Impact of Bias Temperature Instabilities on the Performance of Logic Inverter Circuits Using Different SiC Transistor Technologies
Abstract
:1. Introduction
2. Charge Trapping and Model Calibration
3. Compact Modeling of BTI for Circuit Simulations
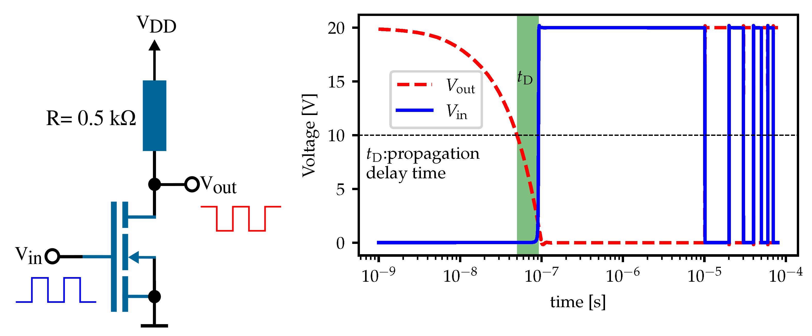
4. Results and Discussion
5. Conclusions
Author Contributions
Funding
Acknowledgments
Conflicts of Interest
References
- Pulvirenti, M.; Montoro, G.; Nania, M.; Scollo, R.; Scelba, G.; Cacciato, M.; Scarcella, G.; Salvo, L. 2018 IEEE Energy Conversion Congress and Exposition (ECCE); IEEE: Portland, OR, USA, 2018; pp. 1895–1902. [Google Scholar]
- Dimitrijev, S. SiC Power MOSFETs: The current status and the potential for future development. In Proceedings of the 30th International Conference on Microelectronics (MIEL 2017), Nis, Serbia, 9–11 October 2017. [Google Scholar] [CrossRef] [Green Version]
- Litchtenwalner, D.J.; Hull, B.; Van Brunt, E.; Sabri, S.; Gajewski, D.A.; Grider, D.; Allen, S.; Palmour, J.W. Reliability studies of SiC vertical power MOSFETs. In Proceedings of the 2018 IEEE International Reliability Physics Symposium (IRPS), Burlingame, CA, USA, 11–15 March 2018. [Google Scholar] [CrossRef]
- Berens, J.; Weger, M.; Pobegen, G.; Aichinger, T.; Rescher, G.; Schleich, C.; Grasser, T. Similarities and Differences of BTI in SiC and Si Power MOSFETs. In Proceedings of the IRPS, Dallas, TX, USA, 28 April–30 May 2020. [Google Scholar] [CrossRef]
- Barbagallo, C.; Rizzo, S.; Scelba, G.; Scarcella, G.; Cacciato, M. On the Lifetime estimation of SiC power MOSFEts for motor drive applications. Electronics 2021, 10, 324. [Google Scholar] [CrossRef]
- Guevara, E.; Herrera-Perez, V.; Rocha, C.; Guerrero, K. Threshold Voltage Degradation for n-Channel 4H-SiC power MOSFETs. J. Low Power Electron. Appl. 2020, 10, 3. [Google Scholar] [CrossRef] [Green Version]
- www.wolfspeed.com. Available online: https://www.wolfspeed.com/document-library/?documentType=ltspice-and-plecs-models&productLine=power (accessed on 10 July 2021).
- www.st.com. Available online: https://www.st.com/en/power-transistors/wide-bandgap-transistors.html#cad-resource (accessed on 10 July 2021).
- Waltl, M.; Rzepa, G.; Grill, A.; Wolfgang, G.; Franco, J.; Kaczer, B.; Witters, L.; Mitard, J.; Horiguchi, N.; Grasser, T. Superior NBTI in High-k Si-Ge Transistors—Part I: Experimental. IEEE Trans. Electron Devices 2017, 64, 2092–2098. [Google Scholar] [CrossRef]
- Habersat, D.B.; Lelis, A.J.; Green, R. Measurement considerations for evaluating BTI effects in SiC MOSFETs. Microelectron. Reliab. 2018, 81, 121–126. [Google Scholar] [CrossRef]
- Green, R.; Lelis, A.; Habersat, D. Threshold-voltage bias- temperature instability in commercially-available SiC MOSFETs. Jpn. J. Appl. Phys. 2016, 55. [Google Scholar] [CrossRef]
- Peters, D. Investigation of threshold voltage stability of SiC MOSFETs. In Proceedings of the 2018 IEEE 30th International Symposium on Power Semiconductor Devices and ICs (ISPSD), Chicago, IL, USA, 13–17 May 2018; pp. 42–43. [Google Scholar] [CrossRef]
- Toledano-Luque, M.; Kaczer, B.; Simoen, E.; Roussel, P.; Veloso, A.; Grasser, T.; Groeseneken, G. Temperature and Voltage Dependences of the Capture and Emission Times of Individual Traps in High-k Dielectrics. Microelectron. Eng. 2011, 88, 1243–1246. [Google Scholar] [CrossRef]
- Kim, J.J.; Linder, B.P.; Rao, R.M.; Kim, T.H.; Lu, P.F.; Jenkins, K.A.; Kim, C.H.; Bansal, A.; Mukhopadhyay, S.; Chuang, C.T. Reliability monitoring ring oscillator structures for isolated/-combined NBTI and PBTI measurement in high-k metal gate technologies. In Proceedings of the 2011 International Reliability Physics Symposium, Monterey, CA, USA, 10–14 April 2011. [Google Scholar] [CrossRef]
- Miki, H.; Tega, N.; Yamaoka, M.; Frank, D.J.; Bansal, A.; Kobayashi, M.; Cheng, K.; D’Emic, C.P.; Ren, Z.; Wu, S.; et al. Statistical measurement of random telegraph noise and its impact in scaled-down high-k/metal-gate MOSFETs. In Proceedings of the 2012 International Electron Devices Meeting, San Francisco, CA, USA, 10–13 December 2012. [Google Scholar] [CrossRef]
- Rzepa, G.; Franco, J.; Subirats, A.; Jech, M.; Chasin, A.; Grill, A.; Waltl, M.; Knobloch, T.; Stampfer, B.; Chiarella, T.; et al. Efficient Physical Defect Model Applied to PBTI in High-k Stacks. In Proceedings of the 2017 IEEE International Reliability Physics Symposium (IRPS), Monterey, CA, USA, 2–6 April 2017. [Google Scholar] [CrossRef]
- Schleich, C.; Waldhoer, D.; Waschneck, K.; Feil, M.W.; Reisinger, H.; Grasser, T.; Waltl, M. Physical Modeling of Charge Trapping in 4H-SiC DMOSFET Technologies. IEEE Trans. Electron Devices 2021, 68, 4016–4021. [Google Scholar] [CrossRef]
- Lelis, A.J.; Habersat, D.; Green, R.; Ogunniyi, A.; Gurfinkel, M.; Suehle, J.; Goldsman, N. Time Dependence of Bias-Stress-induced SiC MOSFET Threshold-Voltage Instability Measurements. IEEE Trans. Electron Devices 2008, 55, 1835–1840. [Google Scholar] [CrossRef]
- Schleich, C.; Berens, J.; Rzepa, G.; Pobegen, G.; Tyaginov, S.; Grasser, T.; Waltl, M. Physical Modeling of Bias Temperature Instabilities in SiC MOSFETs. In Proceedings of the 2019 IEEE International Electron Devices Meeting (IEDM), San Francisco, CA, USA, 7–11 December 2019. [Google Scholar] [CrossRef]
- Grasser, T. Stochastic Charge Trapping in Oxides: From Random Telegraph Noise to Bias Temperature Instabilities. Microelectron. Reliab. 2012, 52, 39–70. [Google Scholar] [CrossRef]
- Rzepa, G.; Franco, J.; O’Sullivan, B.; Subirats, A.; Simicic, M.; Hellings, G.; Weckx, P.; Jech, M.; Knobloch, T.; Waltl, M.; et al. Comphy—A compact-physics framework for unified modeling of BTI. Microelectron. Reliab. 2018, 85, 49–65. [Google Scholar] [CrossRef]
- Puschkarsky, K.; Grasser, T.; Aichinger, T.; Gustin, W.; Reisinger, H. Review on SiC MOSFETs High-Voltage Device Reliability Focusing on Threshold Voltage Instability. IEEE Trans. Electron Devices 2019, 66, 4604–4616. [Google Scholar] [CrossRef]
- Martin-Martinez, J.; Ayala, N.; Rodriguez, R.; Nafria, M.; Aymerich, X. RELAB: A tool to include MOSFETs BTI and variability in SPICE simulators. In Proceedings of the 2012 International Conference on Synthesis, Modeling, Analysis and Simulation Methods and Applications to Circuit Design (SMACD), Seville, Spain, 19–21 September 2012. [Google Scholar] [CrossRef]
- Grasser, T.; Kaczer, B.; Goes, W.; Reisinger, H.; Aichinger, T.; Hehenberger, P.; Wagner, P.J.; Schanovsky, F.; Franco, J.; Roussel, P.; et al. Recent Advances in Understanding the Bias Temperature Instability. In Proceedings of the 2010 International Electron Devices Meeting, San Francisco, CA, USA, 6–8 December 2010. [Google Scholar] [CrossRef]
- Fukuda, K.; Sekitani, T.; Yokota, T.; Kuribara, K.; Huang, T.C.; Sakurai, T.; Zschieschang, U.; Klauk, H.; Ikeda, M.; Kuwabara, H.; et al. Organic Pseudo-CMOS Circuits for Low-Voltage Large-Gain High-Speed Operation. IEEE Electron Device Lett. 2011, 32, 1448–1450. [Google Scholar] [CrossRef]
- Huang, T.C.; Fukuda, K.; Lo, C.M.; Yeh, Y.H.; Sekitani, T.; Someya, T.; Cheng, K.T. Pseudo-CMOS: A Design Style for Low-Cost and Robust Flexible Electronics. IEEE Trans. Electron Devices 2011, 58, 141–150. [Google Scholar] [CrossRef]
- Kuroki, S.; Kurose, T.; Nagatsuma, H.; Ishikawa, S.; Maeda, T.; Sezaki, H.; Kikkawa, T.; Makino, T.; Ohshima, T.; Östling, M.; et al. 4H-SiC Pseudo-CMOS Logic Inverters for Harsh Environment Electronics. Mater. Sci. Forum 2017, 897, 669–672. [Google Scholar] [CrossRef]













Publisher’s Note: MDPI stays neutral with regard to jurisdictional claims in published maps and institutional affiliations. |
© 2021 by the authors. Licensee MDPI, Basel, Switzerland. This article is an open access article distributed under the terms and conditions of the Creative Commons Attribution (CC BY) license (https://creativecommons.org/licenses/by/4.0/).
Share and Cite
Hernandez, Y.; Stampfer, B.; Grasser, T.; Waltl, M. Impact of Bias Temperature Instabilities on the Performance of Logic Inverter Circuits Using Different SiC Transistor Technologies. Crystals 2021, 11, 1150. https://doi.org/10.3390/cryst11091150
Hernandez Y, Stampfer B, Grasser T, Waltl M. Impact of Bias Temperature Instabilities on the Performance of Logic Inverter Circuits Using Different SiC Transistor Technologies. Crystals. 2021; 11(9):1150. https://doi.org/10.3390/cryst11091150
Chicago/Turabian StyleHernandez, Yoanlys, Bernhard Stampfer, Tibor Grasser, and Michael Waltl. 2021. "Impact of Bias Temperature Instabilities on the Performance of Logic Inverter Circuits Using Different SiC Transistor Technologies" Crystals 11, no. 9: 1150. https://doi.org/10.3390/cryst11091150
APA StyleHernandez, Y., Stampfer, B., Grasser, T., & Waltl, M. (2021). Impact of Bias Temperature Instabilities on the Performance of Logic Inverter Circuits Using Different SiC Transistor Technologies. Crystals, 11(9), 1150. https://doi.org/10.3390/cryst11091150

