Is Reduced Strontium Titanate a Semiconductor or a Metal?
Abstract
:1. Introduction
2. Materials and Methods
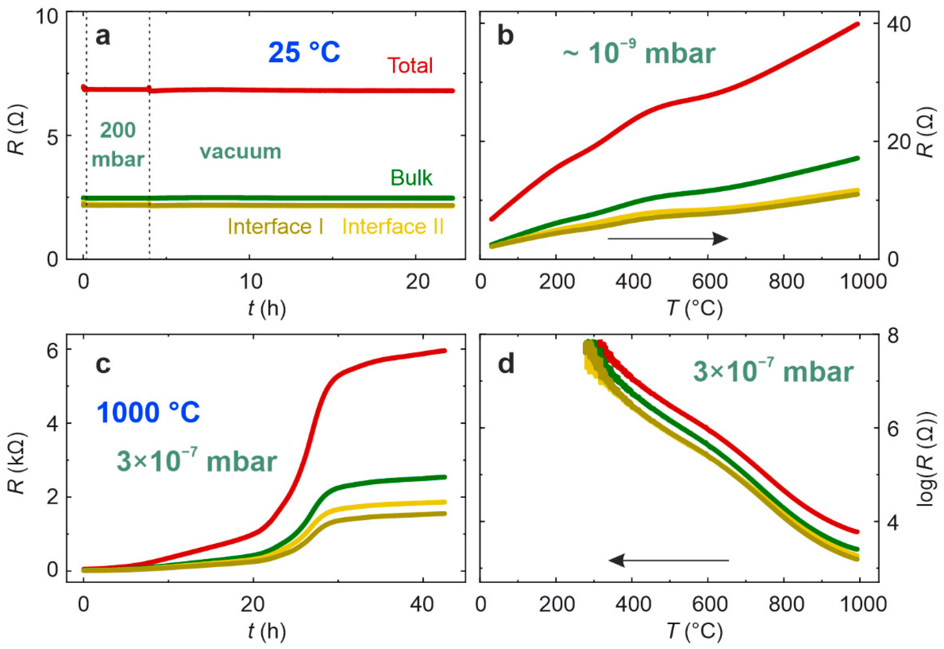
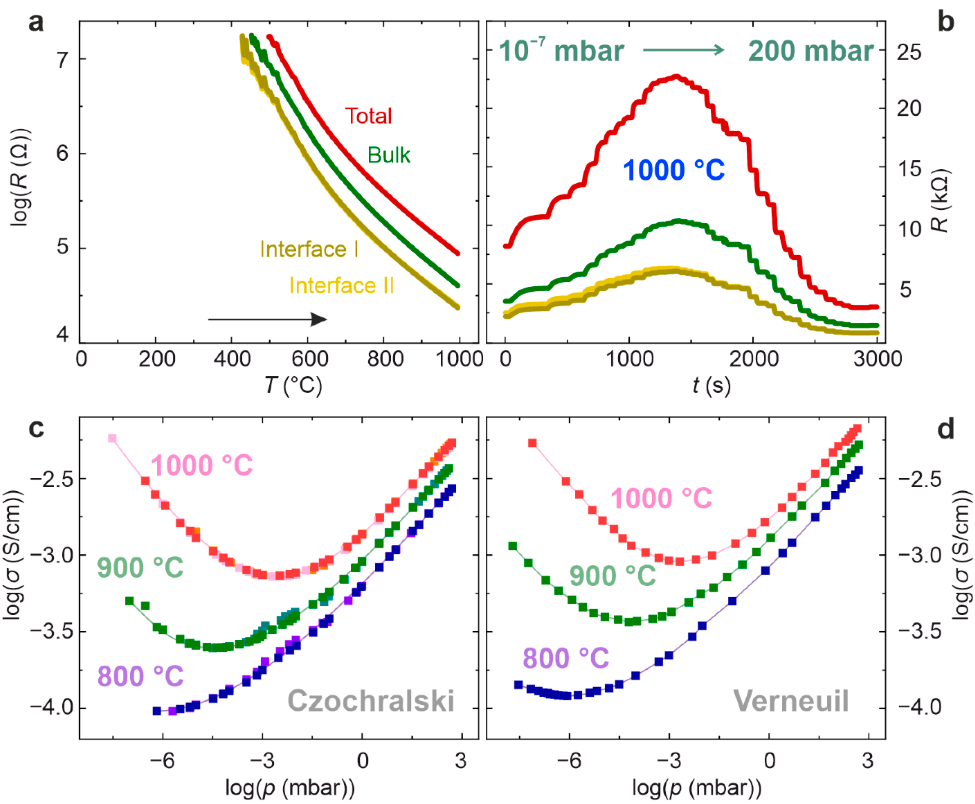
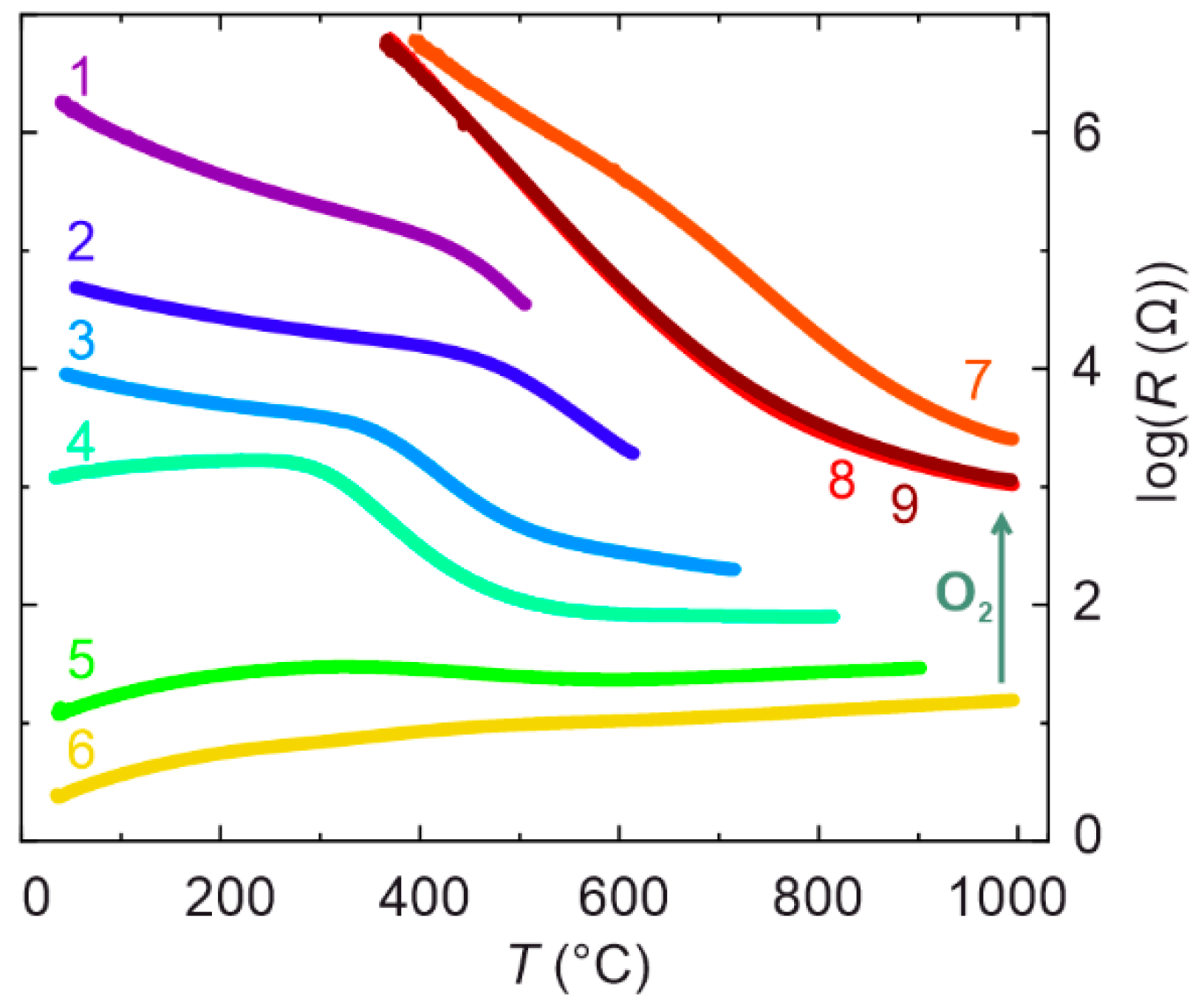
3. Results
4. Discussion
5. Conclusions
Author Contributions
Funding
Institutional Review Board Statement
Informed Consent Statement
Data Availability Statement
Acknowledgments
Conflicts of Interest
References
- Ielmini, D. Resistive switching memories based on metal oxides: Mechanisms, reliability and scaling. Semicond. Sci. Technol. 2016, 31, 063002. [Google Scholar] [CrossRef]
- Szafraniak, B.; Fusnik, L.; Xu, J.; Gao, F.; Brudnik, A.; Rydosz, A. Semiconducting metal oxides: SrTiO3, BaTiO3 and BaSrTiO3 in gas-sensing applications: A review. Coatings 2021, 11, 185. [Google Scholar] [CrossRef]
- Verbraeken, M.C.; Ramos, T.; Agersted, K.; Ma, Q.; Savaniu, C.D.; Sudireddy, B.R.; Irvine, J.T.S.; Holtappels, P.; Tietz, F. Modified strontium titanates: From defect chemistry to SOFC anodes. RSC Adv. 2015, 5, 1168–1180. [Google Scholar] [CrossRef] [Green Version]
- Rodenbücher, C.; Szot, K. Electronic phenomena of transition metal oxides. Crystals 2021, 11, 256. [Google Scholar] [CrossRef]
- Bussmann-Holder, A.; Keller, H. From SrTiO3 to cuprates and back to SrTiO3: A way along Alex Müller’s scientific career. Condens. Matter 2020, 6, 2. [Google Scholar] [CrossRef]
- Aschauer, U.; Spaldin, N.A. Competition and cooperation between antiferrodistortive and ferroelectric instabilities in the model perovskite SrTiO3. J. Phys. Condens. Matter 2014, 26, 122203. [Google Scholar] [CrossRef] [PubMed] [Green Version]
- Merkle, R.; Maier, J. How is oxygen incorporated into oxides? A comprehensive kinetic study of a simple solid-state reaction with SrTiO3 as a model material. Angew. Chem. Int. Ed. 2008, 47, 3874–3894. [Google Scholar] [CrossRef]
- Spinelli, A.; Torija, M.A.; Liu, C.; Jan, C.; Leighton, C. Electronic transport in doped SrTiO3: Conduction mechanisms and potential applications. Phys. Rev. B 2010, 81, 155110. [Google Scholar] [CrossRef]
- Moos, R.; Härdtl, K.H. Defect chemistry of donor-doped and undoped strontium titanate ceramics between 1000° and 1400 °C. J. Am. Ceram. Soc. 1997, 80, 2549–2562. [Google Scholar] [CrossRef]
- Denk, I.; Münch, W.; Maier, J. Partial conductivities in SrTiO3: Bulk polarization experiments, oxygen concentration cell measurements, and defect-chemical modeling. J. Am. Ceram. Soc. 1995, 78, 3265–3272. [Google Scholar] [CrossRef]
- Rodenbücher, C.; Korte, C.; Schmitz-Kempen, T.; Bette, S.; Szot, K. A physical method for investigating defect chemistry in solid metal oxides. APL Mater. 2021, 9, 011106. [Google Scholar] [CrossRef]
- Moos, R.; Hardtl, K.H. Dependence of the intrinsic conductivity minimum of SrTiO3 ceramics on the sintering atmosphere. J. Am. Ceram. Soc. 1995, 78, 2569–2571. [Google Scholar] [CrossRef]
- Ohly, C.; Hoffmann-Eifert, S.; Szot, K.; Waser, R. Electrical conductivity and segregation effects of doped SrTiO3 thin films. J. Eur. Ceram. Soc. 2001, 21, 1673–1676. [Google Scholar] [CrossRef]
- Menesklou, W.; Schreiner, H.-J.; Härdtl, K.H.; Ivers-Tiffée, E. High temperature oxygen sensors based on doped SrTiO3. Sens. Actuators B Chem. 1999, 59, 184–189. [Google Scholar] [CrossRef]
- Chan, N.-H.; Sharma, R.K.; Smyth, D.M. Nonstoichiometry in SrTiO3. J. Electrochem. Soc. 1981, 128, 1762. [Google Scholar] [CrossRef]
- Zhang, X.-D.; Li, J.-J.; Guo, X. Oxygen pump based on stabilized zirconia. Rev. Sci. Instrum. 2015, 86, 115103. [Google Scholar] [CrossRef]
- Szot, K.; Speier, W.; Carius, R.; Zastrow, U.; Beyer, W. Localized metallic conductivity and self-healing during thermal reduction of SrTiO3. Phys. Rev. Lett. 2002, 88, 075508. [Google Scholar] [CrossRef] [PubMed] [Green Version]
- Szot, K.; Rodenbücher, C.; Bihlmayer, G.; Speier, W.; Ishikawa, R.; Shibata, N.; Ikuhara, Y. Influence of dislocations in transition metal oxides on selected physical and chemical properties. Crystals 2018, 8, 241. [Google Scholar] [CrossRef] [Green Version]
- Szot, K.; Rodenbücher, C. Insulator-metal transition associated with resistive switching in real SrTiO3 and TiO2 crystals. In Proceedings of the 2015 Joint IEEE International Symposium on the Applications of Ferroelectric (ISAF), International Symposium on Integrated Functionalities (ISIF), and Piezoelectric Force Microscopy Workshop (PFM), Singapore, 24–27 May 2015; pp. 143–146. [Google Scholar] [CrossRef]
- Santander-Syro, A.F.; Copie, O.; Kondo, T.; Fortuna, F.; Pailhés, S.; Weht, R.; Qiu, X.G.; Bertran, F.; Nicolaou, A.; Taleb-Ibrahimi, A.; et al. Two-dimensional electron gas with universal subbands at the surface of SrTiO3. Nature 2011, 469, 189–194. [Google Scholar] [CrossRef] [PubMed]
- Cook, S.; Dylla, M.T.; Rosenberg, R.A.; Mansley, Z.R.; Snyder, G.J.; Marks, L.D.; Fong, D.D. The vacancy-induced electronic structure of the SrTiO3−δ surface. Adv. Electron. Mater. 2019, 5, 1800460. [Google Scholar] [CrossRef] [Green Version]
- Leis, A.; Rodenbücher, C.; Szot, K.; Cherepanov, V.; Tautz, F.S.; Voigtländer, B. In-situ four-tip STM investigation of the transition from 2D to 3D charge transport in SrTiO3. Sci. Rep. 2019, 9, 2476. [Google Scholar] [CrossRef] [Green Version]
- Sing, M.; Jeschke, H.O.; Lechermann, F.; Valenti, R.; Claessen, R. Influence of oxygen vacancies on two-dimensional electron systems at SrTiO3-based interfaces and surfaces. Eur. Phys. J. Spec. Top. 2017, 226, 2457–2475. [Google Scholar] [CrossRef] [Green Version]
- Marrocchelli, D.; Sun, L.; Yildiz, B. Dislocations in SrTiO3: Easy to reduce but not so fast for oxygen transport. J. Am. Chem. Soc. 2015, 137, 4735–4748. [Google Scholar] [CrossRef] [PubMed]
- Wang, P.; Yi, W.; Chen, J.; Ito, S.; Cui, C.; Sekiguchi, T. Oxygen vacancy migration along dislocations in SrTiO3 studied by cathodoluminescence. J. Phys. Appl. Phys. 2019, 52, 475103. [Google Scholar] [CrossRef]
- Wang, R.; Zhu, Y.; Shapiro, S.M. Structural defects and the origin of the second length scale in SrTiO3. Phys. Rev. Lett. 1998, 80, 2370–2373. [Google Scholar] [CrossRef]
- Guguschev, C.; Galazka, Z.; Kok, D.J.; Juda, U.; Kwasniewski, A.; Uecker, R. Growth of SrTiO3 bulk single crystals using edge-defined film-fed growth and the Czochralski methods. Crystengcomm 2015, 17, 4662–4668. [Google Scholar] [CrossRef]
- Rodenbücher, C.; Wrana, D.; Gensch, T.; Krok, F.; Korte, C.; Szot, K. The electronic properties of extended defects in SrTiO3—A case study of a real bicrystal boundary. Crystals 2020, 10, 665. [Google Scholar] [CrossRef]
- Szot, K.; Speier, W.; Bihlmayer, G.; Waser, R. Switching the electrical resistance of individual dislocations in single-crystalline SrTiO3. Nat. Mater. 2006, 5, 312–320. [Google Scholar] [CrossRef]
- Rodenbücher, C.; Bittkau, K.; Bihlmayer, G.; Wrana, D.; Gensch, T.; Korte, C.; Krok, F.; Szot, K. Mapping the conducting channels formed along extended defects in SrTiO3 by means of scanning near-field optical microscopy. Sci. Rep. 2020, 10, 17763. [Google Scholar] [CrossRef] [PubMed]
- Wrana, D.; Rodenbücher, C.; Bełza, W.; Szot, K.; Krok, F. In situ study of redox processes on the surface of SrTiO3 single crystals. Appl. Surf. Sci. 2018, 432, 46–52. [Google Scholar] [CrossRef]
- Bussmann-Holder, A.; Keller, H.; Simon, A.; Bihlmayer, G.; Roleder, K.; Szot, K. Unconventional co-existence of insulating nano-regions and conducting filaments in reduced SrTiO3: Mode softening, local piezoelectricity, and metallicity. Crystals 2020, 10, 437. [Google Scholar] [CrossRef]
- Szot, K.; Bihlmayer, G.; Speier, W. Nature of the resistive switching phenomena in TiO2 and SrTiO3. In Solid State Physics 65; Camley, R.E., Stamps, R.L., Eds.; Academic Press: Cambridge, MA, USA, 2014; pp. 353–559. [Google Scholar]
- Szot, K.; Speier, W.; Herion, J.; Freiburg, C. Restructuring of the surface region in SrTiO3. Appl. Phys. Mater. Sci. Process. 1996, 64, 55–59. [Google Scholar] [CrossRef]
- Karjalainen, A.; Prozheeva, V.; Makkonen, I.; Guguschev, C.; Markurt, T.; Bickermann, M.; Tuomisto, F. TiSr antisite: An abundant point defect in SrTiO3. J. Appl. Phys. 2020, 127, 245702. [Google Scholar] [CrossRef]
- Wrana, D.; Rodenbücher, C.; Jany, B.R.; Kryshtal, O.; Cempura, G.; Kruk, A.; Indyka, P.; Szot, K.; Krok, F. A bottom-up process of self-formation of highly conductive titanium oxide (TiO) nanowires on reduced SrTiO3. Nanoscale 2019, 11, 89–97. [Google Scholar] [CrossRef] [PubMed]
- Du, H.; Jia, C.-L.; Mayer, J. Local crystallographic shear structures in a [201] extended mixed dislocations of SrTiO3 unraveled by atomic-scale imaging using transmission electron microscopy and spectroscopy. Faraday Discuss. 2019, 213, 245–258. [Google Scholar] [CrossRef] [Green Version]
- Gao, P.; Ishikawa, R.; Feng, B.; Kumamoto, A.; Shibata, N.; Ikuhara, Y. Atomic-scale structure relaxation, chemistry and charge distribution of dislocation cores in SrTiO3. Ultramicroscopy 2018, 184, 217–224. [Google Scholar] [CrossRef] [PubMed] [Green Version]
- Szot, K.; Speier, W. Surfaces of reduced and oxidized SrTiO3 from atomic force microscopy. Phys. Rev. B 1999, 60, 5909–5926. [Google Scholar] [CrossRef] [Green Version]
- Huijbregtse, J.M.; Rector, J.H.; Dam, B. Effect of the two (100) SrTiO3 substrate terminations on the nucleation and growth of YBa2Cu3O7−δ thin films. Phys. C Supercond. 2001, 351, 183–199. [Google Scholar] [CrossRef]
- Guguschev, C.; Kok, D.J.; Galazka, Z.; Klimm, D.; Uecker, R.; Bertram, R.; Naumann, M.; Juda, U.; Kwasniewski, A.; Bickermann, M. Influence of oxygen partial pressure on SrTiO3 bulk crystal growth from non-stoichiometric melts. CrystEngComm 2015, 17, 3224–3234. [Google Scholar] [CrossRef]
- Heisig, T.; Kler, J.; Du, H.; Baeumer, C.; Hensling, F.; Glöß, M.; Moors, M.; Locatelli, A.; Menteş, T.O.; Genuzio, F.; et al. Antiphase boundaries constitute fast cation diffusion paths in SrTiO3 memristive devices. Adv. Funct. Mater. 2020, 2004118. [Google Scholar] [CrossRef]
- Gries, U.N.; Kessel, M.; Hensling, F.V.E.; Dittmann, R.; Martin, M.; De Souza, R.A. Behavior of cation vacancies in single-crystal and in thin-film SrTiO3: The importance of strontium vacancies and their defect associates. Phys. Rev. Mater. 2020, 4, 123404. [Google Scholar] [CrossRef]
- Hensling, F.V.E.; Baeumer, C.; Rose, M.-A.; Gunkel, F.; Dittmann, R. SrTiO3 termination control: A method to tailor the oxygen exchange kinetics. Mater. Res. Lett. 2020, 8, 31–40. [Google Scholar] [CrossRef] [Green Version]
- Szot, K. Nature of the chemical transformation of the surface layer of the prototypic ABO3 perovskites. In Proceedings of the EMRS Fall Meeting, Warsaw, Poland, 19–22 September 2016. [Google Scholar]




Publisher’s Note: MDPI stays neutral with regard to jurisdictional claims in published maps and institutional affiliations. |
© 2021 by the authors. Licensee MDPI, Basel, Switzerland. This article is an open access article distributed under the terms and conditions of the Creative Commons Attribution (CC BY) license (https://creativecommons.org/licenses/by/4.0/).
Share and Cite
Rodenbücher, C.; Guguschev, C.; Korte, C.; Bette, S.; Szot, K. Is Reduced Strontium Titanate a Semiconductor or a Metal? Crystals 2021, 11, 744. https://doi.org/10.3390/cryst11070744
Rodenbücher C, Guguschev C, Korte C, Bette S, Szot K. Is Reduced Strontium Titanate a Semiconductor or a Metal? Crystals. 2021; 11(7):744. https://doi.org/10.3390/cryst11070744
Chicago/Turabian StyleRodenbücher, Christian, Christo Guguschev, Carsten Korte, Sebastian Bette, and Kristof Szot. 2021. "Is Reduced Strontium Titanate a Semiconductor or a Metal?" Crystals 11, no. 7: 744. https://doi.org/10.3390/cryst11070744
APA StyleRodenbücher, C., Guguschev, C., Korte, C., Bette, S., & Szot, K. (2021). Is Reduced Strontium Titanate a Semiconductor or a Metal? Crystals, 11(7), 744. https://doi.org/10.3390/cryst11070744

