From Bend to Splay Dominated Elasticity in Nematics
Abstract
1. Introduction
2. Materials and Methods
2.1. Theoretical Framework
2.2. Interaction Potential and Model Details
2.3. Numerical Procedure
2.4. Frames of Reference
2.5. Orientational Order Parameters
3. Results and Discussion
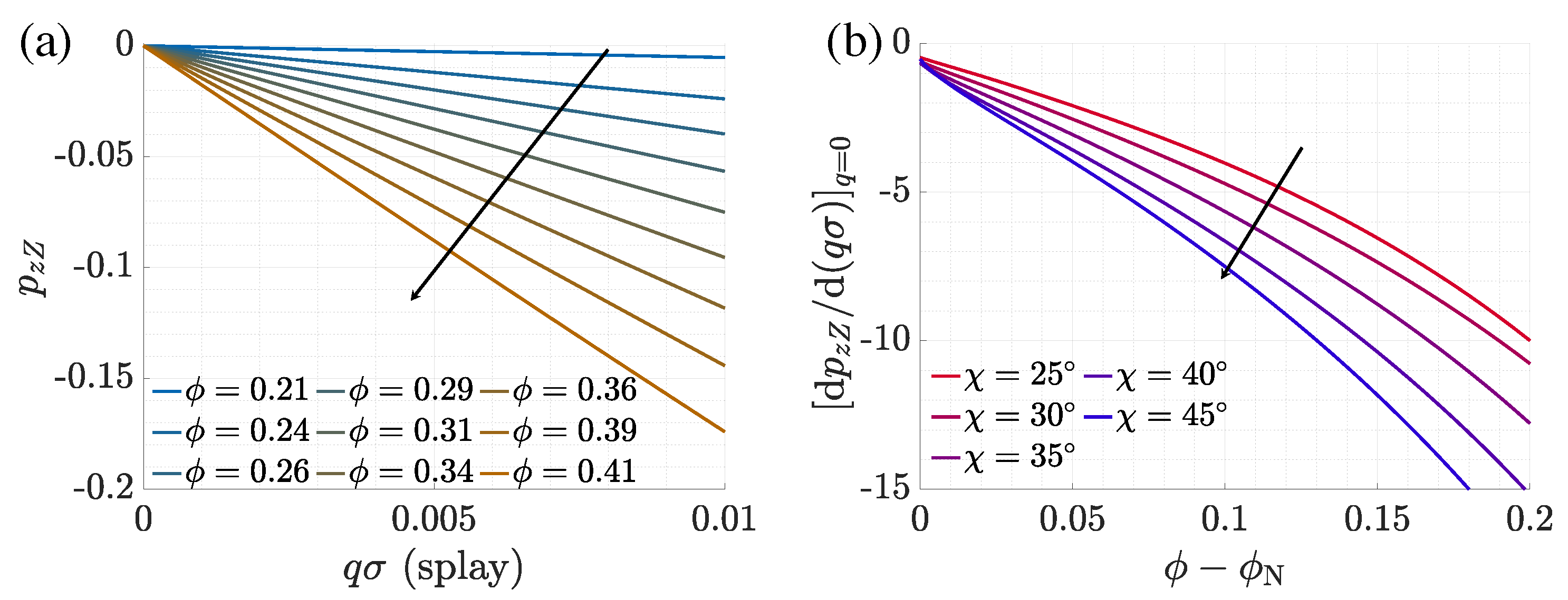
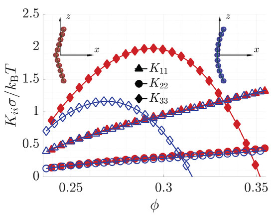
3.1. Acute Angle Particles
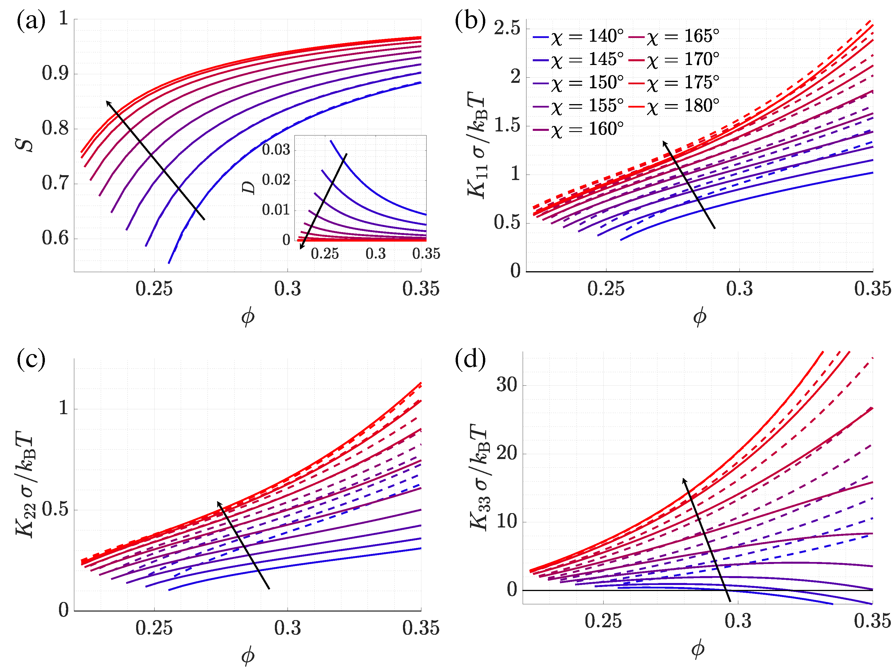
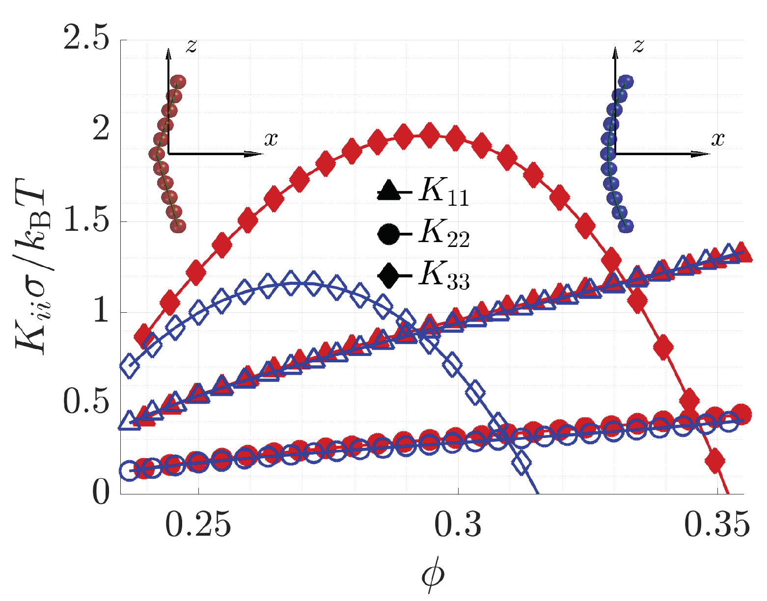
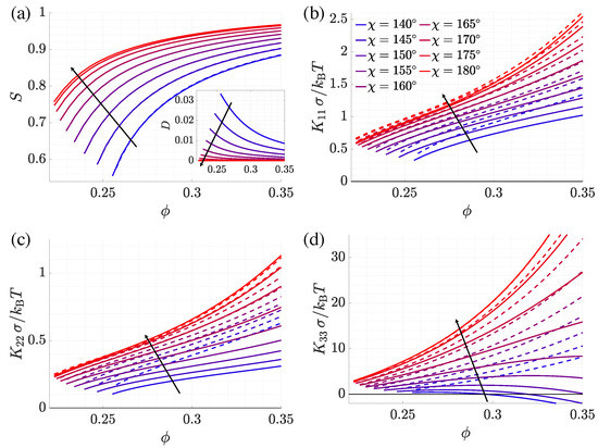
3.2. Obtuse Angle Particles
4. Conclusions
Author Contributions
Funding
Conflicts of Interest
References
- Oseen, C.W. The theory of liquid crystals. Trans. Faraday Soc. 1933, 29, 883–899. [Google Scholar] [CrossRef]
- Frank, F.C. I. Liquid crystals. On the theory of liquid crystals. Discuss. Faraday Soc. 1958, 25, 19–28. [Google Scholar] [CrossRef]
- Selinger, J.V. Director Deformations, Geometric Frustration, and Modulated Phases in Liquid Crystals. arXiv 2021, arXiv:2103.03803. [Google Scholar]
- Helfrich, W. Inherent Bounds to the Elasticity and Flexoelectricity of Liquid Crystals. Molec. Cryst. Liq. Cryst. 1971, 26, 1–5. [Google Scholar] [CrossRef]
- Meyer, R.B. Structural Problems in Liquid Crystal Physics. In Molecular Fluids (Les Houches Summer School in Theoretical Physics, 1973); R. Balian, G.W., Ed.; Gordon and Breach: New York, NY, USA, 1976; pp. 271–343. [Google Scholar]
- Gruler, H. Elastic properties of the nematic phase influenced by molecular properties. J. Chem. Phys. 1975, 61, 5408–5412. [Google Scholar] [CrossRef]
- Dozov, I. On the spontaneous symmetry breaking in the mesophases of achiral banana-shaped molecules. Europhys. Lett. 2001, 56, 247–253. [Google Scholar] [CrossRef]
- DiLisi, G.; Rosenblatt, C.; Griffin, A. Bend elastic modulus of a bent and a straight dimeric liquid crystal. J. Phys. II (France) 1992, 3, 1065–1071. [Google Scholar] [CrossRef][Green Version]
- Dodge, M.R.; Rosenblatt, C.; Petschek, R.G.; Neubert, M.E.; Walsh, M.E. Bend elasticity of mixtures of V-shaped molecules in ordinary nematogens. Phys. Rev. E 2000, 62, 5056–5063. [Google Scholar] [CrossRef]
- Kundu, B.; Pratibha, R.; Madhusudana, N.V. Anomalous temperature dependence of elastic constants in the nematic phase of binary mixtures made of rodlike and bent-core molecules. Phys. Rev. Lett. 2007, 99, 247802. [Google Scholar] [CrossRef]
- Sathyanarayana, P.; Mathew, M.; Li, Q.; Sastry, V.S.S.; Kundu, B.; Le, K.V.; Takezoe, H.; Dhara, S. Splay bend elasticity of a bent-core nematic liquid crystal. Phys. Rev. E 2010, 81, 050701(R). [Google Scholar] [CrossRef]
- Tadapatri, P.; Hiremath, U.S.; Yelamaggad, C.V.; Krishnamurthy, K.S. Permittivity, Conductivity, Elasticity, and Viscosity Measurements in the Nematic Phase of a Bent-Core Liquid Crystal. J. Phys. Chem. B 2010, 2010, 1745–1750. [Google Scholar] [CrossRef]
- Majumdar, M.; Salamon, P.; Jaakli, A.; Gleeson, J.T.; Sprunt, S. Elastic constants and orientational viscosities of a bent-core nematic liquid crystal. Phys. Rev. E 2011, 83, 031701. [Google Scholar] [CrossRef]
- Salter, P.S.; Tschierske, C.; Elston, S.J.; Raynes, E.P. Flexoelectric measurements of a bent-core nematic liquid crystal. Phys. Rev. E 2011, 84, 031708. [Google Scholar] [CrossRef]
- Adlem, K.; Copic, M.; Luckhurst, G.R.; Mertelj, A.; Parri, O.; Richardson, R.M.; Snow, B.D.; Timimi, B.A.; Tuffin, R.P.; Wilkes, D. Chemically induced twiat-bend nematic liquid crystals, liquid crystal dimers, and negative elastic constants. Phys. Rev. E 2013, 81, 022503. [Google Scholar] [CrossRef]
- Balachandran, R.; Panov, V.; Vij, J.; Kocot, A.; Tamba, M.; Kohlmeier, A.; Mehl, G. Elastic properties of bimesogenic liquid crystals. Liq. Cryst. 2013, 40, 681–688. [Google Scholar] [CrossRef]
- Babakhanova, G.; Parsouzi, Z.; Paladugu, S.; Wang, H.; Nastishin, Y.A.; Shiyanovskii, S.V.; Sprunt, S.; Lavrentovich, O.D. Elastic and viscous properties of the nematic dimer CB7CB. Phys. Rev. E 2017, 96, 062704. [Google Scholar] [CrossRef] [PubMed]
- Cestari, M.; Frezza, E.; Ferrarini, A.; Luckhurst, G.R. Crucial role of molecular curvature for the bend elastic and exoelectric properties of liquid crystals: Mesogenic dimers as a case study. J. Mater. Chem. 2011, 21, 12303–12308. [Google Scholar] [CrossRef]
- Borshch, V.; Kim, Y.K.; Xiang, J.; Gao, M.; Jakli, A.; Panov, V.P.; Vij, J.K.; Imrie, C.T.; Tamba, M.G.; Mehl, G.H.; et al. Nematic twist-bend phase with nanoscale modulation of molecular orientation. Nat. Commun. 2013, 4, 2635. [Google Scholar] [CrossRef] [PubMed]
- Chen, D.; Porada, J.H.; Hooper, J.B.; Klittnick, A.; Shen, Y.; Tuchband, M.R.; Korblova, E.; Bedrov, D.; Walba, D.M.; Glaser, M.A.; et al. Chiral heliconical ground state of nanoscale pitch in a nematic liquid crystal of achiral molecular dimers. Proc. Natl. Acad. Sci. USA 2013, 113, 15931–15936. [Google Scholar] [CrossRef] [PubMed]
- Chen, D.; Nakata, M.; Shao, R.; Tuchband, M.R.; Shuai, M.; Baumeister, U.; Weissflog, W.; Walba, D.M.; Glaser, M.A.; Maclennan, J.E.; et al. Twist-bend heliconical chiral nematic liquid crystal phase of an achiral rigid bent-core mesogen. Phys. Rev. E 2014, 89, 022506. [Google Scholar] [CrossRef] [PubMed]
- Meyer, C.; Blanc, C.; Luckhurst, G.R.; Davidson, P.; Dozov, I. Biaxiality-driven twist-bend to splay-bend nematic phase transition induced by an electric field. Sci. Adv. 2020, 6, eabb8212. [Google Scholar] [CrossRef]
- Fernández-Rico, C.; Chiappini, M.; Yanagishima, T.; de Sousa, H.; Aarts, D.G.A.L.; Dijkstra, M.; Dullens, R.P.A. Shaping colloidal bananas to reveal biaxial, splay-bend nematic, and smectic phases. Science 2020, 369, 950. [Google Scholar] [CrossRef]
- Jákli, A.; Lavrentovich, O.D.; Selinger, J.V. Physics of liquid crystals of bent-shaped molecules. Rev. Mod. Phys. 2018, 90, 045004. [Google Scholar] [CrossRef]
- Shamid, S.M.; Dhakal, S.; Selinger, J.V. Statistical mechanics of bend flexoelectricity and the twist-bend phase in bent-core liquid crystals. Phys. Rev. E 2013, 87, 052503. [Google Scholar] [CrossRef]
- Cestari, M.; Diez-Berart, S.; Dunmur, D.A.; Ferrarini, A.; de la Fuente, M.R.; Jackson, D.J.B.; Lopez, D.O.; Luckhurst, G.R.; Perez-Jubindo, M.A.; Richardson, R.M.; et al. Phase behavior and properties of the liquid-crystal dimer 1”,7”-bis(4-cyano- biphenyl-4’-yl) heptane: A twist-bend nematic liquid crystal. Phys. Rev. E 2011, 84, 031704. [Google Scholar] [CrossRef] [PubMed]
- Greco, C.; Marini, A.; Frezza, E.; Ferrarini, A. From the Molecular Structure to Spectroscopic and Material Properties: Computational Investigation of a Bent-Core Nematic Liquid Crystal. ChemPhysChem 2014, 15, 1336–1344. [Google Scholar] [CrossRef] [PubMed]
- De Gregorio, P.; Frezza, E.; Greco, C.; Ferrarini, A. Density functional theory of nematic elasticity: Softening from the polar order. Soft Matter 2016, 12, 5188–5198. [Google Scholar] [CrossRef]
- Osipov, M.; Pajak, G. Effect of polar intermolecular interactions on the elastic constants of bent-core nematics and the origin of the twist-bend phase. Eur. Phys. J. E 2016, 39, 45. [Google Scholar] [CrossRef] [PubMed]
- Kaur, S.; Liu, H.; Addis, J.; Greco, C.; Ferrarini, A.; Goertz, V.; Goodby, J.W.; Gleeson, H.F. The influence of structure on the elastic, optical and dielectric properties of nematic phases formed from bent-core molecules. J. Mater. Chem. C 2013, 1, 6667–66676. [Google Scholar] [CrossRef][Green Version]
- Kaur, S.; Tian, L.; Liu, H.; Greco, C.; Ferrarini, A.; Seltmann, J.; Lehmann, M.; Gleeson, H.F. The elastic and optical properties of a bent-core thiadiazole nematic liquid crystal: The role of the bend angle. J. Mater. Chem. C 2013, 1, 2416–2425. [Google Scholar] [CrossRef]
- Srigengan, S.; Nagaraj, M.; Ferrarini, A.; Mandle, R.; Cowling, S.J.; Osipov, M.A.; Pajak, G.; Goodby, J.W.; Gleeson, H.F. Anomalously low twist and bend elastic constants in an oxadiazole—based bent—Core nematic liquid crystal and its mixtures; contributions of spontaneous chirality and polarity. J. Mater. Chem. C 2018, 6, 980–988. [Google Scholar] [CrossRef]
- Dhakal, S.; Selinger, J.V. Statistical mechanics of splay flexoelectricity in nematic liquid crystals. Phys. Rev. E 2010, 81, 031704. [Google Scholar] [CrossRef]
- Somoza, A.M.; Tarazona, P. Density functional theory of the elastic constants of a nematic liquid crystal. Molec. Phys. 1991, 72, 911–926. [Google Scholar] [CrossRef]
- Kang, S.; Lee, E.W.; Li, T.; Liang, X.; Tokita, M.; Nakajima, K.; Watanabe, J. Two-Dimensional Skyrmion Lattice Formation in a Nematic Liquid Crystal Consisting of Highly Bent Banana Molecules. Angew. Chem. Int. Ed. 2016, 55, 11552–11556. [Google Scholar] [CrossRef]
- Li, B.X.; Nastishin, Y.A.; Gao, H.W.M.; Paladugu, S.; Li, R.; Fukuto, M.; Li, Q.; Shiyanovskii, S.V.; Lavrentovich, O.D. Liquid crystal phases with unusual structures and physical properties formed by acute-angle bent core molecules. Phys. Rev. Res. 2020, 2, 033371. [Google Scholar] [CrossRef]
- Revignas, D.; Ferrarini, A. Interplay of Particle Morphology and Director Distortions in Nematic Fluids. Phys. Rev. Lett. 2020, 125, 267802. [Google Scholar] [CrossRef] [PubMed]
- Revignas, D.; Ferrarini, A. Microscopic modelling of nematic elastic constants beyond Straley theory. J. Chem. Phys. 2021. submitted. [Google Scholar]
- Straley, J. Frank elastic constants of the hard-rod liquid crystal. Phys. Rev. A 1973, 8, 2181. [Google Scholar] [CrossRef]
- Onsager, L. The effects of shape on the interaction of colloidal particles. Ann. N. Y. Acad. Sci. 1949, 51, 627–659. [Google Scholar] [CrossRef]
- Parsons, J.D. Nematic ordering in a system of rods. Phys. Rev. A 1979, 19, 1225–1230. [Google Scholar] [CrossRef]
- Lee, S.D. A numerical investigation of nematic ordering based on a simple hard-rod model. J. Chem. Phys. 1987, 87, 4972–4974. [Google Scholar] [CrossRef]
- Varga, S.; Szalai, I. Modified parsons-lee theory for fluids of linear fused hard sphere chains. Mol. Phys. 2000, 98, 693–698. [Google Scholar] [CrossRef]
- McQuarrie, D.A. Statistical Mechanics; Harper & Row: New York, NY, USA, 1976. [Google Scholar]
- Priest, R.G. Theory of the Frank Elastic Constants of Nematic Liquid Crystals. Phys. Rev. A 1973, 7, 720–729. [Google Scholar] [CrossRef]
- Gelbart, W.M.; Ben-Shaul, A. Molecular theory of curvature elasticity in nematic liquids. J. Chem. Phys. 1982, 77, 916–933. [Google Scholar] [CrossRef]
- Sanner, M.F.; Olson, A.J.; Spehner, J.C. Reduced surface: An efficient way to compute molecular surfaces. Biopolymers 1996, 38, 305–320. [Google Scholar] [CrossRef]
- Press, W.H.; Flannery, B.P.; Teukolsky, S.A.; Vetterling, W.T. Numerical Recipes: The Art of Scientific Computing; Cambridge University Press: Cambridge, UK, 1986. [Google Scholar]
- Lagarias, J.C.; Reeds, J.A.; Wright, M.H.; Wright, P.E. Convergence properties of the Nelder–Mead simplex method in low dimensions. SIAM J. Optim. 1998, 9, 112–147. [Google Scholar] [CrossRef]
- MATLAB. 9.2.0.538062 (R2017a); The MathWorks Inc.: Natick, MA, USA, 2017. [Google Scholar]
- Luckhurst, G.R.; Sluckin, T.J. Biaxial Nematic Liquid Crystals; John Wiley & Sons Ltd.: Chichester, UK, 2015. [Google Scholar]
- Chiappini, M.; Drwenski, T.; van Roij, R.; Dijkstra, M. Biaxial, Twist-bend, and Splay-bend Nematic Phases of Banana-shaped Particles Revealed by Lifting the “Smectic Blanket”. Phys. Rev. Lett. 2019, 123, 068001. [Google Scholar] [CrossRef] [PubMed]
- Luckhurst, G.R.; Zannoni, C.; Nordio, P.L.; Segre, U. A molecular field theory for uniaxial nematic liquid crystals formed by non-cylindrically symmetric molecules. Molec. Phys. 1975, 30, 1345–1358. [Google Scholar] [CrossRef]
- Ericksen, J.L. Inequalities in Liquid Crystal Theory. Phys. Fluids 1966, 9, 1205–1207. [Google Scholar] [CrossRef]
- Greco, C.; Ferrarini, A. Entropy-Driven Chiral Order in a System of Achiral Bent Particles. Phys. Rev. Lett. 2015, 115, 147801. [Google Scholar] [CrossRef]
- Lansac, Y.; Maiti, P.K.; Clark, N.A.; Glaser, M.A. Phase behavior of bent-core molecules. Phys. Rev. E 2003, 67, 011703. [Google Scholar] [CrossRef]
- Musevic, I. Liquid Crystal Colloids; Springer: Cham, Switzerland, 2017. [Google Scholar]
- Smalyukh, I. Review: Knots and other new topological effects in liquid crystals and colloids. Rep. Prog. Phys. 2020, 83, 106601. [Google Scholar] [CrossRef] [PubMed]
- Kumar, N.; Zhang, R.; De Pablo, J.J.; Gardel, M.L. Tunable structure and dynamics of active liquid crystals. Sci. Adv. 2018, 4, eaat7779. [Google Scholar] [CrossRef] [PubMed]









| Particle | M | |||||
|---|---|---|---|---|---|---|
| Acute angle V-shaped | 20 | 25 | 10.777 | 13.892 | 0.190 | 0.198 |
| 20 | 30 | 10.842 | 12.449 | 0.196 | 0.202 | |
| 20 | 35 | 10.887 | 12.364 | 0.200 | 0.204 | |
| 20 | 40 | 10.925 | 12.486 | 0.205 | 0.208 | |
| 20 | 45 | 10.956 | 12.505 | 0.211 | 0.213 | |
| Obtuse angle V-shaped | 10 | 140 | 5.760 | 6.485 | 0.247 | 0.255 |
| 10 | 145 | 5.760 | 6.485 | 0.236 | 0.246 | |
| 10 | 150 | 5.760 | 6.485 | 0.228 | 0.239 | |
| 10 | 155 | 5.760 | 6.485 | 0.220 | 0.233 | |
| 10 | 160 | 5.760 | 6.485 | 0.213 | 0.229 | |
| 10 | 165 | 5.760 | 6.485 | 0.208 | 0.225 | |
| 10 | 170 | 5.760 | 6.485 | 0.204 | 0.223 | |
| 10 | 175 | 5.760 | 6.485 | 0.201 | 0.221 | |
| Rod-like | 10 | 180 | 5.760 | 6.485 | 0.200 | 0.221 |
| Curved | 10 | 155 | 5.760 | 6.485 | 0.225 | 0.236 |
| Tripodal | 30 | 25 | 15.703 | 20.091 | 0.227 | 0.234 |
Publisher’s Note: MDPI stays neutral with regard to jurisdictional claims in published maps and institutional affiliations. |
© 2021 by the authors. Licensee MDPI, Basel, Switzerland. This article is an open access article distributed under the terms and conditions of the Creative Commons Attribution (CC BY) license (https://creativecommons.org/licenses/by/4.0/).
Share and Cite
Revignas, D.; Ferrarini, A. From Bend to Splay Dominated Elasticity in Nematics. Crystals 2021, 11, 831. https://doi.org/10.3390/cryst11070831
Revignas D, Ferrarini A. From Bend to Splay Dominated Elasticity in Nematics. Crystals. 2021; 11(7):831. https://doi.org/10.3390/cryst11070831
Chicago/Turabian StyleRevignas, Davide, and Alberta Ferrarini. 2021. "From Bend to Splay Dominated Elasticity in Nematics" Crystals 11, no. 7: 831. https://doi.org/10.3390/cryst11070831
APA StyleRevignas, D., & Ferrarini, A. (2021). From Bend to Splay Dominated Elasticity in Nematics. Crystals, 11(7), 831. https://doi.org/10.3390/cryst11070831

