Stress–Strain Behavior of FRC in Uniaxial Tension Based on Mesoscopic Damage Model
Abstract
1. Introduction
2. Deformation and Failure of Concrete under Uniaxial Tension
3. Materials and Methods
3.1. Basis of Statistical Damage Theory
3.1.1. The Series-Parallel Spring Stochastic Damage Model
3.1.2. The Improved Parallel Bar System (IPBS)
- (1)
- Partial yield phase ()where and denote the accumulated damage variables of elastic modulus of IPBS due to the yield and fracture of the micro-bars; also represents the cumulative distribution function of .
- (2)
- Full yield phase ()where is the value of corresponding to .
3.1.3. Description of the Damage Evolution Process by IPBS
3.1.4. Dialectical Unification between Degeneration and Evolution
3.2. Statistical Damage Model for FRC in Uniaxial Tension
3.2.1. Influence Mechanism of Fiber
- (1)
- Fiber spacing theory
- (2)
- Reinforcement rules for composite materials
3.2.2. Practical Expressions of the IPBS
3.2.3. Influence of the Fibers on Mesoscopic Damage Mechanism
3.2.4. Determination of Model Parameters
- (1)
- Create a fitness function including , , , and , and take the sum of the squares of the difference between predicted value and measured value of nominal stress as the optimization criterion.
- (2)
- Initially, set the search interval for the values of the four parameters.
- (3)
- To perform the genetic algorithm, and obtain the optimal solution of the 4 parameters calculated by this iteration. Adjust or narrow the search interval of parameters according to the results.
- (4)
- Repeat step (3), until the optimal solution is obtained.
4. Results and Discussion
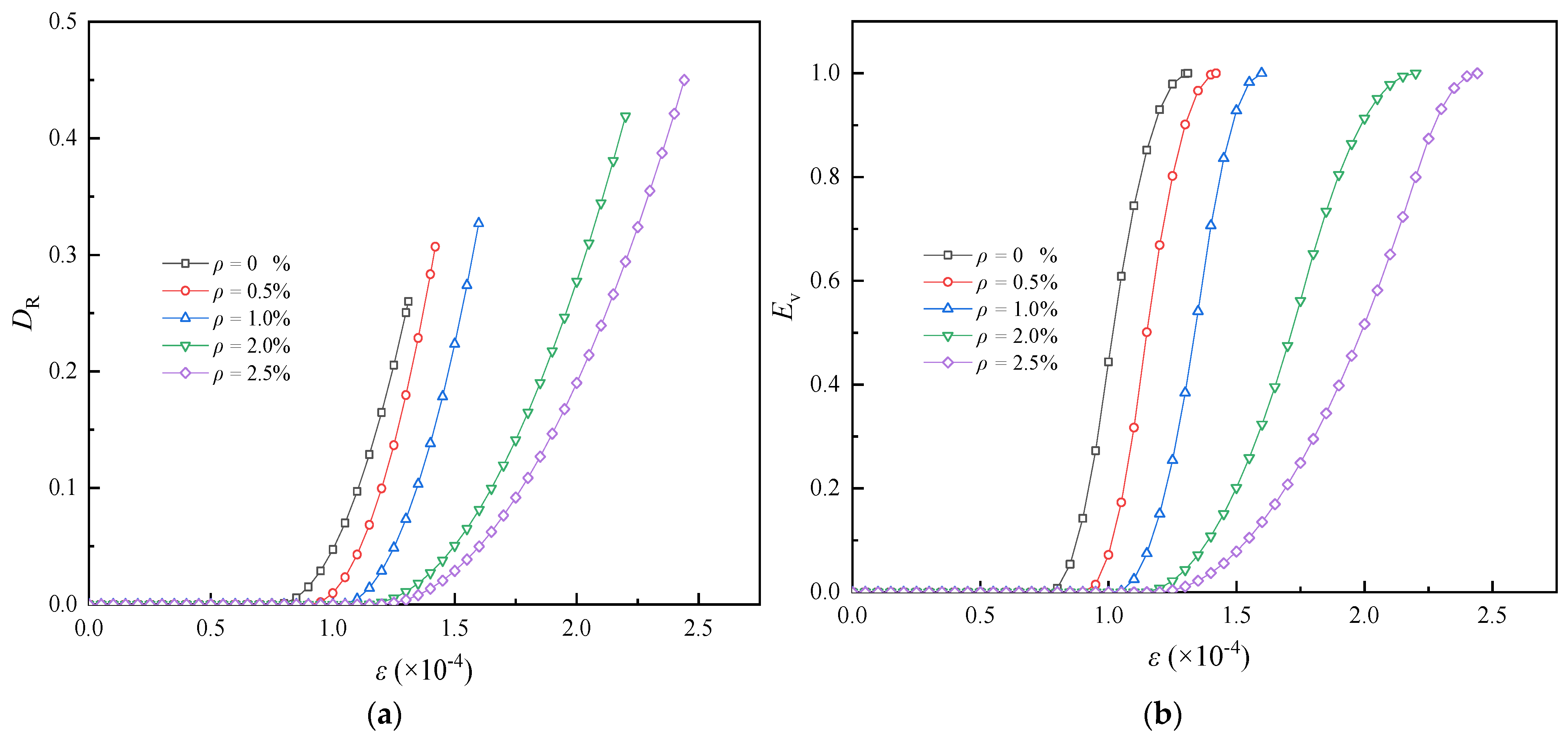
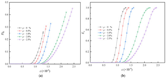
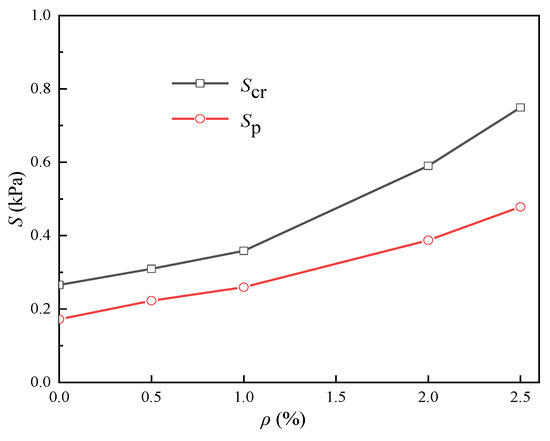
4.1. Comparison with the Test by Han et al., 2006
- (1)
- Damage mechanism on a mesoscale
- (2)
- Mechanical behavior in macroscale
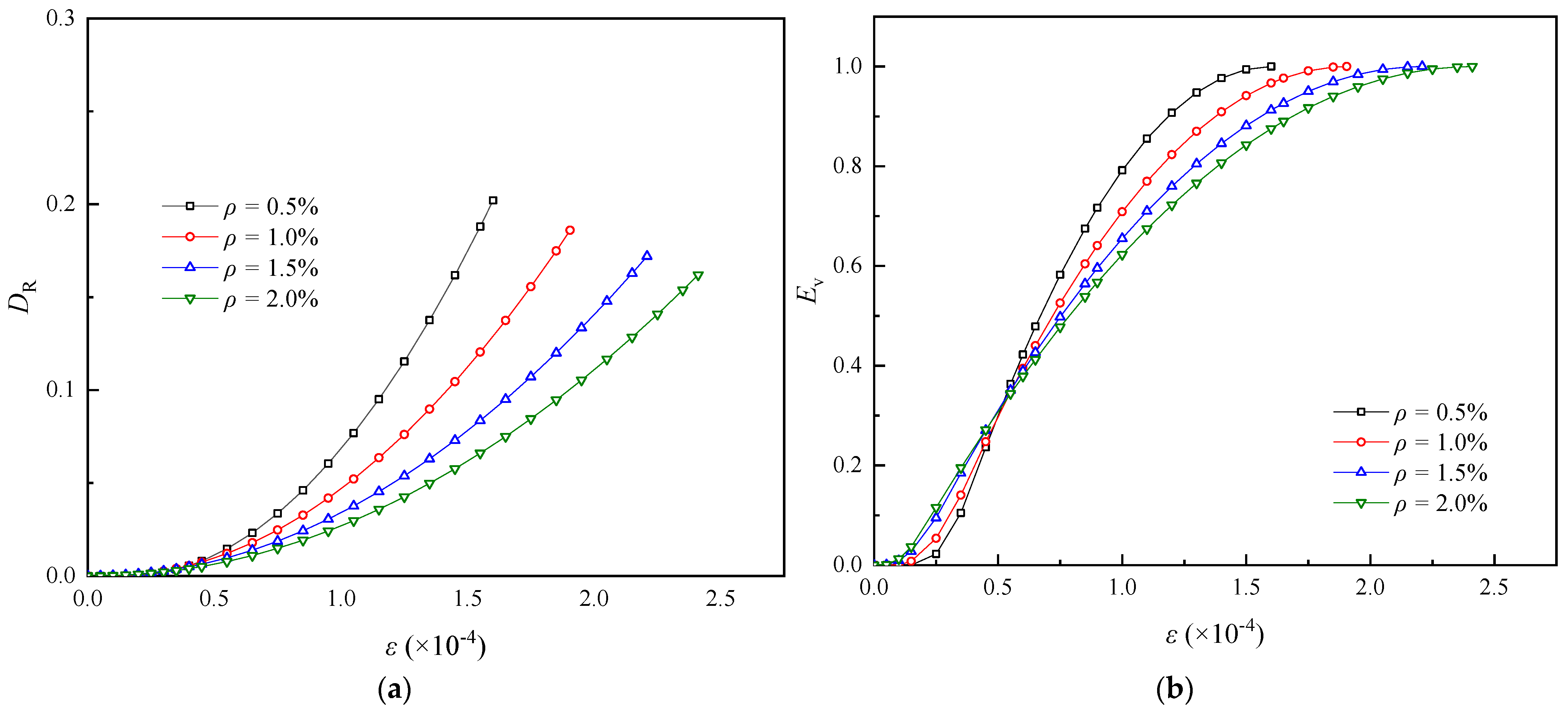
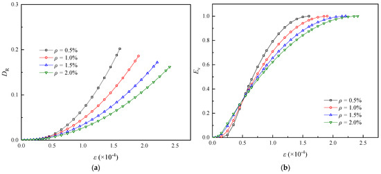
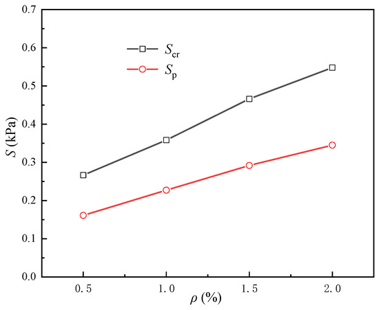
4.2. Comparison with the Test by Gao, 1991
5. Conclusions
- The macroscopic stress–strain behavior (including hardening and softening curves) of concrete under uniaxial tension is a continuous process with deformation and damage evolution. For the traditional segmented constitutive models, two independent expressions are used to describe the pre-peak ascending phase and the post-peak descending phase (taking the peak nominal stress state as the boundary), respectively. Therefore, the link of the mesoscopic damage evolution between the two stages has been isolated artificially. This paper discusses the mesoscopic damage evolution mechanism reflected by the IPBS in detail. The fracture and yield damage modes on meso-scale are considered, and the peak nominal stress state and critical state are distinguished. The uniaxial tensile process is divided into uniform damage phase and local failure phase by the critical state. The uniform damage phase, including the pre-peak ascending segment and a portion of the post-peak descending segment, is the main stage for deformation and damage accumulation and reflects the process from quantitative change to qualitative change. The yield damage mode reflects the development of potential mechanical properties of materials and plays a key role during the whole deformation-to-failure process. Due to the size effect on the local failure phase, the critical state is regarded as the ultimate failure point in the suggested constitutive model.
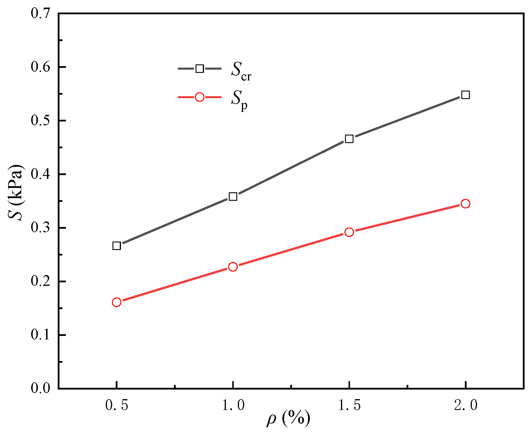
- A statistical damage model of fiber concrete under uniaxial tension is established, which considers the fiber enhancement effect. In essence, the addition of fiber changes the composition of the microstructure, restricts the initiation and expansion of microcracks, and also changes the evolution and accumulation process of two damage modes on a meso-scale. This model contains two kinds of feature parameters ( and , , , ) with clear physical meanings, and has the ability to effectively reflect the above changes on meso-scale. Calculations were conducted to simulate the two sets of steel fiber concrete tensile tests in the literature. The experimental and theoretical analysis results show that, when only the fiber content is changed, the shape of the macroscopic nominal stress–strain curve will show a good law of similarity. With the increase of the fiber content, the values of stress and strain corresponding to the peak nominal stress state and the critical state linearly increase, and the curvature of the connecting part of the ascending and descending branch of the nominal stess–strain curve has the changing trend of gradual and orderly. Meanwhile, the characteristic parameters , , , , representing the two types of damage evolution of yield and fracture on a meso-scale, have obvious linear variation law with the change of fiber content. Through this model, the link among the physical mechanism, the mesoscopic damage mechanism and the macroscopic nonlinear constitutive behavior are effectively established.
- The macroscopic constitutive behavior of FRC is a complex process of multiple factors. The influence factors include water/cement contents, source of aggregate, fiber type and content, type of additive, specimen size, loading mode, etc. Due to the limitation of the length of articles and test data, only two groups of steel fiber concrete test data are adopted in the validation analysis. Whether this constitutive model could be applicable to the analysis of the influence of other factors on the macroscopic mechanical behavior of fiber concrete, remains to be further researched later.
Author Contributions
Funding
Institutional Review Board Statement
Informed Consent Statement
Data Availability Statement
Acknowledgments
Conflicts of Interest
References
- Iqbal, S.; Ali, A.; Holschemacher, K.; Bier, T.A. Mechanical properties of steel fiber reinforced high strength lightweight self-compacting concrete (shlscc). Constr. Build. Mater. 2015, 98, 325–333. [Google Scholar] [CrossRef]
- Wang, Z.L.; Liu, Y.S.; Shen, R.F. Stress–strain relationship of steel fiber-reinforced concrete under dynamic compression. Constr. Build. Mater. 2008, 22, 811–819. [Google Scholar] [CrossRef]
- Zainal, S.M.; Hejazi, F.; Abd Aziz, F.N.; Jaafar, M.S. Constitutive Modeling of New Synthetic Hybrid Fibers Reinforced Concrete from Experimental Testing in Uniaxial Compression and Tension. Crystals 2020, 10, 885. [Google Scholar] [CrossRef]
- Peng, Z.; Li, Q.F. Effect of polypropylene fiber on durability of concrete composite containing fly ash and silica fume. Compos. Part B Eng. 2013, 45, 1587–1594. [Google Scholar]
- Lam, L.; Teng, J.G. Ultimate Condition of Fiber Reinforced Polymer-Confined Concrete. J. Compos. Constr. 2004, 8, 539–548. [Google Scholar] [CrossRef]
- Longbang, Q.; Nie, Y.; Ru, M.U. Influence of steel fibres on the resistance to crack initiation of cementitious composites. Acta Mater. Compos. Sin. 2017, 34, 1862–1869. [Google Scholar]
- Liu, B.; Zhou, J.; Wen, X.; Hu, X.; Deng, Z. Mechanical properties and constitutive model of carbon fiber reinforced coral concrete under uniaxial compression. Constr. Build. Mater. 2020, 263, 120649. [Google Scholar] [CrossRef]
- Shi, X.J.; Park, P.; Rew, Y.; Huang, K.J.; Sim, C. Constitutive behaviors of steel fiber reinforced concrete under uniaxial compression and tension. Constr. Build. Mater. 2020, 233, 117316. [Google Scholar] [CrossRef]
- Ding, X.X.; Li, C.Y.; Zhao, M.L.; Li, J.; Geng, H.B.; Lian, L. Tensile behavior of self-compacting steel fiber reinforced concrete evaluated by different test methods. Crystals 2021, 11, 251. [Google Scholar] [CrossRef]
- Akcay, B.; Tasdemir, M.A. Mechanical behaviour and fibre dispersion of hybrid steel fibre reinforced self-compacting concrete. Constr. Build. Mater. 2012, 28, 287–293. [Google Scholar] [CrossRef]
- Tassew, S.T.; Lubell, A.S. Mechanical properties of glass fiber reinforced ceramic concrete. Constr. Build. Mater. 2014, 51, 215–224. [Google Scholar] [CrossRef]
- Song, P.S.; Hwang, S. Mechanical properties of high-strength steel fiber-reinforced concrete. Constr. Build. Mater. 2004, 18, 669–673. [Google Scholar] [CrossRef]
- Romualdi, J.P.; Batson, G.B. Mechanics of crack arrest in concrete. J. Eng. Mech. Div. 1963, 89, 147–168. [Google Scholar] [CrossRef]
- Swamy, R.N. Influence of slow crack growth on the fracture resistance of fibre cement composites. Int. J. Cem. Compos. 1980, 2, 43–53. [Google Scholar]
- Luccioni, B.; Ruano, G.; Isla, F.; Zerbino, R.; Giaccio, G. A simple approach to model sfrc. Constr. Build. Mater. 2012, 37, 111–124. [Google Scholar] [CrossRef]
- Hameed, R.; Sellier, A.; Turatsinze, A.; Duprat, F. Metallic fiber-reinforced concrete behaviour: Experiments and constitutive law for finite element modeling. Eng. Fract. Mech. 2013, 103, 124–131. [Google Scholar] [CrossRef]
- Chi, Y.; Xu, L.; Yu, H.S. Constitutive modeling of steel-polypropylene hybrid fiber reinforced concrete using a non-associated plasticity and its numerical implementation. Compos. Struct. 2014, 111, 497–509. [Google Scholar] [CrossRef]
- Yaghoobi, A.; Mi, G.C. Meshless modeling framework for fiber reinforced concrete structures. Comput. Struct. 2015, 161, 43–54. [Google Scholar] [CrossRef]
- Mihai, I.C.; Jefferson, A.D.; Lyons, P. A plastic-damage constitutive model for the finite element analysis of fibre reinforced concrete. Eng. Fract. Mech. 2016, 159, 35–62. [Google Scholar] [CrossRef]
- Gao, D.Y. Experimental study on tensile stress-strain relationship of steel fiber reinforced concrete. J. Hydroelectr. Eng. 1991, 11, 54–58. (In Chinese) [Google Scholar]
- Li, F.; Li, Z. Continuum damage mechanics based modeling of fiber reinforced concrete in tension. Int. J. Solids Struct. 2001, 38, 777–793. [Google Scholar] [CrossRef]
- Han, R.; Zhao, S.B.; Qu, F.L. Experimental study on the tensile performance of steel flber reinforced concrete. China Civ. Eng. J. 2006, 39, 63–67. (In Chinese) [Google Scholar]
- Blair, S.C.; Cook, N.G.W. Analysis of compressive fracture in rock using statistical techniques: Part II. Effect of microscale heterogeneity on macroscopic deformation. Int. J. Rock Mech. Min. Sci. 1998, 35, 849–861. [Google Scholar] [CrossRef]
- Berthier, E.; Démery, V.; Ponson, L. Damage spreading in quasi-brittle disordered solids: I. localization and failure. J. Mech. Phys. Solids 2017, 102, 101–124. [Google Scholar] [CrossRef]
- Krajcinovic, D. Damage mechanics: Accomplishments, trends and needs. Int. J. Solids Struct. 2000, 37, 267–277. [Google Scholar] [CrossRef]
- Krajcinovic, D.; Rinaldi, A. Thermodynamics and statistical physics of damage processes in quasi-ductile solids. Mech. Mater. 2005, 37, 299–315. [Google Scholar] [CrossRef]
- Armero, F.; Oller, S. A general framework for continuum damage models. II. Integration algorithm, with application to the numerical simulation of porous metals. Int. J. Solids Struct. 2000, 37, 7437–7464. [Google Scholar] [CrossRef]
- Kachanov, L.M. Rupture time under creep conditions. Int. J. Fract. 1999, 97, 11–18. [Google Scholar] [CrossRef]
- Jia, L. A micromechanics-based strain gradient damage model for fracture prediction of brittle materials–part i: Homogenization methodology and constitutive relations. Int. J. Solids Struct. 2011, 48, 3336–3345. [Google Scholar]
- Krajcinovic, D.; Silva, M.A.G. Statistical aspects of the continuous damage theory. Int. J. Solids Struct. 1982, 18, 551–562. [Google Scholar] [CrossRef]
- Kandarpa, S.; Kirkner, D.J.; Spencer, B.F., Jr. Stochastic Damage Model for Brittle Materials Subjected to Monotonic Loading. J. Eng. Mech. 1996, 122, 788–795. [Google Scholar] [CrossRef]
- Jie, L.; Ren, X. Stochastic damage model for concrete based on energy equivalent strain. Int. J. Solids Struct. 2009, 46, 2407–2419. [Google Scholar]
- Cao, W.G.; Zhao, H.; Xiang, L.; Zhang, Y.J. Statistical damage model with strain softening and hardening for rocks under the influence of voids and volume changes. Can. Geotech. J. 2010, 47, 857–871. [Google Scholar] [CrossRef]
- Li, G.; Tang, C.A. A statistical meso-damage mechanical method for modeling trans-scale progressive failure process of rock. Int. J. Rock Mech. Min. Sci. 2015, 74, 133–150. [Google Scholar] [CrossRef]
- Chen, J.Y.; Bai, W.F.; Fan, S.L.; Lin, G. Statistical damage model for quasi-brittle materials under uniaxial tension. J. Cent. South Univ. Technol. 2009, 16, 669–676. [Google Scholar] [CrossRef]
- Bai, W.F.; Chen, J.Y.; Fan, S.L.; Lin, G. The statistical damage constitutive model for concrete materials under uniaxial compression. J. Harbin Inst. Technol. 2010, 17, 338–344. [Google Scholar]
- Bai, W.F.; Li, W.H.; Guan, J.F.; Wang, J.Y.; Yuan, C.Y. Research on the Mechanical Properties of Recycled Aggregate Concrete under Uniaxial Compression Based on the Statistical Damage Model. Materials 2020, 13, 3765. [Google Scholar] [CrossRef] [PubMed]
- Bai, W.F.; Zhang, S.J.; Guan, J.F.; Chen, J.Y. Orthotropic statistical damage constitutive model for concrete. J. Hydraul. Eng. 2014, 45, 607–618. (In Chinese) [Google Scholar]
- Evans, R.H.; Marathe, M.S. Microcracking and stress-strain curves for concrete in tension. Matériaux Constr. 1968, 1, 61–64. [Google Scholar] [CrossRef]
- Hughes, B.P.; Chapman, B.P. The complete stress-strain curve for concrete in direct tension. Matls Struct. Res. Test. Fr 1966, 30, 95–97. [Google Scholar]
- Chaboche, J.L. Continuum damage mechanics: Present state and future trends. Nucl. Eng. Des. 1987, 105, 19–33. [Google Scholar] [CrossRef]
- Cerrolaza, M.; Garcia, R. Boundary elements and damage mechanics to analyze excavations in rock mass. Eng. Anal. Bound. Elem. 1997, 20, 1–16. [Google Scholar] [CrossRef]
- Bai, Y.L.; Wang, H.Y.; Xia, M.F.; Ke, F.J. Statistical mesomechanics of solid, linking coupled multiple space and time scales. Adv. Mech. 2006, 58, 286–305. [Google Scholar] [CrossRef]
- Yu, S.W.; Feng, X.Q. A micromechanics-based damage model for microcrack-weakened brittle solids. Mech. Mater. 1995, 20, 59–76. [Google Scholar] [CrossRef]
- Gopalaratnam, V.S.; Shah, S.P. Softening response of plain concrete in direct tension. ACI Mater. J. 1985, 82, 310–323. [Google Scholar]
- Guo, Z.H.; Zhang, X.Q. Investigation of complete stress-deformation curves for concrete in tension. Mater. J. 1987, 84, 278–285. [Google Scholar]
- Li, J.; Zhang, Q.Y. Study of stochastic damage constitutive relationship for concrete material. J. Tongji Univ. 2001, 29, 1135–1141. [Google Scholar]
- Bažant, Z.P.; Oh, B.H. Crack band theory for fracture of concrete. Matériaux Constr. 1983, 16, 155–177. [Google Scholar] [CrossRef]
- Foster, J.B. The dialectics of nature and marxist ecology. Dialectics New Century 2008, 50–82. [Google Scholar] [CrossRef]
- Dougill, J.W. On stable progressively fracturing solids. Z. Angew. Math. Phys. ZAMP 1976, 27, 423–437. [Google Scholar] [CrossRef]














| Origin of Data | Tensile Strength/MPa | Fiber Types | Main Formula |
|---|---|---|---|
| Gao [20] | 2~3 | Melt-extracted | |
| Han et al. [22] | 3~5 | Large steel fiber |
| Gao [20] | Fiber | Types | Length to diameter ratio | Volume fraction /% | Equivalent diameter /mm | Average length /mm |
| Melt-drawn | 50 | 0.5, 1.0, 1.5, 2.0 | 0.5 | 25 | ||
| Mixture/kg/m3 | Cement | Water | Sand | Stone | Water reducer | |
| 450 | 225 | 887.5 | 887.5 | 0 | ||
| Han et al. [22] | Fiber | Types | Length to diameter ratio | Volume fraction /% | Equivalent diameter /mm | Average length /mm |
| Large-end | 44.34 | 0, 0.5, 1.0, 1.5, 2.0, 2.5 | 0.698 | 30.96 | ||
| Mixture/kg/m3 | Cement | Water | Sand | Stone | Water reducer | |
| 450 | 158 | 737 | 1105 | 4.5 |
| ρ (%) | E0/×10 GPa | εa/×10−4 | εh/×10−4 | εb/×10−4 | H | R2 |
|---|---|---|---|---|---|---|
| 0 | 3.481 | 0.771 | 0.993 | 1.311 | 0.260 | 0.9995 |
| 0.5 | 3.413 | 0.909 | 1.134 | 1.427 | 0.307 | 0.9997 |
| 1.0 | 3.107 | 1.032 | 1.362 | 1.598 | 0.327 | 0.9993 |
| 2.0 | 2.921 | 1.127 | 1.771 | 2.210 | 0.419 | 0.9991 |
| 2.5 | 3.046 | 1.181 | 2.211 | 2.441 | 0.450 | 0.9994 |
| ρ (%) | E0/×10 GPa | εa/×10−4 | εh/×10−4 | εb/×10−4 | H | R2 |
|---|---|---|---|---|---|---|
| 0.5 | 3.427 | 0.164 | 0.394 | 1.601 | 0.202 | 0.9773 |
| 1.0 | 3.512 | 0.088 | 0.357 | 1.905 | 0.186 | 0.9692 |
| 1.5 | 3.649 | 0.033 | 0.261 | 2.209 | 0.172 | 0.9846 |
| 2.0 | 3.712 | 0.030 | 0.194 | 2.411 | 0.162 | 0.9721 |
Publisher’s Note: MDPI stays neutral with regard to jurisdictional claims in published maps and institutional affiliations. |
© 2021 by the authors. Licensee MDPI, Basel, Switzerland. This article is an open access article distributed under the terms and conditions of the Creative Commons Attribution (CC BY) license (https://creativecommons.org/licenses/by/4.0/).
Share and Cite
Bai, W.; Lu, X.; Guan, J.; Huang, S.; Yuan, C.; Xu, C. Stress–Strain Behavior of FRC in Uniaxial Tension Based on Mesoscopic Damage Model. Crystals 2021, 11, 689. https://doi.org/10.3390/cryst11060689
Bai W, Lu X, Guan J, Huang S, Yuan C, Xu C. Stress–Strain Behavior of FRC in Uniaxial Tension Based on Mesoscopic Damage Model. Crystals. 2021; 11(6):689. https://doi.org/10.3390/cryst11060689
Chicago/Turabian StyleBai, Weifeng, Xiaofeng Lu, Junfeng Guan, Shuang Huang, Chenyang Yuan, and Cundong Xu. 2021. "Stress–Strain Behavior of FRC in Uniaxial Tension Based on Mesoscopic Damage Model" Crystals 11, no. 6: 689. https://doi.org/10.3390/cryst11060689
APA StyleBai, W., Lu, X., Guan, J., Huang, S., Yuan, C., & Xu, C. (2021). Stress–Strain Behavior of FRC in Uniaxial Tension Based on Mesoscopic Damage Model. Crystals, 11(6), 689. https://doi.org/10.3390/cryst11060689

