You are currently viewing a new version of our website. To view the old version click .
Crystals
  • Article
  • Open Access

2 October 2022

Effect of Basicity on the Reduction Swelling Performance of Pellets Prepared from Bayan Obo Iron Ore Concentrate Based on Microscopic Characterization

,
,
,
,
,
and
1
School of Materials and Metallurgy, Inner Mongolia University of Science and Technology, Baotou 014010, China
2
State Key Laboratory of Advanced Metallurgy, University of Science and Technology Beijing, Beijing 100083, China
*
Author to whom correspondence should be addressed.
This article belongs to the Topic Iron Concentrate Particles

Abstract

The development of blast furnace smelting technology with a high proportion of pellets is an important means for improving the utilization rate of complex co-associated mineral resources. The effect of basicity on the reduction swelling performance of pellets prepared from Bayan Obo iron ore concentrate is characterized by the aspects of microscopic morphology, element distribution and weight-loss behavior. The results show that with the increase in basicity, the reduction swelling rate and the weight-loss rate of pellets follows the change rule by first increasing and then decreasing. With a basicity of 0.8, the pellets have the largest swelling rate (75.743%) and the largest weight-loss rate (24.77%). The reduction swelling rate is proportional to the porosity and inversely proportional to the amount-of-liquid phase. In the first stage of reduction, pellets with a basicity of 0.8 changed from tabular to granular, and there were a large number of cracks. In the third stage of reduction, pellets with a basicity of 0.8 had coarse iron whiskers. In the same reduction stage, the amount of K and Na elements in the pellets with a basicity of 0.8 entering the iron oxide lattice was much larger than that in the pellets with a different basicity. As the reduction progresses, the ability of alkali metals to enter the iron oxide gradually increases.

1. Introduction

According to statistics from the World Steel Association, global hot metal production has grown rapidly in recent years. In 2021, global hot metal production will reach 1.354 billion tons, a year-on-year increase of 0.89%. Though hot metal production in the steel industry is increasing year on year, CO2 emissions from the steel industry are also increasing [1,2]. In the entire iron and steel production process, CO2 emissions generated in the ironmaking process account for more than 70% of the entire process. In addition, there are many problems in the ironmaking process, such as high energy consumption and many types of waste [3]. Among the existing optimization methods, increasing the application rate of pellets in blast furnaces is one of the feasible methods [4]. The advantages of using a large proportion of pellets in a blast furnace are obvious [5]: low energy consumption in the process, less pollutant discharge, a low blast furnace slag rate, a low fuel rate, and a high gas utilization rate. The survey results in [6] show that for the process energy consumption of pellets, the emissions of soot, SO2, NOx and CO2 account for about 50.0%, 27.0%, 26.1%, 45.9% and 49.7% of the sinter process.
The development of blast furnace smelting technology with a high proportion of pellets can help to improve the utilization rate of complex and associated mineral resources and to realize the greening of the entire iron and steel production process; it is an important goal for the energy saving and emission reduction of the iron and steel industry to achieve source reduction. The Bayan Obo Mine is a multi-element co-associated deposit mainly composed of iron, rare earth and niobium. The mining area is distributed in a narrow and long belt with a length of 16 km, a width of 3 km and an area of 48 km2. From west to east, according to the occurrence of iron ore bodies, it is divided into five ore sections [7]. Dolomite, neolithic, fluorite and potassium-rich slate are found in the Bayan Obo iron ore concentrate [8]. After years of unremitting efforts of beneficiation workers, the iron content of Bayan Obo iron ore concentrate has reached more than 65% [9]. In addition, there are K, Na, F and other harmful elements in ironmaking [10], which are used in a high proportion in the production of pellets, and the pellets obtained have a high reduction swelling rate. Therefore, in the actual production of Baotou Iron and Steel Group (Baotou, China), the addition proportion from the Bayan Obo mine cannot exceed 40% [11]. For a long time, Baotou Steel has relied on buying a large amount of foreign ores to suppress the reduction swelling of the pellets to meet the blast furnace production requirements. The issue of reducing the reduction swelling of the pellets produced from the Bayan Obo Mine has become an urgent problem for Baotou Steel.
Many scholars have conducted in-depth research on the reduction and swelling of pellets and found that basicity has a regulating effect on the reduction and swelling of pellets [12,13]. Zhao et al. found that the precipitation behavior of iron whiskers mainly depends on the reduction rate, and Ca2+ can effectively control the reduction rate, which in turn controls the growth of iron whiskers [14]. Guo et al. pointed out in their study that the difference in the composition of the binding phase resulted in different swelling rates of pellets with different basicity [15]. The main binding phase in pellets with a basicity below 1.0 is calcium iron silicate, and the main binding phase in pellets with a basicity above 1.0 is composite calcium ferrite (SFCA). Zhang et al. found that when the basicity of pellets increased from 0.3 to 0.8, the reduction swelling rate increased continuously, and when the basicity increased from 0.8 to 1.2, the swelling rate decreased [16]. Wang et al. showed that the increase in SiO2 only changed the distribution of nucleation points, but did not change the number of iron whiskers and could not reduce the swelling rate [17]. The increase in CaO will increase the number of nucleation sites, resulting in a large number of iron whiskers but a small volume, thereby reducing the swelling rate. It can be found in the research above that the reductive swelling rate of pellets first increased and then decreased with the increase in basicity, which indicated that basicity had a regulating effect on the reductive swelling of pellets.
In this paper, seven kinds of pellets with different basicities were prepared by adding different contents of CaO pure reagents to the Bayan Obo iron ore concentrate. The change law of reduction swelling performance of pellets with different basicity was studied, the microstructure was observed by mineral phase microscope and scanning electron microscope, the distribution of elements was observed by energy-dispersive spectrometer, and the change in its weight-loss curve was analyzed. The regulation mechanism of alkalinity on the reduction expansion performance of Bayan Obo iron concentrate pellets is explained. The research results are conducive to improving the reduction and swelling theory of pellets and provide more theoretical support for the smelting of special ores.

2. Materials and Methods

2.1. Materials

The raw materials used in the experiment are Bayan Obo iron ore concentrate (Baotou Iron and Steel Group, Baotou, China), bentonite used in the blast furnace of the Baotou Iron and Steel Group and pure CaO reagent. The chemical compositions of the Bayan Obo iron ore concentrate and the bentonite are shown in Table 1.
Table 1. Chemical composition of raw materials/wt%.

2.2. Methods

2.2.1. Raw Material Pretreatment and Mixing Calculation

The Bayan Obo iron ore and bentonite were dried at 105 °C for 1.5 h in a drying oven, and the dried materials were sieved to less than 0.074 mm. The additional amount of bentonite was determined to be 2.5% based on the spheroidization index of Bayan Obo iron ore by consulting relevant literature [18]. According to the content of calcium and silicon in Bayan Obo iron ore concentrate and bentonite and the actual production situation, the required basicity (CaO/SiO2) of this experiment was 0.4, 0.6, 0.8, 1.0, 1.2, 1.4 and 1.6, respectively. The pellets prepared with different basicity were named 1#, 2#, 3#, 4#, 5#, 6# and 7#. The preparation method of pellets with different basicity is to add different contents of CaO pure reagents into Bayan Obo iron ore concentrate. Table 2 shows the proportions of various materials of pellets prepared from Bayan Obo iron ore concentrate with different basicity calculated.
Table 2. The rate of various materials of pellets with different basicity/%.
Electronic balance was used to accurately weigh the materials and load them into the mixing tank according to the data in Table 2. The mixing tank was then placed on the mixer and rotated for 3h so that all the materials could be uniformly mixed for subsequent pelletizing.

2.2.2. Pelletizing and Roasting

Pelletizing was carried out using a disc pelletizing machine with a rotational speed of 30 rpm. Deionized water that does not contain any impurities is used in pelleting. Green pellets with a diameter of 10–12 mm were screened out. After testing the drop strength, burst temperature and compressive strength, qualified green pellets with a drop strength not lower than four times/0.5 m, a burst temperature not lower than 350 °C and compressive strength not lower than 10 N/P were selected. Qualified green pellets were first put into a high-temperature box furnace for blast drying and exhaust-air drying to remove the moisture in the green balls. Thereby, the phenomenon of pellets cracking due to the lack of evaporation of the moisture inside the pellet is reduced. The temperatures of blast drying and suction drying were 180 °C and 310 °C, respectively, and the times were 4 min and 5 min, respectively. Then, the pellets were put into a three-stage high-temperature tube furnace (Risine High Temperature Technology Co., Ltd, Hefei, China) for roasting, and the roasting system is shown in Table 3. Considering that the reaction of the pellets during the roasting process is an oxidation reaction, the atmosphere of the pellets during the roasting process is therefore an air atmosphere. All temperatures mentioned in Table 3 are from the actual production data of the enterprise.
Table 3. Parameters of each stage of pellet roasting.
When the temperature dropped below 100 °C, the pellets were taken out, and those without cracks were selected to test their compressive strength. The reductive swelling experiments of the pellets were then carried out.

2.2.3. Reduction of Pellets

Based on the gas phase equilibrium diagram of the CO reduction of iron oxides [19], CO concentration, CO2 concentration and the reduction temperature in three reduction stages were determined as shown in Table 4. A flow chart of the three stages of pellet reduction is shown in Figure 1.
Table 4. Parameters of three stages of pellet reduction.
Figure 1. Flow chart for the reduction swelling experiment of pellets.
An optical high-temperature deformation analyzer (TA-Z16A01 Tianjin Zhonghuan Furnace Corp., Tianjin, China) was used to record the volume change in the pellets during the reduction process. As shown in Figure 2, the camera on the instrument can periodically obtain images of the pellets and store them in the computer. Image recognition software was used to calculate the area of the pellets in the captured image. The size of the reduction swelling of the pellets during the reduction process was characterized according to the change in the area. The formula for the reduction swelling rate is shown in Formula (1):
R S I = Δ S S 0 × 100 % = S t S 0 S 0 × 100 %
Figure 2. Schematic diagram of the measuring device for the reduction swelling performance of pellets. 1—computer; 2—gas cylinder; 3—flow controller; 4—optical high-temperature deformation analyzer; 5—LED light; 6—pellet sample; 7—camera.
In the formula, ΔS is the change in the pellet area at time t, cm2; S0 is the initial area of the pellet, cm2; St is the area of the pellet at time t, cm2.

2.3. Analysis and Characterization

2.3.1. Analysis of Mineral Phase

An Axio-Imager mineral phase microscope (ZEISS Group, Oberkochen, Germany ) was used to observe the phases on the surface of the calcined pellet samples and obtain images. Four images were taken for each pellet sample, namely, of the four regions, (a), (b), (c) and (d), shown in Figure 3. The selection of the field of view follows the following principles [20]: the edge position (a), the center position (d) and the two trisection points (b) and (c) of the line connecting the edge and the center. Analysis software (Micro-image Analysis and Process version 2.0) supporting the instrument was used for binarization to obtain the area rate of the main phases in each image. The area ratio of each phase is used to characterize the amount of its generation.
Figure 3. Schematic diagram of selection of ore phase field of view of pellet cross-section.

2.3.2. Analysis of Thermogravimetric

The main equipment used for the pellet thermogravimetric experiment is a TFD-1100 thermogravimetric vertical furnace (Figure 4) (Anhui Kemi Instrument Co., Ltd., Hefei, China). The calcined pellets were put into the thermogravimetric vertical furnace, and the heating system and reduction parameters were carried out as shown in Figure 1. The same test procedure was used for reduction swelling experiments and thermogravimetric experiments to ensure the uniformity of variables, because the reduction swelling experiment analyzes the volume change in the pellets during the reduction process, and the thermogravimetric experiment analyzes the mass change in the pellets during the reduction process. In addition, one pellet was used for each test, and a sample holder was provided with thermogravimetric experimental equipment (its main material is quartz). In the pre-experimental stage, the reproducibility of the thermogravimetric data was good. Therefore, repeated experiments were not carried out in this paper.
Figure 4. Schematic diagram of the apparatus for thermogravimetric experiment of pellets. 1—computer; 2—gas cylinder; 3—controller; 4—gas flow control interface; 5—temperature control interface; 6—pellet sample; 7—vertical furnace heating furnace body; 8—electronic balance.
The kinetic behavior of pellets with different basiciiesy is characterized by the weight change during the reduction process. Therefore, the relationship between the kinetic behavior of the pellet reduction process and the reduction swelling was obtained.

2.3.3. Analysis of SEM and Its Energy-Dispersive Spectrum

The Sigma-300 field emission scanning electron microscope (SEM) (ZEISS Group, Oberkochen, Germany) was used to observe the microstructure of the reduced pellets, and an energy-dispersive spectrometer (EDS) (ZEISS Group, Oberkochen, Germany) was used to analyze the element content and distribution of each pellet. Before SEM analysis, the pellets should be ground, polished, and sprayed with gold before observation.

3. Results and Discussion

Table 5 shows the reduction swelling rate of pellets with different basicities obtained by using a visual high-temperature deformation analyzer. With the increase in basicity, the reduction swelling rate of the pellets first increased and then decreased. When the basicity is 0.8, the swelling rate reaches the maximum, which is 75.743%. Considering the iron grade and reduction swelling rate of pellets with different basicities, the optimum basicity for preparing flux pellets is 1.4.
Table 5. Reduction swelling data of pellets with different basicities at different stages/%.

3.1. Analysis of Mineral Phase

Figure 5 shows the mineral phase diagram of roasted pellets with different basicities. It can be seen from the figure that the main phases of the pellets are hematite, porouss, silicate liquid phase and a trace amount of magnetite. As the shooting field of view is from the edge to the center of the pellet, that is, from (a) → (d), it is easier to find the magnetite phase in the mineral phase photos. The Fe2O3 crystal structure formed at the edge of the pellets is dense and has less pores, whereas the Fe2O3 crystal structure formed at the center is looser. This shows that the transformation of magnetite to hematite and the crystallization behavior of hematite proceed from outside to inside during the roasting process of the pellets, because the diffusion of oxygen and the transfer of heat move from the edge to the center.
Figure 5. Mineral phase diagram of sample with different basicity. H—hematite; M—magnetite; S—liquid phase; P—porosity.
With the increase in basicity, the recrystallization ability of the hematite first decreases and then increases. The most important mechanism in the consolidation process of the pellets is bridging consolidation [21]. Fe3O4 undergoes crystal transformation during oxidative roasting to form Fe2O3 microcrystals. As the calcination temperature gradually increases, these crystallites grow, develop and interconnect to form crystallite bridges, which can connect the surrounding particles together. When the calcination temperature reaches above 1100 °C, the Fe3O4 is completely oxidized, and the resulting crystallites will recrystallize, so that the separated crystallites are connected into sheets, and finally, a complete Fe2O3 crystal is formed. In this process, the pellets obtain the highest degree of oxidation and great mechanical strength.
The combined of the reduction swelling law of pellets with different basicities is obtained in Table 5. The reduction swelling rate of samples 1# and 7# was relatively low. In the corresponding photos of the mineral phase of the pellets, Fe2O3 crystals were connected into sheets, indicating that the degree of connection between crystals was high, and the crystal bridges were well developed. The pore distribution of the pellets is concentrated; the pores are small in number and large in volume, and the structure of the pellets is dense. Such a pellet structure can minimize the stress of reduction swelling, which is beneficial to resisting the swelling behavior of the pellets during the reduction process [22]. The reduction swelling rate of 3# and 4# samples is higher, and the Fe2O3 crystals have a poor degree of connection and a weak connection in their corresponding pellet ore phase photos. Fe2O3 grains remain isolated and dispersed, and they are distributed alternately with pores. The porosity of the pellets is characterized by a large number, scattered distribution and uneven volume.
In order to further understand the composition of each phase of the pellet sample, the analysis software Micro-image Analysis and Process was used to calculate the generation amount of the main phases of each image, as shown in Table 6.
Table 6. Generation of each phase of roasted pellets with different basicity/%.
In order to more intuitively describe the change law of each phase of the pellets with different basicities during the roasting process and the relationship with the pellets’ swelling rate, the data in Table 5 and Table 6 are drawn as Figure 6. With the increase in basicity, the porosity is proportional to the reduction swelling rate of the pellets, and the generation-of-liquid phase is inversely proportional to the reduction swelling rate of the pellets. In other words, with the increase in basicity, the reduction swelling rate of the pellets as well as their porosity gradually increase, and the generation-of-liquid phase gradually decreases. When the basicity is 0.8, the porosity is the largest, which is 56.78%; the generation-of-liquid phase is the smallest, which is 9.94%.
Figure 6. The relationship between the area rate of each phase and the swelling rate of pellet samples with different basicities.
This shows that the reduction swelling rate of the pellets has a direct relationship with the liquid phase and porosity. An appropriate amount of the liquid phase will promote the consolidation of the pellets [23], because the generation-of-liquid phase will accelerate the diffusion of crystalline particles, thereby promoting the growth rate of the Fe2O3 crystals. The surface tension of the liquid melt causes the ore particles to move closer together, reducing porosity and densifying the pellets.
In addition, with the increase in basicity, the area proportion of Fe2O3 gradually increases. The change in the area rate of Fe3O4 is not large, and the overall trend is gradually decreasing. Because SiO2 mainly comes from Bayan Obo ore and bentonite, the dosage of bentonite is fixed. With the increase in basicity, the additional amount of Bayan Obo mine gradually decreases, so the amount of SiO2 decreases gradually. Too much SiO2 will react with Fe3O4 to form a low-melting liquid phase, so that the oxidation of Fe3O4 is incomplete.
When performing an analysis of the mineral phase, the surface occupied by the porosity can alter the real amount of iron oxide available in the pellets, adding a bias to the discussion of the other results. Therefore, this paper quantifies the mineral phases in the pellets by using XRD. In this way, the effect of porosity can be avoided and the correct amount of available FeOx and liquid phase can be detected, and the calculation results are shown in Table 7. It can be seen from Table 7 that with the increase in basicity, the change rule of the silicate liquid phase is to decrease first and then increase, reaching the minimum when the basicity is 0.8. Obviously, the calculated results of the XRD analysis are consistent with the results of the mineral phase analysis.
Table 7. The fraction of FeOx and Silicate liquid phase.

3.2. Analysis of the Weight-Loss Behavior in the Reduction Process of Pellets

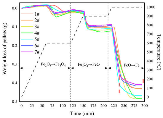
The weight-loss curve diagram of pellet samples with different basicities is shown in Figure 7. With the progress in the reduction reaction, on the whole, the weight-loss rate of the pellets increases step-by-step. However, in the first stage of pellet reduction, the mass of the pellets increases, which may be due to the deposition of carbon [24].
Figure 7. The respective weight of pellet samples with different basicities.
Studies have shown [25] that the diffusion of alkali metals into the iron oxide lattice can expand the ion channels of the reactants and reduce the activation energy of the interfacial reduction reaction, thereby speeding up the interfacial reduction reaction. Therefore, by comparing and observing the occurrence state of alkali metals in iron oxides in pellet samples with different basicities, the difference in the weight loss and weight-loss rate of pellets with different basicities can be explained. The analysis of this explanation will be explained in detail in Section 3.3.
Figure 7 is the raw data of the weight-loss behavior in the reduction process of the pellets. The data regarding the weight loss in pellets extracted from Figure 7 are recorded in Table 8, and the data regarding the weight-loss rate of the pellets extracted from Figure 7 are drawn as Figure 8. Formulas (2)–(5) are the calculation formulas of the weight-loss rate and the total weight-loss rate of the pellets in the three stages with different basicities in Figure 8.
Table 8. Pellet samples with different basicities lose weight at each stage of reduction/g.
Figure 8. Histogram of weight-loss rate in different reduction stages of pellet samples with different basicities.
It can be found from the Figure 8 that with the increase in basicity, the total weight-loss rate increases first and then decreases. Among the samples, the total weight-loss rate of 3# is the largest, reaching 24.77%. The total weight-loss rate of the 7# sample is the smallest, at only 23.61%. Per the weight-loss rate of each stage, all pellet samples showed the phenomenon that the weight-loss rate of the third stage was much higher than that of the other two stages. This shows that the reduction reaction of the pellets is mainly completed in the third stage.
I   WLR = ( m 0 m 1 m 0 ) × 100 %
II   WLR = ( m 1 m 2 m 0 ) × 100 %
III   WLR = ( m 2 m 3 m 0 ) × 100 %
TWLR = ( m 0 m 1 m 0 ) × 100 %
In the formula, ⅠWLR is weight-loss rate in the first stage, %; ⅡWLR is weight-loss rate in the second stage, %; ⅢWLR is weight-loss rate in the third stage, %; TWLR is total weight-loss rate, %; m0 is the weight of initial sample, g; m1 is the weight of the sample after the first stage of reduction, g; m2 is weight of the sample after the second stage of reduction, g; m3 is weight of the sample after the third stage of reduction, g.

3.3. Analysis of SEM and Its Energy-Dispersive Spectrum

In order to better explore the microstructure changes in pellets during the reduction process, combined with the reduction expansion laws of pellets with different basicities obtained in Table 4, the basicity is divided into three gradients: low basicity (0.4–0.6), medium basicity (0.8–1.2) and high basicity (1.4–1.6). We selected 0.4 (1#), 0.8 (3#) and 1.6 (7#) from the three gradients as representative of the three basicity gradients for our research. The microstructure diagrams of the three reduction stages of the 1#, 3# and 7# samples are listed in Figure 9, Figure 10 and Figure 11.
Figure 9. SEM images of the first reduction stage of iron oxides with different basicities.
Figure 10. SEM images of the second reduction stage of iron oxides with different basicities.
Figure 11. SEM images of the third reduction stage of iron oxides with different basicities.
Comparing the three basicity samples in Figure 9, the microscopic morphology of the 1# and 7# samples is dominated by plate-like crystals, the structure is dense, and the Fe3O4 crystal has fewer internal cracks. The microscopic morphology of the 3# sample has a tendency to change from a plate-like crystal form to a granular crystal form, especially in the red square area. There are many small Fe3O4 crystal particles, and the number of cracks is significantly more than that of the 1# and 7# sample. The lattice parameters of Fe2O3 and Fe3O4 are presented in Table 9 [24]. The main reason for the swelling in the first stage of reduction is because of the crystal transformation. The lattice constant of the equiaxed crystal system is larger than that of the trigonal crystal system, so the pellets swell and crack due to the increase in crystal volume during the transformation from hematite to magnetite. Combined with the above Section 3.2, the weight-loss rate of the 3# sample in the first stage is the largest. The reason the 3# sample has a more severe weight-loss rate is that the reduction reaction of the 3# sample is faster, which makes the reduction swelling rate caused by the crystal transformation higher.
Table 9. Lattice parameter of Fe2O3 and Fe3O4.
Microscopic topography of the second reduction stage of the iron oxides is shown in Figure 10. Compared with Figure 9, from the topographic images of the three samples in Figure 10, there are different amounts of silicate liquid phase (the optical reflection color of the liquid phase in the photograph is tile gray or dark gray [22]). According to the reference in [26], the main components of these liquid phases are fayalite (2FeO·SiO2) and kirschsteinite (CaO·FeO·SiO2), which also contain some multi-component mutual solutions (Ca, K, Na, Al, Mg and other elements). The elements in the mutual solution will be dissolved in the FeO lattice to form a substitutional solid solution, which makes FeO incur lattice defects or even lattice distortion, thereby promoting the uneven nucleation of FeO and creating conditions for the growth of iron whiskers. In addition, compared with the pellets in the first stage of reduction, the iron matrix of the 1# and 3# samples after the reduction in the second stage was damaged to different degrees, the crystal size was significantly reduced, and the porosity was increased. Among the samples, the iron matrix of the 3# sample is more serious (as shown in the orange box). However, the iron matrix of the 7# sample is still relatively complete, and the structural characteristics of the plate-like crystal form can still be maintained.
Figure 11 shows the SEM images of the third reduction stage of samples 1#, 3# and 7#. In the SEM images of the 1# and 7# samples, a variable amount of spherical metallic iron was observed (iron has a high reflectivity, and the optical reflection color observed under the microscope is white or light gray, with no internal reflection [27]). However, coarse iron whiskers (indicated by the yellow box) were observed in the SEM image of the 3# sample. The growth direction of most iron whiskers is toward the corner and edge of the crystal, because the crystal structure of these positions is loose, which makes the growth of iron whiskers easy. The appearance of iron whiskers will lead to the loosening of the structure of the pellets, resulting in a sharp increase in the volume of the pellets.
Figure 12, Figure 13 and Figure 14 show the energy-dispersive spectrum of the three stages of reduction in samples 1#, 3# and 7#. They mainly describe the enrichment of each element on the surface of the pellets, and they focus on the observation of whether the distribution of other elements and Fe overlaps [28]. Because the dynamic equilibrium between the crystals is maintained due to the existence of the interacting gravitational field, the introduction of other elements (especially the alkali metal elements K and Na) will break this equilibrium. Alkali metal elements have larger ionic radii (the ionic radius of Fe3+ is 64.5 pm, the ionic radius of Na+ is 102 pm, and the ionic radius of K+ is 138 pm). It is difficult for them to diffuse uniformly in the tightly packed crystal, which increases the lattice constant of the crystal and causes the distortion and distortion of the crystal, resulting in abnormal deformation energy, and its external manifestation is the generation of internal stress. Pellets need to release internal stress through volume swelling, thereby reducing their own energy and re-converting to a stable state [29].
Figure 12. Energy-dispersive spectrum of the first reduction stage of iron oxides with different basicities.
Figure 13. Energy-dispersive spectrum of the second reduction stage of iron oxides with different basicities.
Figure 14. Energy-dispersive spectrum of the third reduction stage of iron oxides with different basicities.
Combining the three graphs in Figure 12, Figure 13 and Figure 14, it can be found that, first of all, the distribution areas of Ca and Si elements mostly overlap and are inlaid with Fe elements, indicating that the slag phase formed around iron oxides is mainly composed of Ca and Si elements. Secondly, in the same reduction stage, the amount of K and Na elements entering the iron oxide lattice in the 3# sample is much larger than that of 1# and 7#. This also explains why the weight-loss rate of the 3# sample is the largest in Section 3.2. Finally, comparing the three reduction stages of the same sample, it is found that the alkali metals rarely enter the Fe3O4 lattice and are scattered on the surface of the pellet sample. In the second stage of reduction, the surface density of alkali metals in the pellet samples increases, which indicates that alkali metals easily enter the FeO lattice. With the reduction of FeO to Fe, the amount of alkali metal entry increases sharply, which promotes the distortion and distortion of the iron oxide crystal.

4. Conclusions

(1) With the increase in basicity, the swelling of pellets first increases and then decreases. It reaches its maximum at a basicity of 0.8 at 75.743%. Considering the iron grade and reduction swelling rate of pellets with different basicities, the optimum basicity for preparing flux pellets is 1.4.
(2) With the increase in basicity, the recrystallization ability of hematite first decreases and then increases. The reduction swelling rate and porosity of the pellets gradually increases, and the generation-of-liquid phase gradually decreases. When the basicity is 0.8, the porosity reaches the maximum, which is 56.78%, and the generation amount of the liquid phase is at the minimum, which is 9.94%.
(3) With the increase in basicity, the total weight-loss rate increases first and then decreases. Among the, samples the total weight-loss rate of pellets with a basicity of 0.8 is the largest, reaching 24.77%. The total weight-loss rate of pellets with a basicity of 1.6 is the smallest, at only 23.61%.
(4) In the first stage of reduction, the microscopic morphology of pellets with a basicity of 0.8 has changed from plate crystal to granular crystal, with many Fe3O4 crystal particles and many cracks. The pellets with basicities of 0.4 and 1.6 are mainly in a plate-like crystal form, with less internal cracks. In the second stage of reduction, a silicate liquid phase appears in the pellets with three basicities, and the alkali metal elements in the mutual solution are dissolved in the FeO lattice to form a replacement solid solution, which promotes the uneven nucleation of FeO and creates conditions for the growth of iron whiskers. In the third stage of reduction, coarse iron whiskers re formed in the pellets with a basicity of 0.8, which results in the loosening of the pellet structure and the sharp increase in volume.
(5) In the same reduction stage, the amount of K and Na elements entering the iron oxide lattice in the pellets with a basicity 0.8 is much larger than that in pellets with basicities of 0.4 and 1.6. The ability of alkali metals to enter the Fe3O4 lattice is weak, and the ability to enter the FeO lattice is strong. The diffusion of alkali metals into the iron oxide lattice expands the ion channels of the reactants, reduces the activation energy of the interfacial reaction, and speeds up the reduction reaction.

Author Contributions

Conceptualization, Y.C.; investigation, X.G.; methodology, Y.C. and S.A.; formal analysis, Y.C. and S.A.; project administration, G.L.; resources, J.L.; supervision, Y.W.; writing—original draft, Y.F.; writing—review and editing, Y.C.; funding acquisition, Y.C. All authors have read and agreed to the published version of the manuscript.

Funding

This research was funded by National Natural Science Foundation of China, grant number 51904161; the Program for Young Talents of Science and Technology in Universities of Inner Mongolia Autonomous Region, grant number NJYT22060; the National Key Research and Development Program of China, grant number 2020YFC1909105; and the Open Fund of State Key Laboratory of Advanced Metallurgy of China, grant number K22-01.

Institutional Review Board Statement

Not applicable.

Data Availability Statement

The data presented in this study are available within the manuscript.

Acknowledgments

The authors would like to acknowledge the financial support from the National Natural Science Foundation of China (51904161), the Program for Young Talents of Science and Technology in Universities of Inner Mongolia Autonomous Region (NJYT22060), the National Key Research and Development Program of China (2020YFC1909105) and the Open Fund of State Key Laboratory of Advanced Metallurgy of China (K22-01).

Conflicts of Interest

The authors declare no conflict of interest.

References

  1. Wang, X.; Li, B.; Lv, C.; Guan, Z.; Cai, B.; Lei, Y.; Yan, G. China′s Iron and Steel Industry Carbon Emissions Peak Pathways. Res. Environ. Sci. 2022, 35, 339–346. [Google Scholar]
  2. Zhao, Z.; Long, F.; Tong, L.; Yin, S.; Xie, Y.; Wang, L. Analysis of CO2 emission reduction path and potential of China’s steel industry under the “3060” target. Iron Steel 2022, 57, 162–174. [Google Scholar]
  3. Zhu, R. Discussion on future development direction of ironmaking technology and exploratory practice of Baosteel. Iron Steel 2020, 55, 2–10. [Google Scholar]
  4. Xiao, P. Innovation practice and future prospects of blast furnace ironmaking technology. Iron Steel 2021, 56, 10–14+34. [Google Scholar]
  5. Sha, Y.; Maarten, G.; Song, S. Technical and Economic Analysis of Blast Furnace Operation with High pellet Ratio in China. Ironmaking 2019, 8, 1–5. [Google Scholar]
  6. Wang, X.; Jin, Y. Strategy analysis and testing study of high ratio of pellet utilized in blast furnace. Iron Steel 2021, 56, 7–16. [Google Scholar]
  7. Yang, Z.; Wang, H.; Hou, X. Discussion on Mining of Iron Ore Body outside the Open-pit Boundary of Bayan Obo East Mine. Chin. Rare Earth 2022, 43, 1–8. [Google Scholar]
  8. Zhang, T.; Li, Y.; Zhang, Y.; Zhu, X.; Ouyang, S.; Zhang, J. The Crystal Orientation and Distribution of Rare Earth Ores Based on Raman Mapping and AMICS. J. Chin. Soc. Rare Earths 2022, 1–12. [Google Scholar]
  9. Fan, L.; Jia, Y. Experimental Research on the Improvement of Iron Concentrate Grade of the Baiyun erbo Oxidized Ores. Metal Mine 2020, 413, 71–74. [Google Scholar]
  10. Pi, X.; Sun, Q.; Luo, G.; Wang, Y.; Zhu, J. Research review on reduction expansion mechanism of pellets. Sinter. Pelletizing 2017, 42, 28–34. [Google Scholar]
  11. Bai, X.; Fu, G.; Zhao, B.; Wu, H.; Lv, Z.; Zhang, Y. Research on thermal regulation of belt roaster for Baiyun Ebo pellets. Sinter. Pelletizing 2021, 46, 63–67. [Google Scholar]
  12. Sheng, M.; Lv, Z.; Kang, W.; Li, Y.; Meng, W. Abnormal reduction swelling mechanisms of pellets from Bayan Obo iron ore. Chin. Metall 2021, 31, 17–21+19. [Google Scholar]
  13. Chai, Y.; Jia, P.; Wang, Y.; Luo, G.; Wang, Y.; Song, X. Effect of basicity on compressive strength of Bayan Obo iron concentrate ore briquetting. Chin. Metall 2020, 30, 14–18. [Google Scholar]
  14. Zhao, Z.; Tang, H.; Guo, Z. Effects of CaO on Precipitation Morphology of Metallic Iron in Reduction of Iron Oxides Under CO Atmosphere. J. Iron. Steel Res. Int. 2013, 20, 16–24. [Google Scholar] [CrossRef]
  15. Guo, Y.; Liu, K.; Chen, F.; Wang, S.; Zheng, F.; Yang, L.; Liu, Y. Effect of basicity on the reduction swelling behavior and mechanism of limestone fluxed iron ore pellets. Powder Technol. 2021, 393, 291–300. [Google Scholar] [CrossRef]
  16. Zhang, G.; Luo, G.; Jia, P.; Wang, Y.; Chai, Y. Effect of basicity on the reduction swelling properties of iron ore briquettes. High Temp. Mater. Process. 2021, 40, 193–203. [Google Scholar] [CrossRef]
  17. Wang, H.; Sohn, H. Effect of CaO and SiO2 on swelling and iron whisker formation during reduction of iron oxide compact. Ironmak. Steelmak. 2011, 38, 447–452. [Google Scholar] [CrossRef]
  18. Li, Z.; Wang, Y.; Chai, Y.; Wang, Y.; Luo, G.; Song, X. Effect of bentonite on strength of raw pellets and finished pellets prepared from Baiyun Obo iron concentrate. Chin. Metall 2021, 31, 19–24. [Google Scholar]
  19. Chai, Y.; Fan, Y.; Li, Z.; Wu, J.; Zhang, Y.; Wang, Y.; Luo, G.; An, S. Kinetics of Reduction in Stages of Pellets Prepared from the Bayan Obo Iron Ore Concentrate. ACS Omega 2022, 7, 7759–7768. [Google Scholar] [CrossRef]
  20. Fan, Y.; Zhang, Y.; Li, Z.; Chai, Y.; Wang, Y.; Luo, G.; An, S. Mechanism on reduction swelling of pellets prepared from Bayan Obo iron ore concentrate. Ironmak. Steelmak. 2021, 48, 1158–1168. [Google Scholar] [CrossRef]
  21. Wu, S.; Wang, Y. Iron and Steel Metallurgy (Part of Ironmaking), 4th ed.; Metallurgical Industry Press: Beijing, China, 2019; pp. 78–85. [Google Scholar]
  22. Wang, X.; Chai, Y.; Luo, G.; Song, W.; Zhang, G.; Qiao, B. Optimization test on pellet distribution and process parameter of imported magnetite concentrate. Sinter. Pelletizing 2022, 47, 16–23. [Google Scholar]
  23. Wang, Z.; Chu, M.; Tang, Y.; Xue, X. Effects of Reducing Atmosphere and Gangue Composition on Reduction Swelling of Oxidized Pellets. J. Northeast. Univ. Nat. Sci. 2012, 33, 94–97+102. [Google Scholar]
  24. Li, Z. Swelling Mechanism of Bayan Obo Iron Concentrate Pellets in the Progressive Reduction Process. Master’s Thesis, Inner Mongolia University of Science and Technology, Baotou, China, 2021. [Google Scholar]
  25. Zhou, Q.; Guo, C. Effect of alkalis and fluorine on swelling properties of pellet during reduction. Acta Metall. Sin. 1986, 22, 95–102. [Google Scholar]
  26. Sun, C. Study on Mechanism and Suppression of Reduction Swelling of Bayan Obo Iron Concentrate Briquetting. Master’s Thesis, Inner Mongolia University of Science and Technology, Baotou, China, 2019. [Google Scholar]
  27. Chen, Y.; Chen, R. Microstructure of Sinter and Pellet, 1st ed.; Central South University Press: Changsha, China, 2011; pp. 28–32. [Google Scholar]
  28. Cui, Z. Effects of Gangues on Reduction Swelling Caracter of Iron Ore Pellets; Central South University: Changsha, China, 2004. [Google Scholar]
  29. Umadevi, T.; Kumar, A.; Karthik, P.; Srinidhi, R.; Manjini, S. Characterisation studies on swelling behaviour of iron ore pellets. Ironmak. Steelmak. 2018, 45, 157. [Google Scholar] [CrossRef]
Publisher’s Note: MDPI stays neutral with regard to jurisdictional claims in published maps and institutional affiliations.

Article Metrics

Citations

Article Access Statistics

Multiple requests from the same IP address are counted as one view.