Effect of Fly Ash Belite Cement on Hydration Performance of Portland Cement
Abstract
:1. Introduction
2. Materials and Methods
2.1. Raw Materials
2.2. Methods
3. Results
3.1. Effect of FABC on Hydration Rate of Portland Cement
3.1.1. Setting Time
3.1.2. Hydration Heat
3.2. Effect of FABC on the Strength of Portland Cement
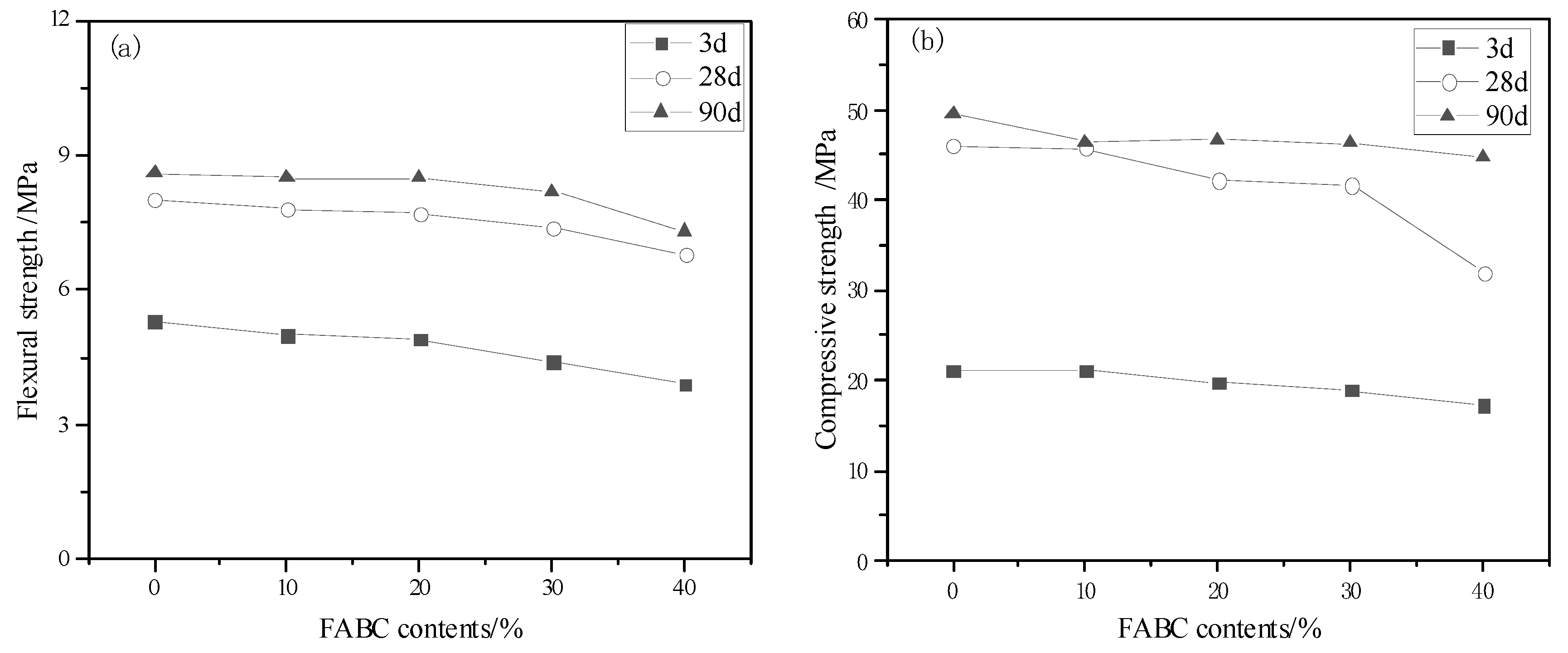
3.2.1. Strength of Pastes
3.2.2. Strength of Mortars
3.3. Effect of FABC on Hydration Products of Portland Cement
3.3.1. FTIR Spectrum and X-ray Diffraction Spectrum
3.3.2. Thermal Analysis
3.4. Effect of FABC on Micro-Structure of Portland Cement Pastes
4. Discussion
4.1. Hydration Medium Improves the Hydration Performance of C2S
4.2. Promoting the Effect of C12A7 on Hydration and Hardening of Silicate Minerals
5. Conclusions
Author Contributions
Funding
Data Availability Statement
Acknowledgments
Conflicts of Interest
References
- Gong, Y.F.; Fang, Y.H. Preparation of belite cement from stockpiled high-carbon fly ash using granule-hydrothermal synthesis method. Constr. Build. Mater. 2016, 111, 175–181. [Google Scholar] [CrossRef]
- Telesca, A.; Matschei, T.; Marroccoli, M. Study of eco-friendly belite-calcium sulfoaluminate cements obtained from special wastes. Appl. Sci. 2020, 10, 8650. [Google Scholar] [CrossRef]
- Marieta, C.; Guerrero, A.; Leon, I. Municipal solid waste incineration fly ash to produce eco-friendly binders for sustainable building construction. Waste Manag. 2021, 120, 114–124. [Google Scholar] [CrossRef]
- Gao, Y.F.; Li, Z.F.; Zhang, J.; Zhang, C.; Chen, J.P. Synthesis, Characterization and properties of solid waste based high belite cement. Chem. Lett. 2020, 50, 128–130. [Google Scholar] [CrossRef]
- Sinyoung, S.; Kunchariyakun, K.; Asavapisit, S.; MacKenzie, K. Synthesis of belite cement from nano-silica extracted from two rice husk ashes. J. Environ. Manag. 2017, 190, 53–60. [Google Scholar] [CrossRef]
- Cuesta, A.; Ayuela, A.; Aranda, M. Belite cements and their activation. Cem. Concr. Res. 2021, 140, 106319. [Google Scholar] [CrossRef]
- Maiti, S.C.; Ghoroi, C. Influence of catalytic nano-additive for stabilization of β-dicalcium silicate and its hydration rate with different electrolytes. Cem. Concr. Res. 2017, 98, 111–121. [Google Scholar] [CrossRef]
- Shahsavari, R.; Chen, L.; Tao, L. Edge dislocations in dicalcium silicates: Experimental observations and atomistic analysis. Cem. Concr. Res. 2016, 90, 80–88. [Google Scholar] [CrossRef] [Green Version]
- Sanchez, H.J.; Fernandez, J.A.; Palomo, A. C3S and C2S hydration in the presence of Na2CO3 and Na2SO4. J. Am. Ceram. Soc. 2017, 100, 3188–3198. [Google Scholar] [CrossRef]
- Thomas, J.J.; Ghazizadeh, S.; Masoero, E. Kinetic mechanisms and activation energies for hydration of standard and highly reactive forms of β-dicalcium silicate (C2S). Cem. Concr. Res. 2017, 100, 322–328. [Google Scholar] [CrossRef] [Green Version]
- Khan, K.; Jia, L.; Zou, W.W.; Xu, W.; Yang, Y.; Song, W.J. Low temperature synthesis of nano porous 12CaO·7Al2O3 powder by hydrothermal method. J. Wuhan Univ. Technol. 2016, 31, 1201–1205. [Google Scholar] [CrossRef]
- Zhang, G.; Yang, Y.; Yang, H.; Huaming, L. Calcium sulphoaluminate cement used as mineral accelerator to improve the property of Portland cement at sub-zero temperature. Cem. Concr. Compos. 2019, 106, 103452. [Google Scholar] [CrossRef]
- Ashraf, W. Microstructure of chemically activated gamma-dicalcium silicate paste. Constr. Build. Mater. 2018, 185, 617–627. [Google Scholar] [CrossRef]
- Ray, S.; Devi, N.; Dash, J.; Sasmal, S.; Pesala, B. Tracking the acceleration of hydration of β-C2S due to nanosilica incorporation using THz spectroscopy. J. Infrared Millim. Terahertz Waves 2020, 41, 1393–1410. [Google Scholar] [CrossRef]
- Morales-Cantero, A.; Torre, A.; Cuesta, A.; Fraga-Lopez, A.; Aranda, M. Belite hydration at high temperature and pressure by in situ synchrotron powder diffraction. Constr. Build. Mater. 2020, 262, 120825. [Google Scholar] [CrossRef]
- Li, C.; Wu, M.; Yao, W. Effect of coupled B/Na and B/Ba doping on hydraulic properties of belite-ye’elimite-ferrite cement. Constr. Build. Mater. 2019, 208, 23–35. [Google Scholar] [CrossRef]
- Gong, Y.F.; Liu, C.; Chen, Y.L. Properties and mechanism of hydration of fly ash belite cement prepared from low-quality fly ash. Appl. Sci. 2020, 10, 7026. [Google Scholar] [CrossRef]
- Bandura, L.; Panek, R.; Madej, J.; Franus, W. Synthesis of zeolite-carbon composites using high-carbon fly ash and their adsorption abilities towards petroleum substances. Fuel 2021, 283, 119173. [Google Scholar] [CrossRef]
- Granados, N.B.; Molina, J.; Pllmann, H.; Tobon, J.; Restrepo, O. Influence of metallic precursors in the mineralogy and reactivity of belite cement clinkers obtained by flame spray pyrolysis. Mater. Today Commun. 2020, 26, 101917. [Google Scholar] [CrossRef]
- Kim, H.; Pei, J.; Siddique, S.; Jang, J. Effects of the curing conditions on the carbonation curing efficiency of ordinary Portland cement and a belite-rich cement mortar. Sustainability 2021, 13, 5175. [Google Scholar] [CrossRef]
- Yousuf, M.; Felix, L.; David, L. An X-ray diffraction (XRD) and Fourier transform infrared spectroscopic (FTIR) characterization of the speciation of arsenic (V) in Portland cement type-V. Sci. Total Environ. 1998, 224, 57–68. [Google Scholar]
- Szabados, M.; Meszaros, R.; Erdei, S.; Konya, Z.; Kukovecz, A.; Sipos, P.; Palinko, I. Ultrasonically-enhanced mechanochemical synthesis of CaAl-layered double hydroxides intercalated by a variety of inorganic anions. Ultrason. Sonochem. 2016, 31, 409–416. [Google Scholar] [CrossRef] [PubMed]
- Diamond, S.; Lachowski, E.E. Investigation of the composition and morphology of individual particles of Portland cement paste: 1. C-S-H gel and calcium hydroxide particles. Cem. Concr. Res. 1983, 13, 177–185. [Google Scholar] [CrossRef]
- Gokce, H.S. High temperature resistance of boron active belite cement mortars containing fly ash. J. Clean Prod. 2019, 211, 992–1000. [Google Scholar] [CrossRef]
- Li, W.P.; Wang, D.M.; Fan, D.K.; Zhang, J.T.; Wang, Y.R. Study on effects and mechanical performance of amorphous state C12A7/CaSO4·2H2O system on early properties of OPC. New. Build. Mater. 2017, 44, 104–107. [Google Scholar]







| No. | Chemical Composition /wt-% | |||||||||
|---|---|---|---|---|---|---|---|---|---|---|
| SiO2 | Al2O3 | Na2O | Fe2O3 | CaO | TiO2 | K2O | MgO | SO3 | Loss | |
| FABC | 32.94 | 19.68 | 1.06 | 3.80 | 36.87 | 0.83 | 0.71 | 0.82 | 0.53 | 1.97 |
| P·I 42.5 | 22.04 | 4.76 | 0.53 | 3.10 | 64.5 | N/A | 0.32 | 0.92 | 1.90 | 1.01 |
| Sample | FABC/% | P·I 42.5 |
|---|---|---|
| RC | 0 | 100 |
| FAC10 | 10 | 90 |
| FAC20 | 20 | 80 |
| FAC30 | 30 | 70 |
| FAC40 | 40 | 60 |
| FAC50 | 50 | 50 |
Publisher’s Note: MDPI stays neutral with regard to jurisdictional claims in published maps and institutional affiliations. |
© 2021 by the authors. Licensee MDPI, Basel, Switzerland. This article is an open access article distributed under the terms and conditions of the Creative Commons Attribution (CC BY) license (https://creativecommons.org/licenses/by/4.0/).
Share and Cite
Gong, Y.; Yang, J.; Sun, H.; Xu, F. Effect of Fly Ash Belite Cement on Hydration Performance of Portland Cement. Crystals 2021, 11, 740. https://doi.org/10.3390/cryst11070740
Gong Y, Yang J, Sun H, Xu F. Effect of Fly Ash Belite Cement on Hydration Performance of Portland Cement. Crystals. 2021; 11(7):740. https://doi.org/10.3390/cryst11070740
Chicago/Turabian StyleGong, Yongfan, Jianming Yang, Haifeng Sun, and Fei Xu. 2021. "Effect of Fly Ash Belite Cement on Hydration Performance of Portland Cement" Crystals 11, no. 7: 740. https://doi.org/10.3390/cryst11070740
APA StyleGong, Y., Yang, J., Sun, H., & Xu, F. (2021). Effect of Fly Ash Belite Cement on Hydration Performance of Portland Cement. Crystals, 11(7), 740. https://doi.org/10.3390/cryst11070740

