorphic and Dynamic Properties of 3F5BFBiHex Antiferroelectric Liquid Crystal as Reflected by Polarized Optical Microscopy, Differential Scanning Calorimetry and Broadband Dielectric Spectroscopy. J. Mol. Liq. 2020, 320, 114338. [Google Scholar] [CrossRef]
- Deptuch, A.; Lalik, S.; Jasiurkowska-Delaporte, M.; Juszyńska-Gałązka, E.; Drzewicz, A.; Urbańska, M.; Marzec, M. Comparative Study of Electrooptic, Dielectric, and Structural Properties of Two Glassforming Antiferroelectric Mixtures with a High Tilt Angle. Phys. Rev. E 2022, 105, 024705. [Google Scholar] [CrossRef] [PubMed]
- Żurowska, M.; Morawiak, P.; Piecek, W.; Czerwiński, M.; Spadło, A.; Bennis, N. A New Mesogenic Mixture with Antiferroelectric Phase Only at a Broad Temperature Range. Liq. Cryst. 2016, 43, 1365–1374. [Google Scholar] [CrossRef]
- Żurowska, M.; Dąbrowski, R.; Dziaduszek, J.; Garbat, K.; Filipowicz, M.; Tykarska, M.; Rejmer, W.; Czupryński, K.; Spadło, A.; Bennis, N.; et al. Influence of alkoxy chain length and fluorosubstitution on mesogenic and spectral properties of high tilted antiferroelectric esters. J. Mater. Chem. 2011, 21, 2144–2153. [Google Scholar] [CrossRef]
- Lalik, S.; Deptuch, A.; Fryń, P.; Jaworska–Gołąb, T.; Dardas, D.; Pociecha, D.; Urbańska, M.; Tykarska, M.; Marzec, M. Systematic Study of the Chiral Smectic Phases of a Fluorinated Compound. Liq. Cryst. 2019, 46, 2256–2268. [Google Scholar] [CrossRef]
- Deptuch, A.; Drzewicz, A.; Dziurka, M.; Górska, N.; Hooper, J.; Jaworska-Gołąb, T.; Juszyńska-Gałązka, E.; Marzec, M.; Piwowarczyk, M.; Srebro-Hooper, M.; et al. Influence of fluorosubstitution on physical properties of the smectogenic chiral ester. Mater. Res. Bull. 2022, 150, 111756. [Google Scholar] [CrossRef]
- Drzewicz, A.; Jasiurkowska-Delaporte, M.; Juszyńska-Gałązka, E.; Deptuch, A.; Gałązka, M.; Zając, W.; Drzewiński, W. On Relaxation and Vibrational Dynamics in the Thermodynamic States of a Chiral Smectogenic Glass-Former. Phys. Chem. Chem. Phys. 2022, 24, 4595–4612. [Google Scholar] [CrossRef]
- Drzewicz, A.; Juszyńska-Gałązka, E.; Jasiurkowska-Delaporte, M.; Kula, P. Insight into Cold- and Melt Crystallization Phenomena of a Smectogenic Liquid Crystal. CrystEngComm 2022, 24, 3074–3087. [Google Scholar] [CrossRef]
- Drzewicz, A.; Juszyńska-Gałązka, E.; Zając, W.; Piwowarczyk, M.; Drzewiński, W. Non-Isothermal and Isothermal Cold Crystallization of Glass-Forming Chiral Smectic Liquid Crystal (S)-4′-(1-Methyloctyloxycarbonyl) Biphenyl-4-Yl 4-[7-(2,2,3,3,4,4,4-Heptafluorobutoxy) Heptyl-1-Oxy]-Benzoate. J. Mol. Liq. 2020, 319, 114153. [Google Scholar] [CrossRef]
- Drzewicz, A.; Jasiurkowska-Delaporte, M.; Juszyńska-Gałązka, E.; Zając, W.; Kula, P. On the Relaxation Dynamics of a Double Glass-Forming Antiferroelectric Liquid Crystal. Phys. Chem. Chem. Phys. 2021, 23, 8673–8688. [Google Scholar] [CrossRef] [PubMed]
- Drzewicz, A.; Jasiurkowska-Delaporte, M.; Juszyńska-Gałązka, E.; Gałązka, M.; Zając, W.; Kula, P. Effect of High Pressure on Relaxation Dynamics and Crystallization Kinetics of Chiral Liquid Crystal in Its Smectic Phase. Phys. Chem. Chem. Phys. 2021, 23, 17466–17478. [Google Scholar] [CrossRef]
- Deptuch, A.; Marzec, M.; Jaworska-Gołąb, T.; Dziurka, M.; Hooper, J.; Srebro-Hooper, M.; Fryń, P.; Fitas, J.; Urbańska, M.; Tykarska, M. Influence of Carbon Chain Length on Physical Properties of 3FmHPhF Homologues. Liq. Cryst. 2019, 46, 2201–2212. [Google Scholar] [CrossRef]
- Honda, A.; Hibi, Y.; Matsumoto, K.; Kawai, M.; Miyamura, K. Alkyl Substituent-Dependent Systematic Change in Cold Crystallization of Azo Molecules. RSC Adv. 2022, 12, 7229–7236. [Google Scholar] [CrossRef] [PubMed]
- Milewska, K.; Drzewiński, W.; Czerwiński, M.; Dąbrowski, R. Design, Synthesis and Mesomorphic Properties of Chiral Benzoates and Fluorobenzoates with Direct SmCA*-Iso Phase Transition. Liq. Cryst. 2015, 42, 1601–1611. [Google Scholar] [CrossRef]
- Osiecka, N.; Galewski, Z.; Massalska-Arodź, M. TOApy Program for the Thermooptical Analysis of Phase Transitions. Thermochim. Acta 2017, 655, 106–111. [Google Scholar] [CrossRef]
- Rodríguez-Carvajal, J. Recent Advances in Magnetic Structure Determination by Neutron Powder Diffraction. Phys. B Condens. Matter 1993, 192, 55–69. [Google Scholar] [CrossRef]
- Kolek, Ł.; Massalska-Arodź, M.; Paluch, M.; Adrjanowicz, K.; Rozwadowski, T.; Majda, D. Dynamics in ferro- and antiferroelectric phases of a liquid crystal with fluorinated molecules as studied by dielectric spectroscopy. Liq. Cryst. 2013, 40, 1082–1088. [Google Scholar] [CrossRef]
- Wunderlich, B. A classification of molecules, phases, and transitions as recognized by thermal analysis. Termochim. Acta 1999, 340–341, 37–52. [Google Scholar] [CrossRef]
- Horiuchi, K.; Yamamura, Y.; Pełka, R.; Sumita, M.; Yasuzuka, S.; Massalska-Arodź, M.; Saito, K. Entropic contribution of flexible terminals to mesophase formation revealed by thermodynamic analysis of 4-alkyl-4′-isothiocyanatobiphenyl (nTCB). J. Phys. Chem. B 2010, 114, 4870–4875. [Google Scholar] [CrossRef]
- Jasiurkowska-Delaporte, M.; Juszyńska, E.; Kolek, Ł.; Krawczyk, J.; Massalska-Arodź, M.; Osiecka, N.; Rozwadowski, T. Signatures of glass transition in partially ordered phases. Liq. Cryst. 2013, 40, 1436–1442. [Google Scholar] [CrossRef]
- Brand, R.; Lunkenheimer, P.; Loidl, A. Relaxation dynamics in plastic crystals. J. Chem. Phys. 2002, 116, 10386–10401. [Google Scholar] [CrossRef]
- Osiecka, N.; Juszyńska-Gałązka, E.; Galewski, Z.; Jaworska-Gołąb, T.; Deptuch, A.; Massalska-Arodź, M. Insight into polymorphism of the ethosuximide (ETX). J. Therm. Anal. Calorim. 2018, 133, 961–967. [Google Scholar] [CrossRef]
- Demus, D.; Goodby, J.; Gray, G.W.; Spiess, H.W.; Vill, V. Handbook of Liquid Crystals. Vol. 1: Fundamentals; Wiley-VCH Verlag GmbH: Weinheim, Germany, 1998. [Google Scholar]
- Simova, P.; Kirov, N.; Fontana, M.P.; Ratajczak, H. Atlas of Vibrational Spectra of Liquid Crystals; World Scientific: Singapore, 1988; ISBN 978-9971-5-0613-1. [Google Scholar]
- Drzewicz, A.; Juszyńska-Gałązka, E.; Zając, W.; Kula, P. Vibrational Dynamics of a Chiral Smectic Liquid Crystal Undergoing Vitrification and Cold Crystallization. Crystals 2020, 10, 655. [Google Scholar] [CrossRef]
- Baird, J.A.; Van Eerdenbrugh, B.; Taylor, L.S. A Classification System to Assess the Crystallization Tendency of Organic Molecules from Undercooled Melts. J. Pharm. Sci. 2010, 99, 3787–3806. [Google Scholar] [CrossRef]
- Henderson, D.W. Thermal Analysis of Non-Isothermal Crystallization Kinetics in Glass Forming Liquids. J. Non. Cryst. Solids 1979, 30, 301–315. [Google Scholar] [CrossRef]
- Ozawa, T. Kinetics of Non-Isothermal Crystallization. Polymer 1971, 12, 150–158. [Google Scholar] [CrossRef]
- Rozwadowski, T.; Massalska-Arodź, M.; Kolek, Ł.; Grzybowska, K.; Bąk, A.; Chłędowska, K. Kinetics of Cold Crystallization of 4-Cyano-3-Fluorophenyl 4-Butylbenzoate (4CFPB) Glass Forming Liquid Crystal. I. Nonisothermal Process As Studied by Microscopic, Calorimetric, and Dielectric Methods. Cryst. Growth Des. 2015, 15, 2891–2900. [Google Scholar] [CrossRef]
- Liu, T.; Mo, Z.; Wang, S.; Zhang, H. Nonisothermal Melt and Cold Crystallization Kinetics of Poly(Aryl Ether Ether Ketone Ketone). Polym. Eng. Sci. 1997, 37, 568–575. [Google Scholar] [CrossRef]
- Massalska-Arodź, M.; Williams, G.; Thomas, D.K.; Jones, W.J.; Dąbrowski, R. Molecular Dynamics and Crystallization Behavior of Chiral Isooctyloxycyanobiphenyl as Studied by Dielectric Relaxation Spectroscopy. J. Phys. Chem. B 1999, 103, 4197–4205. [Google Scholar] [CrossRef]
- Sencadas, V.; Costa, C.M.; Gómez Ribelles, J.L.; Lanceros-Mendez, S. Isothermal Crystallization Kinetics of Poly(Vinylidene Fluoride) in the α-Phase in the Scope of the Avrami Equation. J. Mater. Sci. 2010, 45, 1328–1335. [Google Scholar] [CrossRef]
- Kissinger, H.E. Variation of Peak Temperature with Heating Rate in Differential Thermal Analysis. J. Res. Natl. Bur. Stand. 1956, 57, 217. [Google Scholar] [CrossRef]
- Augis, J.A.; Bennett, J.E. Calculation of the Avrami Parameters for Heterogeneous Solid State Reactions Using a Modification of the Kissinger Method. J. Therm. Anal. 1978, 13, 283–292. [Google Scholar] [CrossRef]
- Jasiurkowska-Delaporte, M.; Rozwadowski, T.; Juszyńska-Gałązka, E. Kinetics of Non-Isothermal and Isothermal Crystallization in a Liquid Crystal with Highly Ordered Smectic Phase as Reflected by Differential Scanning Calorimetry, Polarized Optical Microscopy and Broadband Dielectric Spectroscopy. Crystals 2019, 9, 205. [Google Scholar] [CrossRef]
- Tykarska, M.; Czerwiński, M.; Drzewicz, A. Effect of Molecular Structure and Temperature on the Helical Pitch and Handedness in Antiferroelectric Liquid Crystalline Phase. J. Mol. Liq. 2019, 292, 110379. [Google Scholar] [CrossRef]










Publisher’s Note: MDPI stays neutral with regard to jurisdictional claims in published maps and institutional affiliations. |
© 2022 by the authors. Licensee MDPI, Basel, Switzerland. This article is an open access article distributed under the terms and conditions of the Creative Commons Attribution (CC BY) license (https://creativecommons.org/licenses/by/4.0/).
Share and Cite
Drzewicz, A.; Juszyńska-Gałązka, E.; Deptuch, A.; Kula, P. Effect of Alkyl Chain Length on the Phase Situation of Glass-Forming Liquid Crystals. Crystals 2022, 12, 1401. https://doi.org/10.3390/cryst12101401
Drzewicz A, Juszyńska-Gałązka E, Deptuch A, Kula P. Effect of Alkyl Chain Length on the Phase Situation of Glass-Forming Liquid Crystals. Crystals. 2022; 12(10):1401. https://doi.org/10.3390/cryst12101401
Chicago/Turabian StyleDrzewicz, Anna, Ewa Juszyńska-Gałązka, Aleksandra Deptuch, and Przemysław Kula. 2022. "Effect of Alkyl Chain Length on the Phase Situation of Glass-Forming Liquid Crystals" Crystals 12, no. 10: 1401. https://doi.org/10.3390/cryst12101401
APA StyleDrzewicz, A., Juszyńska-Gałązka, E., Deptuch, A., & Kula, P. (2022). Effect of Alkyl Chain Length on the Phase Situation of Glass-Forming Liquid Crystals. Crystals, 12(10), 1401. https://doi.org/10.3390/cryst12101401

