X-ray Single Crystal Structure, Tautomerism Aspect, DFT, NBO, and Hirshfeld Surface Analysis of a New Schiff Bases Based on 4-Amino-5-Indol-2-yl-1,2,4-Triazole-3-Thione Hybrid
Abstract
:1. Introduction
2. Materials and Methods
2.1. Synthesis
2.2. Crystal Structure Determination
2.3. Hirshfeld Surface Analysis
2.4. Computational Methods
3. Results and Discussion
3.1. Synthesis of Schiff Bases Based Indolyl-Triazole-3-Thione Hybrid 3–6
3.2. Crystal Structure Description
3.3. Analysis of Molecular Packing
3.4. DFT Studies
3.4.1. Thione-Thiol Tautomerism
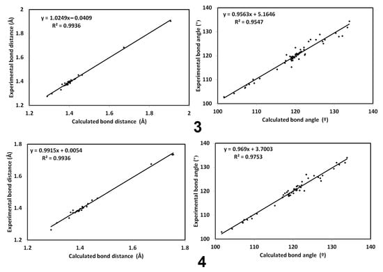
3.4.2. Optimized Geometry
3.4.3. Electronic Reactivity Parameters
3.5. NBO Analysis
4. Conclusions
Supplementary Materials
Author Contributions
Funding
Data Availability Statement
Acknowledgments
Conflicts of Interest
References
- Schiff, H. Mittheilungen aus dem Universitatslaboratorium in Pisa: Eine neue reihe organischer Basen. Justus Liebigs Ann. Chem. 1864, 131, 118–119. [Google Scholar] [CrossRef]
- Ali, S.M.M.; Azad, M.A.K.; Jesmin, M.; Ahsan, S.; Rahman, M.M.; Khanam, J.A.; Islam, M.N.; Shahriar, S.M.S. In vivo anticancer activity of vanillin semicarbazone. Asian Pac. J.Trop. Biomed. 2012, 2, 438–442. [Google Scholar] [CrossRef]
- Aboul-Fadl, T.; Mohammed, F.A.H.; Hassan, E.A.S. Synthesis, antitubercular activity and pharmacokinetic studies of some Schiff bases derived from 1-alkylisatin and isonicotinic acid hydrazide (INH). Arch. Pharm. Res. 2003, 26, 778–784. [Google Scholar] [CrossRef]
- Chandramouli, C.; Shivanand, M.R.; Nayanbhai, T.B.; Bheemachari, B.; Udupi, R.H. Synthesis and biological screening of certain new triazole Schiff bases and their derivatives bearing substituted benzothiazole moiety. J. Chem. Pharm. Res. 2012, 4, 1151–1159. [Google Scholar]
- Sondhi, S.M.; Singh, N.; Kumar, A.; Lozach, O.; Meijer, L. Synthesis, anti-inflammatory, analgesic and kinase (CDK-1, CDK-5 and GSK-3) inhibition activity evaluation of benzimidazole/benzoxazole derivatives and some Schiff’s bases. Bioorg. Med. Chem. 2006, 14, 3758–3765. [Google Scholar] [CrossRef] [PubMed]
- Wei, D.; Li, N.; Lu, G.; Yao, K. Synthesis, catalytic and biological activity of novel dinuclear copper complex with Schiff base. Sci. China Ser. B Chem. 2006, 49, 225–229. [Google Scholar] [CrossRef]
- Sathe, B.S.; Jaychandran, E.; Jagtap, V.A.; Sreenivasa, G.M. Synthesis characterization and anti-inflammatory evaluation of new fluorobenzothiazole schiff’s bases. Int. J. Pharm. Res. Dev. 2011, 3, 164–169. [Google Scholar]
- Avaji, P.G.; Kumar, C.V.; Patil, S.A.; Shivananda, K.N.; Nagaraju, C. Synthesis, spectral characterization, in-vitro microbiological evaluation and cytotoxic activities of novel macrocyclic bis hydrazone. Eur. J. Med. Chem. 2009, 44, 3552–3559. [Google Scholar] [CrossRef] [PubMed]
- Gomha, S.M.; Riyadh, S.M. Synthesis under microwave irradiation of [1,2,4]triazolo[3,4-b][1,3,4]thiadiazoles and other diazoles bearing indole moieties and their antimicrobial evaluation. Molecules 2011, 16, 8244–8256. [Google Scholar] [CrossRef]
- Darestani-Farahani, M.; Faridbod, F.; Ganjali, M.R. A sensitive fluorometric DNA nano biosensor based on a new fluorophore for tumor suppressor gene detection. Talanta 2018, 190, 140–146. [Google Scholar] [CrossRef] [PubMed]
- Chhrouri, M.; Othman, A.A.; Jiménez-Cecilia, S.; Moreno-Cabrerizo, C.; Sansano, J.M. 4-Amino-3-pentadecyl-3H-1,2,4-triazole-3-thions and 3-pentadecyl-1,3,4-oxadiazole-2(3H)-thione for the preparation of dimeric palladium (II) complexes and their applications in Tsuji–Trostand Mizoroki–Heck reactions. Synth. Commun. 2019, 49, 1301–1307. [Google Scholar] [CrossRef]
- Timur, İ.; Kocyigit, Ü.M.; Dastan, T.; Sandal, S.; Ceribası, A.O.; Taslimi, P.; Gulcin, İ.; Koparir, M.; Karatepe, M.; Çiftçi, M. In vitro cytotoxic and invivo antitumoral activities of some aminomethylderivatives of 2,4-dihydro-3H-1,2,4-triazole-3-thiones—Evaluation of their acetylcholinesterase and carbonicanhydrase enzymes inhibitionprofiles. J. Biochem. Mol. Toxic. 2019, 33, e22239. [Google Scholar] [CrossRef] [PubMed]
- Gilmore, J.L.; King, B.W.; Asakawa, N.; Harrison, K.; Tebben, A.; Sheppeck, J.E., II; Liu, R.Q.; Covington, M.; Duan, J.J.W. Synthesis and structure–activity relationship of anovel, non-hydroxamate series of TNF-α converting enzyme inhibitors. Bioorg. Med. Chem. Lett. 2007, 17, 4678–4682. [Google Scholar] [CrossRef] [PubMed]
- Maingot, L.; Leroux, F.; Landry, V.; Dumont, J.; Nagase, H.; Villoutreix, B.; Sperandio, O.; Deprez-Poulain, R.; Deprez, B. Newnon-hydroxamic ADAMTS-5 inhibitors based on the 1,2,4-triazole-3-thiols caffold. Bioorg. Med. Chem. Lett. 2010, 20, 6213–6216. [Google Scholar] [CrossRef]
- Sevaille, L.; Gavara, L.; Bebrone, C.; DeLuca, F.; Nauton, L.; Achard, M.; Mercuri, P.; Tanfoni, S.; Borgianni, L.; Guyon, C.; et al. 1,2,4-Triazole-3-thione compounds as inhibitors of dizincmetallo-β-lactamases. ChemMedChem 2017, 12, 972–985. [Google Scholar] [CrossRef] [PubMed]
- Akhtar, T.; Hameed, S.; Khan, K.M.; Choudhary, M.I. Syntheses,urease inhibition, and antimicrobial studies of some chiral 3-substituted-4-amino-5-thioxo-1H,4H-1,2,4-triazoles. Med. Chem. 2008, 4, 539–543. [Google Scholar] [CrossRef]
- Chen, M.; Lu, S.; Yuan, G.; Yang, S.; Du, X. Synthesis and antibacterial activity of some heterocyclic β-enamino ester derivatives with 1,2,3-triazole. Heterocycl. Commun. 2000, 6, 421–426. [Google Scholar] [CrossRef]
- Gujjar, R.; Marwaha, A.; El Mazouni, F.; White, J.; White, K.L.; Creason, S.; Shackleford, D.M.; Baldwin, J.; Charman, W.N.; Buckner, F.S.; et al. Identification of ametabolically stable triazolopyrimidine-based dihydroorotatede hydrogenase inhibitor with antimalarial activity in mice. J. Med. Chem. 2009, 52, 1864–1872. [Google Scholar] [CrossRef]
- Huang, M.; Deng, Z.; Tian, J.; Liu, T. Synthesis and biological evaluation of salinomycintriazole analogues as anticancer agents. Eur. J. Med. Chem. 2017, 127, 900–908. [Google Scholar] [CrossRef]
- Ayati, A.; Emami, S.; Foroumadi, A. The importance of triazole scaffold in the development of anticonvulsant agents. Eur. J. Med. Chem. 2016, 109, 380–392. [Google Scholar] [CrossRef]
- Mohammad, Y.; Fazili, K.M.; Bhat, K.A.; Ara, T. Synthesis and biological evaluation of novel 3-O-tethered triazoles of diosgenin as potent antiproliferative agents. Steroids 2017, 118, 1–8. [Google Scholar]
- Boraei, A.T.; Singh, P.K.; Sechi, M.; Satta, S. Discovery of novel functionalized 1, 2, 4-triazoles as PARP-1 inhibitors in breast cancer: Design, synthesis and antitumor activity evaluation. Eur. J. Med. Chem. 2019, 182, 111621. [Google Scholar] [CrossRef]
- Boraei, A.T.; Ashour, H.K.; El Sayed, H.; Abdelmoaty, N.; El-Falouji, A.I.; Gomaa, M.S. Design and synthesis of new phthalazine-based derivatives as potential EGFR inhibitors for the treatment of hepatocellular carcinoma. Bioorg. Chem. 2019, 85, 293–307. [Google Scholar] [CrossRef] [PubMed]
- Boraei, A.T.; Sarhan, A.A.; Yousuf, S.; Barakat, A. Synthesis of a New Series of Nitrogen/Sulfur Heterocycles by Linking Four Rings: Indole; 1, 2, 4-Triazole; Pyridazine; and Quinoxaline. Molecules 2020, 25, 450. [Google Scholar] [CrossRef] [PubMed]
- Boraei, A.T.; Haukka, M.; Soliman, S.M.; Barakat, A. Synthesis, X-ray structure, tautomerism aspect, and chemical insight of the 3-(1H-Indol-2-yl)-7H-[1, 2, 4] triazolo [3, 4-b][1, 3, 4] thiadiazin-6-ol. J. Mol. Struct. 2021, 1227, 129429. [Google Scholar] [CrossRef]
- Boraei, A.T.; Soliman, S.M.; Haukka, M.; Barakat, A. X-Ray structure, Hirshfeld analysis and DFT studies of two new hits of triazolyl-indole bearing alkylsulfanyl moieties. J. Mol. Struct. 2021, 1225, 129302. [Google Scholar] [CrossRef]
- Boraei, A.T.; Soliman, S.M.; Yousuf, S.; Barakat, A. Synthesis single crystal x-ray structure dft studies and hirshfeld analysis of new benzylsulfanyl-triazolyl-indole scaffold. Crystals 2020, 10, 685. [Google Scholar] [CrossRef]
- Rikagu Oxford Diffraction. CrysAlisPro; Agilent Technologies Inc.: Yarnton, UK, 2018. [Google Scholar]
- Sheldrick, G.M. SHELXT - Integrated space-group and crystal-structure determination. Acta Cryst. 2015, A71, 3–8. [Google Scholar] [CrossRef]
- Sheldrick, G.M. Crystal structure refinement with SHELXL. Acta Cryst. 2015, C71, 3–8. [Google Scholar]
- Hübschle, C.B.; Sheldrick, G.M.; Dittrich, B.J. ShelXle: A Qt graphical user interface for SHELXL. J. Appl. Crystallogr. 2011, 44, 1281–1284. [Google Scholar] [CrossRef]
- Turner, M.J.; McKinnon, J.J.; Wolff, S.K.; Grimwood, D.J.; Spackman, P.R.; Jayatilaka, D.; Spackman, M.A. Crystal Explorer17. University of Western Australia. 2017. Available online: http://hirshfeldsurface.net (accessed on 12 June 2017).
- Frisch, M.J.; Trucks, G.W.; Schlegel, H.B.; Scuseria, G.E.; Robb, M.A.; Cheeseman, J.R.; Scalmani, G.; Barone, V.; Mennucci, B.; Petersson, G.A.; et al. GAUSSIAN 09; Revision A02; Gaussian Inc.: Wallingford, CT, USA, 2009. [Google Scholar]
- Dennington, R., II; Keith, T.; Millam, J. (Eds.) GaussView; Version 4.1; Semichem Inc.: Shawnee Mission, KS, USA, 2007. [Google Scholar]
- Reed, A.E.; Curtiss, L.A.; Weinhold, F. Intermolecular interactions from a natural bond orbital, donor-acceptor viewpoint. Chem. Rev. 1988, 88, 899–926. [Google Scholar] [CrossRef]
- Cheeseman, J.R.; Trucks, G.W.; Keith, T.A.; Frisch, M.J. A Comparison of Models for Calculating Nuclear Magnetic Resonance Shielding Tensors. J. Chem. Phys. 1996, 104, 5497–5509. [Google Scholar] [CrossRef]
- Marten, B.; Kim, K.; Cortis, C.; Friesner, R.A.; Murphy, R.B.; Ringnalda, M.N.; Sitkoff, D.; Honig, B. New Model for Calculation of Solvation Free Energies: Correction of Self-Consistent Reaction Field Continuum Dielectric Theory for Short-Range Hydrogen-Bonding Effects. J. Phys. Chem. 1996, 100, 11775–11788. [Google Scholar] [CrossRef]
- Tannor, D.J.; Marten, B.; Murphy, R.; Friesner, R.A.; Sitkoff, D.; Nicholls, A.; Ringnalda, M.; Goddard, W.A.; Honig, B. Accurate first principles calculation of molecular charge distributions and solvation energies from ab initio quantum mechanics and continuum dielectric theory. J. Am. Chem. Soc. 1994, 116, 11875–11882. [Google Scholar] [CrossRef]
- Foresman, J.B.; Frisch, E. Exploring Chemistry with Electronic Structure Methods, 2nd ed.; Gaussian: Pittsburgh, PA, USA, 1996. [Google Scholar]
- Chang, R. Chemistry, 7th ed.; McGraw-Hill: New York, NY, USA, 2001. [Google Scholar]
- Kosar, B.; Albayrak, C. Spectroscopic investigations and quantum chemical computational study of (E)-4-methoxy-2-[(p-tolylimino) methyl] phenol. Spectrochim. Acta 2011, 78, 160–167. [Google Scholar] [CrossRef] [PubMed]
- Koopmans, T.A. Ordering of wave functions and eigenenergies to the individual electrons of an atom. Physica 1933, 1, 104–113. [Google Scholar] [CrossRef]
- Parr, R.G.; Yang, W. Density—Functional Theory of Atoms and Molecules; Oxford University Press: New York, NY, USA, 1989. [Google Scholar]
- Parr, R.G.; Szentpaly, L.V.; Liu, S. Electrophilicity index. J. Am. Chem. Soc. 1999, 121, 1922–1924. [Google Scholar] [CrossRef]
- Hubert Joe, I.; Kostova, I.; Ravikumar, C.; Amalanathan, M.; Pinzaru, S.C. Theoretical and vibrational spectral investigation of sodium salt of acenocoumarol. J. Raman Spectrosc. 2009, 40, 1033–1038. [Google Scholar]
- Sebastian, S.; Sundaraganesan, N. The spectroscopic (FT-IR, FT-IR gas phase, FT-Raman and UV) and NBO analysis of 4-Hydroxypiperidine by density functional method. Spectrochim. Acta Part. A Mol. Biomol. Spectrosc. 2010, 75, 941–952. [Google Scholar] [CrossRef]















| 3 | 4 | |
|---|---|---|
| CCDC No. | 2101946 | 2101947 |
| Empirical formula | C19H16BrN5O2S | C17H11Cl2N5S |
| Formula weight (g/mol) | 458.34 | 388.27 |
| Temp (K) | 120(2) | 120(2) |
| Radiationλ(Å) | 1.54184 | 1.54184 |
| Crystal system | Triclinic | Tetragonal |
| Space group | P | I41/a |
| a (Å) | 5.9989(2) | 32.0004(4) |
| b (Å) | 12.1234(5) | 32.0004(4) |
| c (Å) | 13.6872(7) | 6.65620(10) |
| α(deg) | 74.972(4) | 90 |
| β (deg) | 81.734(4) | 90 |
| γ(deg) | 83.213(3) | 90 |
| V (Å3) | 947.98(7) | 6816.1(2) |
| Z | 2 | 16 |
| ρcalc (Mg/m3) | 1.606 | 1.513 |
| μ (mm−1) | 4.211 | 4.660 |
| No. reflns. | 9793 | 16833 |
| Unique reflns. | 3541 | 3538 |
| Completeness to θ = 67.684 | 100% | 99.9% |
| GOOF (F2) | 1.050 | 1.031 |
| Rint | 0.0332 | 0.0285 |
| R1a (I ≥ 2σ) | 0.0591 | 0.0315 |
| wR2b (I ≥2σ) | 0.1603 | 0.0818 |
| Atoms | Distance | Atoms | Distance | Atoms | Distance | Atoms | Distance |
| 3 | 4 | ||||||
| Br1–C3 | 1.905(4) | N3-N4 | 1.376(4) | Cl1-C1 | 1.7363(15) | N3–C8 | 1.339(2) |
| S1–C8 | 1.685(4) | N4–C9 | 1.298(5) | Cl2–C3 | 1.7350(16) | N3–N4 | 1.3743(18) |
| N1–C7 | 1.275(6) | N5–C17 | 1.367(5) | S1–C8 | 1.6757(16) | N3–H3 | 0.88(2) |
| N1–N2 | 1.387(5) | N5–C10 | 1.375(5) | N1–C7 | 1.264(2) | N4–C9 | 1.308(2) |
| N2–C8 | 1.386(5) | O1–C19 | 1.312(6) | N1–N2 | 1.3867(18) | N5–C17 | 1.371(2) |
| N2–C9 | 1.388(5) | O2–C19 | 1.220(6) | N2–C9 | 1.3838(19) | N5–C10 | 1.384(2) |
| N3–C8 | 1.332(5) | N2–C8 | 1.3883(19) | ||||
| Atoms | Angle | Atoms | Angle | Atoms | Angle | Atoms | Angle |
| C7–N1–N2 | 115.3(3) | C5–C6–C1 | 119.4(4) | C7–N1–N2 | 118.44(13) | C2–C1–C6 | 122.12(14) |
| C8–N2–N1 | 127.9(3) | C5–C6–C7 | 119.9(4) | C9–N2–N1 | 120.03(12) | C2–C1–Cl1 | 117.36(12) |
| C8–N2–C9 | 108.1(3) | C1–C6–C7 | 120.7(4) | C9–N2–C8 | 108.05(12) | C6–C1–Cl1 | 120.51(12) |
| N1–N2–C9 | 123.4(3) | N1–C7–C6 | 119.3(4) | N1–N2–C8 | 131.87(13) | C1–C2–C3 | 117.97(14) |
| C8–N3–N4 | 114.3(3) | C8–N3–N4 | 113.99(13) | ||||
| D–H···A | d(D–H) | d(H···A) | d(D···A) | <(DHA) |
|---|---|---|---|---|
| 3 | ||||
| N3–H3···S1#1 | 0.83 | 2.43 | 3.247(3) | 170 |
| N5–H5···O2#2 | 0.86 | 2.27 | 3.054(5) | 152 |
| C11–H11···N1 | 0.95 | 2.56 | 3.045(5) | 112 |
| O1–H1A···O2#3 | 0.89 | 1.77 | 2.662(5) | 174 |
| C18–H18C···N4#2 | 0.98 | 2.60 | 3.317(6) | 131 |
| #1−x, −y, −z + 1; #2−x + 1, −y, −z + 1; #3−x + 1, −y, −z | ||||
| 4 | ||||
| C7–H7···S1 | 0.95 | 2.38 | 3.1578(16) | 139 |
| C16–H16···Cl2#1 | 0.95 | 2.88 | 3.3819(17) | 114 |
| N5–H5···S1#2 | 0.86(2) | 2.52(2) | 3.3293(15) | 156(2) |
| N3–H3···N4#3 | 0.88(2) | 2.11(2) | 2.9751(19) | 166(2) |
| #1−y + 3/4,x + 1/4,z−7/4; #2y + 1/4, −x + 3/4, −z-1/4;#3−y + 3/4,x−1/4, −z−1/4 | ||||
| Contact | Distance (Å) | Contact | Distance (Å) |
|---|---|---|---|
| Br1···C19 | 3.421 | H15···C3 | 2.693 |
| S1···H3 | 2.252 | N4···H18C | 2.529 |
| C14···C10 | 3.297 | H2···H2 | 2.070 |
| C8···C11 | 3.388 | O2···H5 | 2.140 |
| C13···C9 | 3.324 | O1···H16 | 2.491 |
| Contact | Distance(Å) | Contact | Distance(Å) |
|---|---|---|---|
| Cl1···C17 | 3.239 | S1···N2 | 3.304 |
| Cl1···N5 | 3.217 | N4···H3 | 1.99 |
| Cl2···H16 | 2.829 | C9···C1 | 3.327 |
| S1···H5 | 2.389 | C3···C1 | 3.356 |
| S1···C9 | 3.328 |
| Gas | ||||
| 3 | 3T1 | 4 | 4T1 | |
| E | −3898.6836 | −3898.6572 | −2246.7638 | −2246.7377 |
| ZPVE a | 0.2646 | 0.2605 | 0.2553 | 0.2512 |
| Ecorr b | −3898.4190 | −3898.3968 | −2246.5084 | −2246.4865 |
| −13.9545 | −13.7464 | |||
| H | −3898.3983 | −3898.3757 | −2246.4868 | −2246.4644 |
| G | −3898.4711 | −3898.4492 | −2246.5615 | −2246.5401 |
| S | 153.1780 | 154.6190 | 157.2350 | 159.1760 |
| DMSO | ||||
| 3 | 3T1 | 4 | 4T1 | |
| E | −3898.6984 | −3898.6723 | −2246.7779 | −2246.7517 |
| ZPVE a | 0.2646 | 0.2602 | 0.2552 | 0.2510 |
| Ecorr b | −3898.4338 | −3898.4121 | −2246.5227 | −2246.5007 |
| −13.5900 | −13.8032 | |||
| H | −3898.4131 | −3898.3909 | −2246.5009 | −2246.4785 |
| G | −3898.4860 | −3898.4650 | −2246.5758 | −2246.5544 |
| S | 153.4790 | 155.9540 | 157.6420 | 159.9290 |
| Parameter | 3 | 4 |
|---|---|---|
| EHOMO | −5.5904 | −5.6320 |
| ELUMO | −2.1241 | −2.2858 |
| I | 5.5904 | 5.6320 |
| A | 2.1241 | 2.2858 |
| η | 3.4662 | 3.3462 |
| μ | −3.8572 | −3.9589 |
| ω | 2.1462 | 2.3419 |
| Donor NBO | Acceptor NBO | E(2)(kcal/mol) | Donor NBO | Acceptor NBO | E(2) (kcal/mol) |
|---|---|---|---|---|---|
| 3 | 4 | ||||
| σ→σ* | |||||
| BD(1)N5–N7 | BD*(1)C23–C24 | 5.92 | BD(1)N6–N7 | BD*(1)C21–C22 | 5.92 |
| BD(1)C19–C20 | BD*(1)N3–N4 | 5.46 | BD(1)C17–C18 | BD*(1)N4–N5 | 5.46 |
| BD(1)C25–C27 | BD*(1)C23–C24 | 6.99 | BD(1)C23–C25 | BD*(1)C21–C22 | 6.99 |
| BD(1)C32–C34 | BD*(1)N8–C36 | 6.20 | BD(1)C30–C32 | BD*(1)N8–C34 | 6.20 |
| π→π* | |||||
| BD(2)N3–C20 | BD*(2)C17–C19 | 7.7 | BD(2)N4–C18 | BD*(2)C9–C17 | 8.33 |
| BD(2)N7–C23 | BD*(2)C24–C25 | 9.26 | BD(2)N7–C21 | BD*(2)C22–C23 | 9.27 |
| BD(2)C10–C12 | BD*(2)C14–C15 | 20.99 | BD(2)C9–C17 | BD*(2)N4–C18 | 16.54 |
| BD(2)C10–C12 | BD*(2)C17–C19 | 18.5 | BD(2)C9–C17 | BD*(2)C10–C12 | 20.13 |
| BD(2)C14–C15 | BD*(2)C10–C12 | 17.71 | BD(2)C9–C17 | BD*(2)C13–C15 | 18.34 |
| BD(2)C14–C15 | BD*(2)C17–C19 | 19.41 | BD(2)C10–C12 | BD*(2)C9–C17 | 19.44 |
| BD(2)C17–C19 | BD*(2)N3–C20 | 20.6 | BD(2)C10–C12 | BD*(2)C13–C15 | 17.02 |
| BD(2)C17–C19 | BD*(2)C10–C12 | 19.53 | BD(2)C13–C15 | BD*(2)C9–C17 | 18.97 |
| BD(2)C17–C19 | BD*(2)C14–C15 | 21.31 | BD(2)C13–C15 | BD*(2)C10–C12 | 21.72 |
| BD(2)C24–C25 | BD*(2)N7–C23 | 22.24 | BD(2)C22–C23 | BD*(2)N7–C21 | 22.26 |
| BD(2)C24–C25 | BD*(2)C27–C36 | 15.59 | BD(2)C22–C23 | BD*(2)C25–C34 | 15.57 |
| BD(2)C27–C36 | BD*(2)C24–C25 | 19.79 | BD(2)C25–C34 | BD*(2)C26–C28 | 18.92 |
| BD(2)C27–C36 | BD*(2)C28–C30 | 18.95 | BD(2)C25–C34 | BD*(2)C30–C32 | 17.36 |
| BD(2)C27–C36 | BD*(2)C32–C34 | 17.4 | BD(2)C26–C28 | BD*(2)C25–C34 | 16.39 |
| BD(2)C28–C30 | BD*(2)C27–C36 | 16.37 | BD(2)C26–C28 | BD*(2)C30–C32 | 19.64 |
| BD(2)C28–C30 | BD*(2)C32–C34 | 19.65 | BD(2)C30–C32 | BD*(2)C25–C34 | 19.69 |
| BD(2)C32–C34 | BD*(2)C27–C36 | 19.67 | BD(2)C30–C32 | BD*(2)C26–C28 | 16.65 |
| BD(2)C32–C34 | BD*(2)C28–C30 | 16.64 | |||
| n→σ* | |||||
| LP(2)S2 | BD*(1)N4–C22 | 13.1 | LP(2)S3 | BD*(1)N5–C20 | 13.24 |
| LP(2)S2 | BD*(1)N5–C22 | 10.55 | LP(2)S3 | BD*(1)N6–C20 | 10.72 |
| LP(1)N3 | BD*(1)N4–C22 | 10.38 | LP(1)N4 | BD*(1)N5–C20 | 10.56 |
| LP(1)N3 | BD*(1)C20–H21 | 9.14 | LP(1)N4 | BD*(1)C18–H19 | 8.84 |
| LP(1)N7 | BD*(1)N4–C23 | 7.54 | LP(1)N7 | BD*(1)N5–C21 | 7.57 |
| LP(1)N7 | BD*(1)N5–C22 | 7.75 | LP(1)N7 | BD*(1)N6–C20 | 7.75 |
| n→π* | |||||
| LP(3)Br1 | BD*(2)C14–C15 | 10.2 | LP(3)Cl2 | BD*(2)C10–C12 | 12.94 |
| LP(1)N4 | BD*(2)N3–C20 | 19.62 | LP(1)N5 | BD*(2)N4–C18 | 20.68 |
| LP(1)N4 | BD*(2)N7–C23 | 43.94 | LP(1)N5 | BD*(2)N7–C21 | 43.50 |
| LP(1)N5 | BD*(2)N7–C23 | 25.96 | LP(1)N6 | BD*(2)N7–C21 | 26.00 |
| LP(1)N8 | BD*(2)C24–C25 | 36.66 | LP(1)N8 | BD*(2)C22–C23 | 36.73 |
| LP(1)N8 | BD*(2)C27–C36 | 37.44 | LP(1)N8 | BD*(2)C25–C34 | 37.44 |
Publisher’s Note: MDPI stays neutral with regard to jurisdictional claims in published maps and institutional affiliations. |
© 2021 by the authors. Licensee MDPI, Basel, Switzerland. This article is an open access article distributed under the terms and conditions of the Creative Commons Attribution (CC BY) license (https://creativecommons.org/licenses/by/4.0/).
Share and Cite
Boraei, A.T.A.; Soliman, S.M.; Haukka, M.; El Tamany, E.S.H.; Al-Majid, A.M.; Barakat, A. X-ray Single Crystal Structure, Tautomerism Aspect, DFT, NBO, and Hirshfeld Surface Analysis of a New Schiff Bases Based on 4-Amino-5-Indol-2-yl-1,2,4-Triazole-3-Thione Hybrid. Crystals 2021, 11, 1041. https://doi.org/10.3390/cryst11091041
Boraei ATA, Soliman SM, Haukka M, El Tamany ESH, Al-Majid AM, Barakat A. X-ray Single Crystal Structure, Tautomerism Aspect, DFT, NBO, and Hirshfeld Surface Analysis of a New Schiff Bases Based on 4-Amino-5-Indol-2-yl-1,2,4-Triazole-3-Thione Hybrid. Crystals. 2021; 11(9):1041. https://doi.org/10.3390/cryst11091041
Chicago/Turabian StyleBoraei, Ahmed T. A., Saied M. Soliman, Matti Haukka, El Sayed H. El Tamany, Abdullah Mohammed Al-Majid, and Assem Barakat. 2021. "X-ray Single Crystal Structure, Tautomerism Aspect, DFT, NBO, and Hirshfeld Surface Analysis of a New Schiff Bases Based on 4-Amino-5-Indol-2-yl-1,2,4-Triazole-3-Thione Hybrid" Crystals 11, no. 9: 1041. https://doi.org/10.3390/cryst11091041
APA StyleBoraei, A. T. A., Soliman, S. M., Haukka, M., El Tamany, E. S. H., Al-Majid, A. M., & Barakat, A. (2021). X-ray Single Crystal Structure, Tautomerism Aspect, DFT, NBO, and Hirshfeld Surface Analysis of a New Schiff Bases Based on 4-Amino-5-Indol-2-yl-1,2,4-Triazole-3-Thione Hybrid. Crystals, 11(9), 1041. https://doi.org/10.3390/cryst11091041

