Flux Growth and Properties of Volatile Bromine-Containing UV Nonlinear Optical Crystal K3B6O10Br
Abstract
:1. Introduction
2. Materials and Methods
3. Results and Discussion
3.1. The Crystal Growth of KBOB with Lead-Containing and Lead-Free Fluxes
3.2. The EDS Analysis of KBOB Crystals
3.3. Rocking Curves and Laser Damage Threshold
3.4. The Thermal Properties
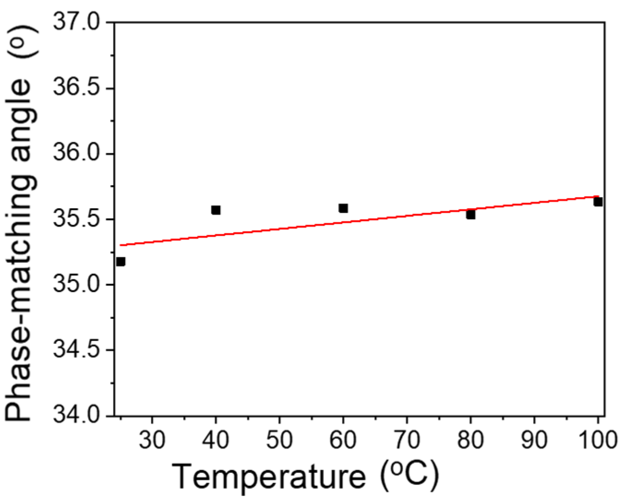
3.5. Thermal Refractive Index
4. Conclusions
Author Contributions
Funding
Institutional Review Board Statement
Informed Consent Statement
Conflicts of Interest
References
- Zhang, W.G.; Yu, H.W.; Wu, H.P.; Halasyamani, P.S. Crystal Growth and Associated Properties of a Nonlinear Optical Crystal–Ba2Zn(BO3). Crystals 2016, 6, 68. [Google Scholar] [CrossRef] [Green Version]
- Chen, Q.L.; Luo, M.; Lin, C.S. Na4Yb(CO3)3F: A New UV Nonlinear Optical Material with a Large Second Harmonic Generation Response. Crystals 2018, 8, 381. [Google Scholar] [CrossRef] [Green Version]
- Zou, G.H.; Lin, C.S.; Kim, H.G.; Jo, H.; OK, K.M. Rb2Na(NO3)3: A congruently Melting UV-NLO Crytal with a Very Strong Second-Harmonic Generation Response. Crystals 2016, 6, 42. [Google Scholar] [CrossRef] [Green Version]
- Shen, C.Y.; Zhang, H.J.; Wang, D.L.; Wang, J.Y.; Boughton, R.I. Optical Properties of the Fresnoite Ba2TiSi2O8 Single Crystal. Crystals 2017, 7, 53. [Google Scholar] [CrossRef] [Green Version]
- Fedorov, P.P.; Kokh, A.E.; Kononova, N.G. Barium borate β-BaB2O4 as a material for nonlinear optics. Russ. Chem. Rev. 2002, 71, 651–671. [Google Scholar] [CrossRef]
- Lin, S.J.; Sun, Z.Y.; Wu, B.C.; Chen, C.T. The nonlinear optical characteristics of a LiB3O5 crystal. J. Appl. Phys. 1990, 67, 634–638. [Google Scholar] [CrossRef]
- Sasaki, T.; Mori, Y.; Yoshimura, M. Progress in the growth of a CsLiB6O10 crystal and its application to ultraviolet light generation. Opt. Mater. 2003, 23, 343–351. [Google Scholar] [CrossRef]
- Wu, H.P.; Pan, S.L.; Poeppelmeier, K.R.; Li, H.Y.; Jia, D.Z.; Chen, Z.H.; Fan, X.Y.; Yang, Y.; Rondinelli, J.M.; Luo, H.S. K3B6O10Cl: A New Structure Analogous to Perovskite with a Large Second Harmonic Generation Response and Deep UV Absorption Edge. J. Am. Chem. Soc. 2011, 133, 7786–7790. [Google Scholar] [CrossRef] [PubMed]
- Liu, H.K.; Wang, Y.; Zhang, B.B.; Yang, Z.H.; Pan, S.L. CsAlB3O6F: A beryllium-free deep-ultraviolet nonlinear optical material with enhanced thermal stability. Chem. Sci. 2019, 11, 694–698. [Google Scholar] [CrossRef] [PubMed] [Green Version]
- Yu, H.W.; Young, J.S.; Wu, H.P.; Zhang, W.G.; Rondinelli, J.M.; Halasyamani, S. The Next-Generation of Nonlinear Optical Materials: Rb3Ba3Li2Al4B6O20F—Synthesis, Characterization, and Crystal Growth. Adv. Opt. Mater. 2017, 5, 1700840. [Google Scholar] [CrossRef]
- Wu, B.C.; Tang, D.Y.; Ye, N.; Chen, C.T. Linear and nonlinear optical properties of the KBe2BO3F2 (KBBF) crystal. Opt. Mater. 1996, 5, 105–109. [Google Scholar] [CrossRef]
- Mutailipu, M.; Zhang, M.; Wu, H.P.; Yang, Z.H.; Shen, Y.H.; Sun, J.L.; Pan, S.L. Ba3Mg3(BO3)3F3 polymorphs with reversible phase transition and high performances as ultraviolet nonlinear optical materials. Nat. Commun. 2018, 9, 3089. [Google Scholar] [CrossRef] [PubMed] [Green Version]
- Al-Ama, A.G.; Belokoneva, E.L.; Stefanovich, S.Y.; Dimitrova, O.V.; Mochenova, N.N. Potassium Bromo-Borate K3[B6O10]Br-A New Nonlinear Optical Material. Crystallogr. Rep. 2006, 51, 225–230. [Google Scholar] [CrossRef]
- Zhang, M.; Pan, S.L.; Fan, X.Y.; Zhou, Z.X.; Poeppelmeier, K.R.; Yang, Y. Crystal growth and optical properties of a noncentrosymmetric haloid borate, K3B6O10Br. CrystEngComm 2011, 13, 2899–2903. [Google Scholar] [CrossRef]
- Zhang, M.; Su, X.; Pan, S.L.; Wang, Z.; Zhang, H.; Yang, Z.H.; Zhang, B.B.; Dong, L.Y.; Wang, Y.; Zhang, F.F.; et al. Linear and Nonlinear Optical Properties of K3B6O10Br Single crystal: Experiments and Calculation. J. Phys. Chem. C 2014, 118, 11849–11856. [Google Scholar] [CrossRef]
- Fan, X.Y.; Zhang, M.; Pan, S.L.; Yang, Y.; Zhao, W.W. Top seeded solution growth and optical properties of a bromic borate crystal: K3B6O10Br. Mater. Lett. 2012, 68, 374–377. [Google Scholar] [CrossRef]
- Xia, M.J.; Xu, B.; Li, R.K. Growth and nonlinear optical properties of K3B6O10Br crystal. J. Cryst. Growth 2014, 404, 65–68. [Google Scholar] [CrossRef]
- Xia, M.J.; Xu, B.; Liu, L.J.; Wang, X.Y.; Li, R.K.; Chen, C.T. Thermo-physical properties of nonlinear optical crystal K3B6O10Br. J. Appl. Cryst. 2016, 49, 539–543. [Google Scholar] [CrossRef]
- Meng, L.P.; Zhang, L.; Hou, Z.Y.; Wang, L.R.; Xu, H.; Shi, M.; Wang, L.W.; Yang, Y.Y.; Qi, Y.Y.; He, C.J.; et al. Frequency-doubled green picosecond laser based on K3B6O10Br nonlinear optical crystal. Optlastec 2018, 101, 401–403. [Google Scholar] [CrossRef]
- Guo, R.Y.; Markgraf, S.A.; Furukawa, Y.; Sato, M.; Bhalla, A.S. Pyroelectric, dielectric, and piezoelectric properties of LiB3O5. J. Appl. Phys. 1995, 78, 7234–7239. [Google Scholar] [CrossRef]








| λ (μm)/T (°C) | 25 | 40 | 60 | 80 | 100 | |
|---|---|---|---|---|---|---|
| 0.405 | no | 1.60344 | 1.60301 | 1.60259 | 1.60220 | 1.60179 |
| ne | 1.55386 | 1.55394 | 1.55357 | 1.55317 | 1.55303 | |
| no − ne | 0.04958 | 0.04907 | 0.04902 | 0.04903 | 0.04876 | |
| 0.514 | no | 1.59120 | 1.59098 | 1.59071 | 1.59030 | 1.59014 |
| ne | 1.54350 | 1.54340 | 1.54299 | 1.54282 | 1.54260 | |
| no − ne | 0.04770 | 0.04758 | 0.04772 | 0.04748 | 0.04754 | |
| 0.636 | no | 1.58358 | 1.58340 | 1.58320 | 1.58280 | 1.58251 |
| ne | 1.53652 | 1.53630 | 1.53624 | 1.53602 | 1.53599 | |
| no − ne | 0.04706 | 0.04710 | 0.04696 | 0.04678 | 0.04652 | |
| 0.965 | no | 1.57488 | 1.57456 | 1.57444 | 1.57412 | 1.57390 |
| ne | 1.52895 | 1.52934 | 1.52886 | 1.52868 | 1.52856 | |
| no − ne | 0.04593 | 0.04522 | 0.04558 | 0.04544 | 0.04534 | |
| 1.547 | no | 1.56611 | 1.56542 | 1.56531 | 1.56517 | 1.56490 |
| ne | 1.52193 | 1.52182 | 1.52179 | 1.52170 | 1.52135 | |
| no − ne | 0.04418 | 0.04360 | 0.04352 | 0.04347 | 0.04355 | |
Publisher’s Note: MDPI stays neutral with regard to jurisdictional claims in published maps and institutional affiliations. |
© 2021 by the authors. Licensee MDPI, Basel, Switzerland. This article is an open access article distributed under the terms and conditions of the Creative Commons Attribution (CC BY) license (https://creativecommons.org/licenses/by/4.0/).
Share and Cite
Hu, H.; Zhou, C.; Jiao, J.; Guo, S.; Chen, Y.; Zhang, M. Flux Growth and Properties of Volatile Bromine-Containing UV Nonlinear Optical Crystal K3B6O10Br. Crystals 2022, 12, 33. https://doi.org/10.3390/cryst12010033
Hu H, Zhou C, Jiao J, Guo S, Chen Y, Zhang M. Flux Growth and Properties of Volatile Bromine-Containing UV Nonlinear Optical Crystal K3B6O10Br. Crystals. 2022; 12(1):33. https://doi.org/10.3390/cryst12010033
Chicago/Turabian StyleHu, Huaiyu, Chen Zhou, Jiahao Jiao, Siru Guo, Yanna Chen, and Min Zhang. 2022. "Flux Growth and Properties of Volatile Bromine-Containing UV Nonlinear Optical Crystal K3B6O10Br" Crystals 12, no. 1: 33. https://doi.org/10.3390/cryst12010033
APA StyleHu, H., Zhou, C., Jiao, J., Guo, S., Chen, Y., & Zhang, M. (2022). Flux Growth and Properties of Volatile Bromine-Containing UV Nonlinear Optical Crystal K3B6O10Br. Crystals, 12(1), 33. https://doi.org/10.3390/cryst12010033

