Characterization of Proton-Irradiated Polyaniline Nanoparticles Using Terahertz Thermal Spectroscopy
Abstract
:1. Introduction
2. Materials and Methods
2.1. PANI Particles and Proton Beam Irradiation
2.2. Terahertz Thermal Spectroscopy
3. Results
3.1. Visible Spectroscopy of PANI
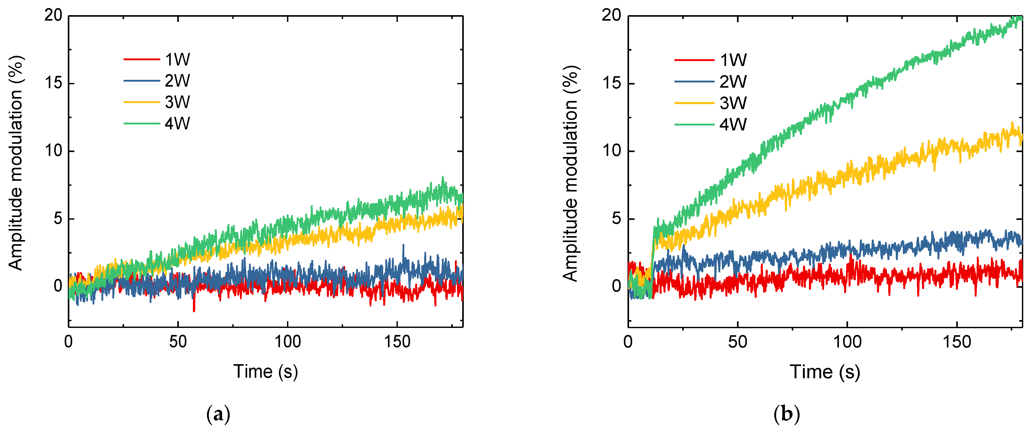
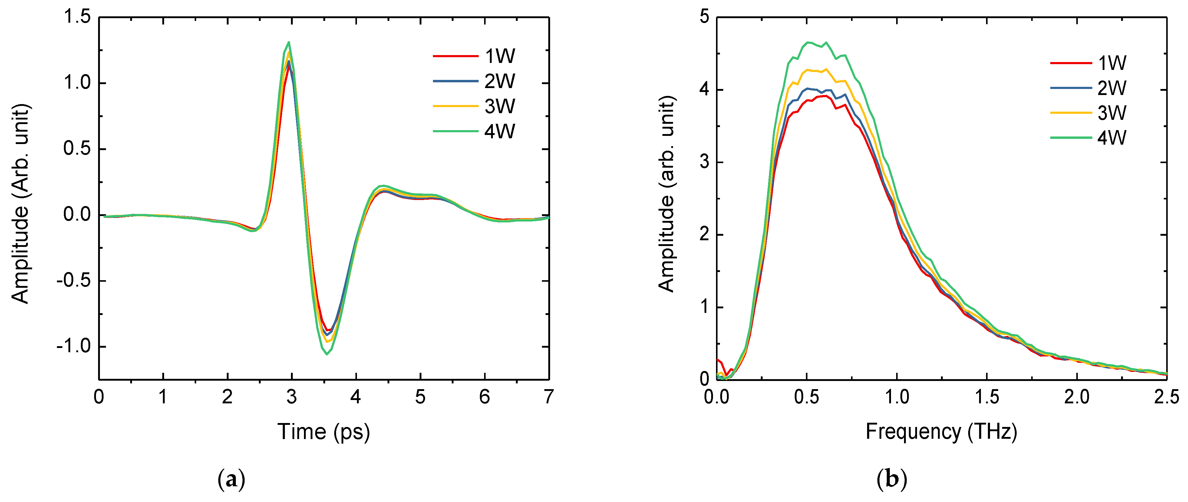
3.2. THz Thermal Spectroscopy of PANI
4. Conclusions
Author Contributions
Funding
Acknowledgments
Conflicts of Interest
References
- Kim, J.H.; Hahn, E.W.; Ahmed, S.A. Combination hyperthermia and radiation therapy for malignant melanoma. Cancer 1982, 50, 478–482. [Google Scholar] [CrossRef]
- Overgaard, J. Simultaneous and sequential hyperthermia and radiation treatment of an experimental tumor and its surrounding normal tissue in vivo. Int. J. Radiat. Oncol. Biol. Phys. 1980, 6, 1507–1517. [Google Scholar] [CrossRef]
- Overgaard, J. The current and potential role of hyperthermia in radiotherapy. Int. J. Radiat. Oncol. Biol. Phys. 1989, 16, 535–549. [Google Scholar] [CrossRef]
- Chatterjee, D.K.; Diagardjane, P.; Krishnan, S. Nanoparticle-mediated hyperthermia in cancer therapy. Ther. Deliv. 2011, 2, 1001–1014. [Google Scholar] [CrossRef] [PubMed] [Green Version]
- Yang, J.; Choi, J.; Bang, D.; Kim, E.; Lim, E.-K.; Park, H.; Suh, J.-S.; Lee, K.; Yoo, K.-H.; Kim, E.-K.; et al. Convertible organic nanoparticles for near-infrared photothermal ablation of cancer cells. Angew. Chem. Int. Ed. 2011, 50, 441–444. [Google Scholar] [CrossRef] [PubMed]
- Hong, Y.; Cho, W.; Kim, J.; Hwng, S.; Lee, E.; Heo, D.; Ku, M.; Suh, J.-S.; Yang, J.; Kim, J.H. Photothermal ablation of cancer cells using self-doped polyaniline nanoparticles. Nanotechnology 2016, 27, 185104. [Google Scholar] [CrossRef] [PubMed]
- Bae, S.R.; Choi, J.; Kim, H.O.; Kang, B.; Kim, M.H.; Han, S.; Noh, I.; Lim, J.-W.; Suh, J.-S.; Huh, Y.-M.; et al. Pseudo metal generation via catalytic oxidative polymerization on the surface of reactive template for redox switched off–on photothermal therapy. J. Mater. Chem. B 2015, 3, 505–513. [Google Scholar] [CrossRef] [PubMed]
- Son, J.-H. Terahertz Biomedical Science and Technology; CRC Press: Boca Raton, FL, USA, 2014. [Google Scholar]
- Son, J.-H. Terahertz electromagnetic interactions with biological matter and their applications. J. Appl. Phys. 2009, 105. [Google Scholar] [CrossRef]
- Oh, S.J.; Kang, J.; Maeng, I.; Suh, J.S.; Huh, Y.M.; Haam, S.; Son, J.-H. Nanoparticle-enabled terahertz imaging for cancer diagnosis. Opt. Exp. 2009, 17, 3469–3475. [Google Scholar] [CrossRef] [PubMed]
- Oh, S.J.; Choi, J.; Maeng, I.; Park, J.Y.; Lee, K.; Huh, Y.M.; Haam, S.; Suh, J.-S.; Son, J.H. Molecular imaging with terahertz waves. Opt. Exp. 2011, 19, 4009–4016. [Google Scholar] [CrossRef] [PubMed]
- Kh, M.U.; Kim, G.; Kim, K.; Kassim, H.B.A.; Nikouravan, B. Investigations of proton beam energy of the MC-50 cyclotron at KIRAMS. Int. J. Phys. Sci. 2011, 6, 3168–3174. [Google Scholar]





Publisher’s Note: MDPI stays neutral with regard to jurisdictional claims in published maps and institutional affiliations. |
© 2021 by the authors. Licensee MDPI, Basel, Switzerland. This article is an open access article distributed under the terms and conditions of the Creative Commons Attribution (CC BY) license (https://creativecommons.org/licenses/by/4.0/).
Share and Cite
Oh, S.J.; Hong, Y.; Jeong, K.-Y.; Maeng, I.; Suh, J.-S.; Yang, J.; Huh, Y.-M. Characterization of Proton-Irradiated Polyaniline Nanoparticles Using Terahertz Thermal Spectroscopy. Crystals 2021, 11, 765. https://doi.org/10.3390/cryst11070765
Oh SJ, Hong Y, Jeong K-Y, Maeng I, Suh J-S, Yang J, Huh Y-M. Characterization of Proton-Irradiated Polyaniline Nanoparticles Using Terahertz Thermal Spectroscopy. Crystals. 2021; 11(7):765. https://doi.org/10.3390/cryst11070765
Chicago/Turabian StyleOh, Seung Jae, Yoochan Hong, Ki-Young Jeong, Inhee Maeng, Jin-Suck Suh, Jaemoon Yang, and Yong-Min Huh. 2021. "Characterization of Proton-Irradiated Polyaniline Nanoparticles Using Terahertz Thermal Spectroscopy" Crystals 11, no. 7: 765. https://doi.org/10.3390/cryst11070765
APA StyleOh, S. J., Hong, Y., Jeong, K.-Y., Maeng, I., Suh, J.-S., Yang, J., & Huh, Y.-M. (2021). Characterization of Proton-Irradiated Polyaniline Nanoparticles Using Terahertz Thermal Spectroscopy. Crystals, 11(7), 765. https://doi.org/10.3390/cryst11070765

