Impact of Long-Term Annealing on Photoluminescence from Ge1−xSnx Alloys
Abstract
:1. Introduction
2. Materials and Methods
3. Results and Discussion
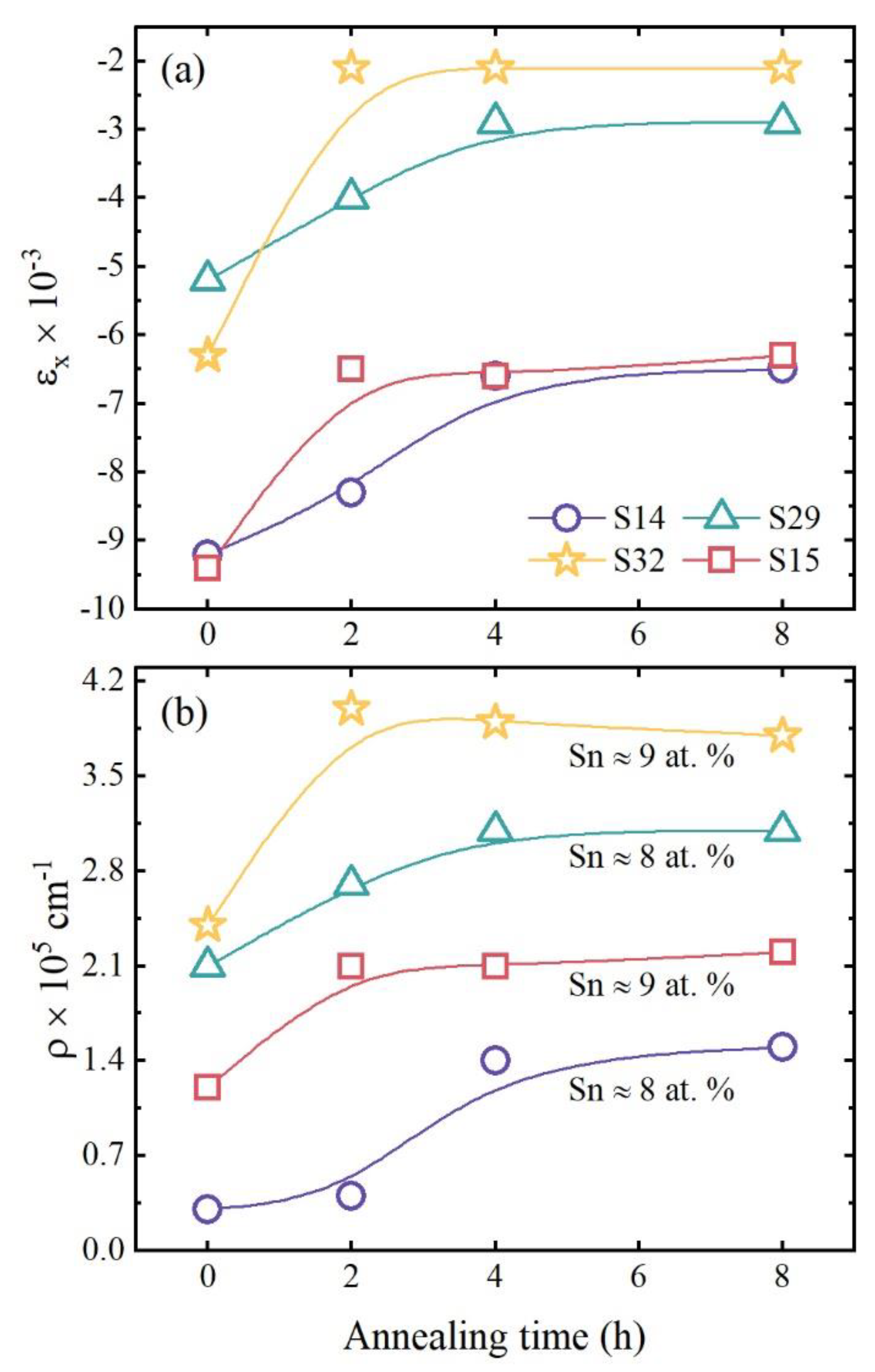
3.1. X-ray Diffraction Measurements
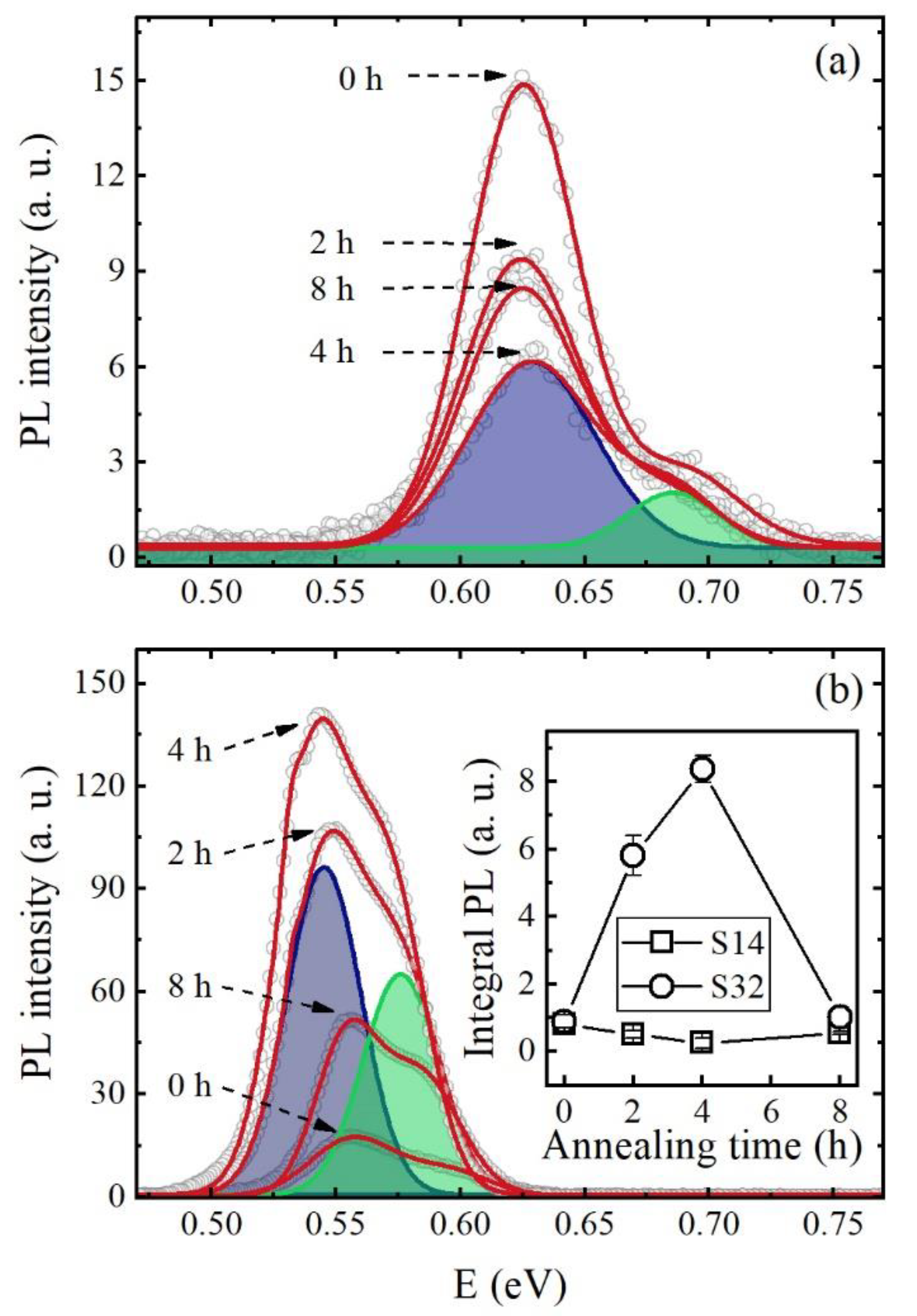
3.2. Photoluminescence from Samples with the Same Level of Strain but Different Sn Composition
3.3. Photoluminescence from Samples with the Same Sn Composition but Different Level of Strain and Measurement of ΔE
4. Conclusions
Supplementary Materials
Author Contributions
Funding
Conflicts of Interest
References
- Soref, R.A. Silicon-Based Optoelectronics. Proc. IEEE 1993, 81, 1687–1706. [Google Scholar] [CrossRef]
- Soref, R.A.; Friedman, L. Direct-Gap Ge/GeSn/Si and GeSn/Ge/Si Heterostructures. Superlattices Microstruct. 1993, 14, 189–193. [Google Scholar] [CrossRef]
- Tseng, H.H.; Wu, K.Y.; Li, H.; Mashanov, V.; Cheng, H.H.; Sun, G.; Soref, R.A. Mid-Infrared Electroluminescence from a Ge/Ge0.922Sn0.078/Ge Double Heterostructure p-i-n Diode on a Si Substrate. Appl. Phys. Lett. 2013, 102, 182106. [Google Scholar] [CrossRef]
- Homewood, K.P.; Lourenço, M.A. The Rise of the GeSn Laser. Nat. Photonics 2015, 9, 78–79. [Google Scholar] [CrossRef]
- Oehme, M.; Kostecki, K.; Schmid, M.; Oliveira, F.; Kasper, E.; Schulze, J. Epitaxial Growth of Strained and Unstrained GeSn Alloys up to 25% Sn. Thin Solid Films 2014, 557, 169–172. [Google Scholar] [CrossRef]
- Du, W.; Zhou, Y.; Ghetmiri, S.A.; Mosleh, A.; Conley, B.R.; Nazzal, A.; Soref, R.A.; Sun, G.; Tolle, J.; Margetis, J.; et al. Room-Temperature Electroluminescence from Ge/Ge1−XSnx/Ge Diodes on Si Substrates. Appl. Phys. Lett. 2014, 104, 241110. [Google Scholar] [CrossRef]
- Tseng, H.H.; Li, H.; Mashanov, V.; Yang, Y.J.; Cheng, H.H.; Chang, G.E.; Soref, R.A.; Sun, G. GeSn-Based p-i-n Photodiodes with Strained Active Layer on a Si Wafer. Appl. Phys. Lett. 2013, 103, 231907. [Google Scholar] [CrossRef]
- Alberi, K.; Blacksberg, J.; Bell, L.D.; Nikzad, S.; Yu, K.M.; Dubon, O.D.; Walukiewicz, W. Band Anticrossing in Highly Mismatched SnxGe1-x Semiconducting Alloys. Phys. Rev. B 2008, 77, 073202. [Google Scholar] [CrossRef]
- Kondratenko, S.V.; Hyrka, Y.V.; Mazur, Y.I.; Kuchuk, A.V.; Dou, W.; Tran, H.; Margetis, J.; Tolle, J.; Yu, S.-Q.; Salamo, G.J. Photovoltage Spectroscopy of Direct and Indirect Bandgaps of Strained Ge1-XSnx Thin Films on a Ge/Si(001) Substrate. Acta Mater. 2019, 171, 40–47. [Google Scholar] [CrossRef] [Green Version]
- Ghetmiri, S.A.; Du, W.; Conley, B.R.; Mosleh, A.; Nazzal, A.; Sun, G.; Soref, R.A.; Margetis, J.; Tolle, J.; Naseem, H.A.; et al. Shortwave-Infrared Photoluminescence from Ge1−xSnx Thin Films on Silicon. J. Vac. Sci. Technol. B 2014, 32, 060601. [Google Scholar] [CrossRef]
- Tonkikh, A.A.; Zakharov, N.D.; Suvorova, A.A.; Eisenschmidt, C.; Schilling, J.; Werner, P. Cubic Phase Sn-Rich GeSn Nanocrystals in a Ge Matrix. Cryst. Growth Des. 2014, 14, 1617–1622. [Google Scholar] [CrossRef]
- Wirths, S.; Buca, D.; Ikonic, Z.; Harrison, P.; Tiedemann, A.T.; Holländer, B.; Stoica, T.; Mussler, G.; Breuer, U.; Hartmann, J.M.; et al. SiGeSn Growth Studies Using Reduced Pressure Chemical Vapor Deposition towards Optoelectronic Applications. Thin Solid Film. 2014, 557, 183–187. [Google Scholar] [CrossRef] [Green Version]
- Senaratne, C.L.; Gallagher, J.D.; Aoki, T.; Kouvetakis, J.; Menéndez, J. Advances in Light Emission from Group-IV Alloys via Lattice Engineering and n-Type Doping Based on Custom-Designed Chemistries. Chem. Mater. 2014, 26, 6033–6041. [Google Scholar] [CrossRef]
- Mosleh, A.; Alher, M.; Cousar, L.C.; Du, W.; Ghetmiri, S.A.; Al-Kabi, S.; Dou, W.; Grant, P.C.; Sun, G.; Soref, R.A.; et al. Buffer-Free GeSn and SiGeSn Growth on Si Substrate Using In Situ SnD4 Gas Mixing. J. Electron. Mater. 2016, 45, 2051–2058. [Google Scholar] [CrossRef]
- Du, W.; Ghetmiri, S.A.; Conley, B.R.; Mosleh, A.; Nazzal, A.; Soref, R.A.; Sun, G.; Tolle, J.; Margetis, J.; Naseem, H.A.; et al. Competition of Optical Transitions between Direct and Indirect Bandgaps in Ge1−xSnx. Appl. Phys. Lett. 2014, 105, 051104. [Google Scholar] [CrossRef]
- Harris, T.R.; Ryu, M.-Y.; Yeo, Y.K.; Wang, B.; Senaratne, C.L.; Kouvetakis, J. Direct Bandgap Cross-over Point of Ge1-YSny Grown on Si Estimated through Temperature-Dependent Photoluminescence Studies. J. Appl. Phys. 2016, 120, 085706. [Google Scholar] [CrossRef]
- Stange, D.; Wirths, S.; von den Driesch, N.; Mussler, G.; Stoica, T.; Ikonic, Z.; Hartmann, J.M.; Mantl, S.; Grützmacher, D.; Buca, D. Optical Transitions in Direct-Bandgap Ge1–x Snx Alloys. ACS Photonics 2015, 2, 1539–1545. [Google Scholar] [CrossRef] [Green Version]
- Stanchu, H.V.; Kuchuk, A.V.; Mazur, Y.I.; Pandey, K.; de Oliveira, F.M.; Benamara, M.; Teodoro, M.D.; Yu, S.-Q.; Salamo, G.J. Quantitative Correlation Study of Dislocation Generation, Strain Relief, and Sn Outdiffusion in Thermally Annealed GeSn Epilayers. Cryst. Growth Des. 2021, 21, 1666–1673. [Google Scholar] [CrossRef]
- Du, W.; Ghetmiri, S.A.; Margetis, J.; Al-Kabi, S.; Zhou, Y.; Liu, J.; Sun, G.; Soref, R.A.; Tolle, J.; Li, B.; et al. Investigation of Optical Transitions in a SiGeSn/GeSn/SiGeSn Single Quantum Well Structure. J. Appl. Phys. 2017, 122, 123102. [Google Scholar] [CrossRef]
- Cannon, D.D.; Liu, J.; Ishikawa, Y.; Wada, K.; Danielson, D.T.; Jongthammanurak, S.; Michel, J.; Kimerling, L.C. Tensile Strained Epitaxial Ge Films on Si(100) Substrates with Potential Application in L-Band Telecommunications. Appl. Phys. Lett. 2004, 84, 906–908. [Google Scholar] [CrossRef]
- Stanchu, H.; Kuchuk, A.V.; Mazur, Y.I.; Margetis, J.; Tolle, J.; Richter, J.; Yu, S.-Q.; Salamo, G.J. X-Ray Diffraction Study of Strain Relaxation, Spontaneous Compositional Gradient, and Dislocation Density in GeSn/Ge/Si(100) Heterostructures. Semicond. Sci. Technol. 2020, 35, 075009. [Google Scholar] [CrossRef]
- De Kersauson, M.; Jakomin, R.; El Kurdi, M.; Beaudoin, G.; Zerounian, N.; Aniel, F.; Sauvage, S.; Sagnes, I.; Boucaud, P. Direct and Indirect Band Gap Room Temperature Electroluminescence of Ge Diodes. J. Appl. Phys. 2010, 108, 023105. [Google Scholar] [CrossRef] [Green Version]
- Sun, X.; Liu, J.; Kimerling, L.C.; Michel, J. Direct Gap Photoluminescence of n -Type Tensile-Strained Ge-on-Si. Appl. Phys. Lett. 2009, 95, 011911. [Google Scholar] [CrossRef]
- Pezzoli, F.; Giorgioni, A.; Patchett, D.; Myronov, M. Temperature-Dependent Photoluminescence Characteristics of GeSn Epitaxial Layers. ACS Photonics 2016, 3, 2004–2009. [Google Scholar] [CrossRef]
- Zelazna, K.; Wełna, M.; Misiewicz, J.; Dekoster, J.; Kudrawiec, R. Temperature Dependence of Energy Gap of Ge1−xSnx Alloys with x < 0.11 Studied by Photoreflectance. J. Phys. D Appl. Phys. 2016, 49, 235301. [Google Scholar] [CrossRef]
- Matthews, J.W.; Blakeslee, A.E. Defects in Epitaxial Multilayers. I. Misfit Dislocations. J. Cryst. Growth 1974, 27, 118–125. [Google Scholar] [CrossRef]
- Wang, W.; Zhou, Q.; Dong, Y.; Tok, E.S.; Yeo, Y.-C. Critical Thickness for Strain Relaxation of Ge1−xSnx (x ≤ 0.17) Grown by Molecular Beam Epitaxy on Ge(001). Appl. Phys. Lett. 2015, 106, 232106. [Google Scholar] [CrossRef]
- People, R.; Bean, J.C. Calculation of Critical Layer Thickness versus Lattice Mismatch for GexSi1−x/Si Strained-layer Heterostructures. Appl. Phys. Lett. 1985, 47, 322–324. [Google Scholar] [CrossRef]








| Laser Wavelength (nm) | Spot Diameter (µm) | Average Power (mW) | Average Power Density (kW/cm2) | Excitation Carrier Density (Photon/s/cm2) | Penetration Depth (nm) |
|---|---|---|---|---|---|
| 532 | 64 | 500 | 15 | 4.1 × 1019 | ~100 |
| 1064 | 51 | 300 | 6 | 3.5 × 1022 | ~900 |
Publisher’s Note: MDPI stays neutral with regard to jurisdictional claims in published maps and institutional affiliations. |
© 2021 by the authors. Licensee MDPI, Basel, Switzerland. This article is an open access article distributed under the terms and conditions of the Creative Commons Attribution (CC BY) license (https://creativecommons.org/licenses/by/4.0/).
Share and Cite
Olorunsola, O.; Stanchu, H.; Ojo, S.; Pandey, K.; Said, A.; Margetis, J.; Tolle, J.; Kuchuk, A.; Mazur, Y.I.; Salamo, G.; et al. Impact of Long-Term Annealing on Photoluminescence from Ge1−xSnx Alloys. Crystals 2021, 11, 905. https://doi.org/10.3390/cryst11080905
Olorunsola O, Stanchu H, Ojo S, Pandey K, Said A, Margetis J, Tolle J, Kuchuk A, Mazur YI, Salamo G, et al. Impact of Long-Term Annealing on Photoluminescence from Ge1−xSnx Alloys. Crystals. 2021; 11(8):905. https://doi.org/10.3390/cryst11080905
Chicago/Turabian StyleOlorunsola, Oluwatobi, Hryhorii Stanchu, Solomon Ojo, Krishna Pandey, Abdulla Said, Joe Margetis, John Tolle, Andrian Kuchuk, Yuriy I. Mazur, Gregory Salamo, and et al. 2021. "Impact of Long-Term Annealing on Photoluminescence from Ge1−xSnx Alloys" Crystals 11, no. 8: 905. https://doi.org/10.3390/cryst11080905
APA StyleOlorunsola, O., Stanchu, H., Ojo, S., Pandey, K., Said, A., Margetis, J., Tolle, J., Kuchuk, A., Mazur, Y. I., Salamo, G., & Yu, S.-Q. (2021). Impact of Long-Term Annealing on Photoluminescence from Ge1−xSnx Alloys. Crystals, 11(8), 905. https://doi.org/10.3390/cryst11080905

