Mechanical Properties and Microstructures of Al2O3/TiC/TiB2 Ceramic Tool Material
Abstract
1. Introduction
2. Experimental and Methods
2.1. Components and Preparation of Ceramic Tool Materials
2.2. Performance Testing of Tool Materials
2.3. Cutting Test of Ceramic Tool Materials
3. Results and Discussion
3.1. XRD Pattern of Al2O3-TiC-TiB2 Ceramic Tool Material
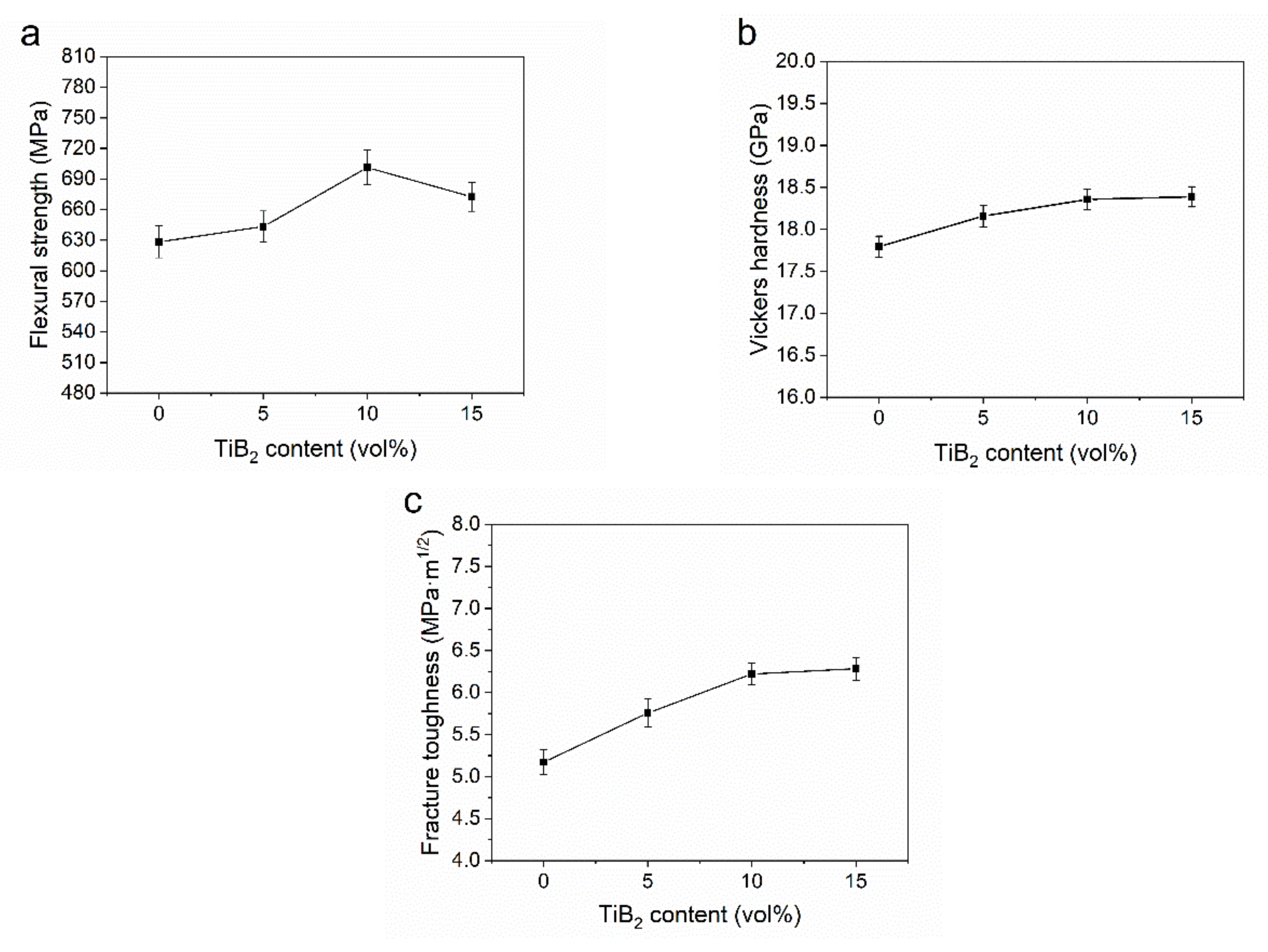
3.2. Mechanical Properties of Al2O3/TiC/TiB2 Ceramic Tool Materials with Different TiB2 Content
3.3. Microstructures of Al2O3/TiC/TiB2 Ceramic Tool Materials with Different TiB2 Content
3.4. Cutting Performance of Al2O3/TiC Ceramic Tool and Al2O3/TiC/10 vol.% TiB2 Ceramic Tool
3.4.1. Effect of TiB2 Addition on Tool Wear Performance
3.4.2. Effect of TiB2 Addition on Cutting Force of Ceramic Tool
4. Conclusions
- (1)
- With the increase of TiB2 content, the comprehensive mechanical properties of Al2O3/TiC/TiB2 ceramic tool materials showed a trend of first increase and then decrease. When the TiB2 content is 10 vol.%, the best comprehensive mechanical properties of ceramic tool materials are obtained. The flexural strength, hardness, and fracture toughness were 701.32 MPa, 18.3 GPa, and 6.2 MPa·m1/2, which were 11.6%, 2.2%, and 16.1% higher than those of Al2O3/TiC ceramic tool material, respectively.
- (2)
- TiB2 content has a significant influence on the microstructures of Al2O3/TiC/TiB2 ceramic tool materials. The fracture modes of ceramic tool materials are mainly transgranular fracture and intergranular fracture. The addition of TiB2 can effectively refine the grains, inhibit the abnormal growth of Al2O3 grains, and reduce the porosity of the material. However, excessive TiB2 can lead to the abnormal growth of some grains. TiB2 particles can induce transgranular fracture and significantly improve the mechanical properties of the tool material. Phase analysis shows that TiB2 has good chemical stability and does not react chemically with other components under vacuum sintering conditions.
- (3)
- The addition of TiB2 enhances the wear resistance of the tool to a certain extent. Compared with Al2O3/TiC tool material, Al2O3/TiC/10 vol.% TiB2 tool material has better wear resistance. When cutting with Al2O3/TiC/10 vol. % TiB2 tool, the TiB2 of the tool undergoes oxidation reaction at high cutting temperature, and the oxidation products can repair the cracks of the tool to some extent. At the same time, B2O3 and TiO2 produced during the cutting process are dragged to the surface of the tool, which plays a certain role of lubrication. The friction coefficient of the Al2O3/TiC/10 vol.% TiB2 tool is 10.77% lower than that of the Al2O3/TiC tool.
Author Contributions
Funding
Data Availability Statement
Acknowledgments
Conflicts of Interest
References
- Schulz, H.; Moriwaki, T. High-speed Machining. CIRP Ann. 1992, 41, 637–643. [Google Scholar] [CrossRef]
- Rakshit, R.; Das, A.K. A review on cutting of industrial ceramic materials. Precis. Eng. 2019, 59, 90–109. [Google Scholar] [CrossRef]
- Dong, Y.L.; Xu, F.M.; Shi, X.L.; Zhang, C.; Zhang, Z.J.; Yang, J.M.; Tan, Y. Fabrication and mechanical properties of nano-/micro-sized Al2O3/SiC composites. Mater. Sci. Eng. A. 2009, 504, 49–54. [Google Scholar] [CrossRef]
- Liu, J.; Liu, S.; Chen, Z.G.; Zhou, F.; Chang, M.S. Effect of Y-TZP on Mechanical Properties of Al2O3-TiB2 Ceramics. Int. J. Mod. Phys. B. 2003, 17, 1279–1284. [Google Scholar]
- Fei, Y.H.; Huang, C.Z.; Liu, H.L.; Zou, B. Mechanical Properties of Al2O3-TiN Nanocomposite Ceramic Tool Materials. Key Eng. Mater. 2012, 499, 108–113. [Google Scholar] [CrossRef]
- Tuan, W.H.; Chen, R.Z.; Wang, T.C.; Cheng, C.H.; Kuo, P.S. Mechanical properties of Al2O3/ZrO2 composites. J. Eur. Ceram. Soc. 2002, 22, 2827–2833. [Google Scholar] [CrossRef]
- Cai, K.; McLachlan, D.; Axen, N.; Manyatsa, R. Preparation, microstructures and properties of Al2O3-TiC composites. Ceram. Int. 2002, 28, 217–222. [Google Scholar] [CrossRef]
- Liu, N.; Shi, M.; Xu, Y.; You, X.; Ren, P.; Feng, J. Effect of starting powders size on the Al2O3-TiC composites. Int. J. Refract. Met. Hard Mater. 2004, 22, 265–269. [Google Scholar] [CrossRef]
- Yin, Z.; Huang, C.; Zou, B.; Liu, H.; Zhu, H.; Wang, J. High temperature mechanical properties of Al2O3/TiC micro–nano-composite ceramic tool materials. Ceram. Int. 2013, 39, 8877–8883. [Google Scholar] [CrossRef]
- Kasuriya, S.; Atong, D. The Effect of MgO-Y2O3 on Al2O3-TiC Composites. Mater. Sci. Forum. 2007, 534, 605–608. [Google Scholar] [CrossRef]
- Zhang, Y.; Wang, L.; Jiang, W.; Bai, G.; Chen, L. Effect of Fabrication Method on Microstructure and Properties of Al2O3-TiC Composites. Mater. Trans. 2005, 46, 2015–2019. [Google Scholar] [CrossRef]
- Triantou, K.; Mergia, K.; Perez, B.; Florez, S.; Stefan, A.; Ban, C.; Pelin, G.; Ionescu, G.; Zuber, C.; Fischer, W.; et al. Thermal shock performance of carbon-bonded carbon fiber composite and ceramic matrix composite joints for thermal protection re-entry applications. Compos. Part. B Eng. 2017, 111, 270–278. [Google Scholar] [CrossRef]
- Chiu, C.C. Influence of surface oxidation on thermal shock resistance and flexural strength of SiC/Al2O3 composites. J. Mater. Sci. 1994, 29, 2078–2082. [Google Scholar] [CrossRef]
- Tavangarian, F.; Hui, D.; Li, G. Crack-healing in ceramics. Compos. Part B Eng. 2018, 144, 56–87. [Google Scholar] [CrossRef]
- Lange, F.F.; Gupta, T.K. Crack Healing by Heat Treatment. J. Am. Ceram. Soc. 1970, 53, 54–55. [Google Scholar] [CrossRef]
- Heuer, A.H.; Roberts, J.P. The Influence of Annealing on the strength of Corundum Crystals. Proc. Br. Ceram. Soc. 1966, 6, 17–27. [Google Scholar]
- Zhang, X.-P.; Ouyang, J.-H.; Liu, Z.-G.; Wang, Y.-J.; Wang, Y.-M.; Zhou, Y. Crack-healing ability and strength recovery of different hot-pressed TZ3Y20A–SiC ceramics by heat treatment in air. Mater. Des. 2015, 67, 324–329. [Google Scholar] [CrossRef]
- Chlup, Z.; Flasar, P.; Kotoji, A.; Dlouhý, I. Fracture behaviour of Al2O3/SiC nanocomposite ceramics after crack healing treatment. J. Eur. Ceram. Soc. 2008, 28, 1073–1077. [Google Scholar] [CrossRef]
- Jianxin, D.; Tongkun, C.; Lili, L. Self-lubricating behaviors of Al2O3/TiB2 ceramic tools in dry high-speed machining of hardened steel. J. Eur. Ceram. Soc. 2005, 25, 1073–1079. [Google Scholar] [CrossRef]
- Li, M.; Huang, C.; Zhao, B.; Liu, H.; Wang, J.; Liu, Z. Crack-healing behavior of Al2O3-TiB2-TiSi2 ceramic material. Ceram. Int. 2018, 44, 2132–2137. [Google Scholar] [CrossRef]
- Li, M.; Huang, C.; Zhao, B.; Liu, H.; Wang, J.; Liu, Z. Mechanical properties and microstructure of Al2O3-TiB2-TiSi2 ceramic tool material. Ceram. Int. 2017, 43, 14192–14199. [Google Scholar] [CrossRef]
- Fei, Y.; Huang, C.; Liu, H.; Zou, B. Cutting behavior of new Al2O3-based ceramic tool material in hardened 40Cr. Tool Eng. 2018, 52, 62–65. [Google Scholar]
- Blanc, C.; Thevenot, F.; Goeuriot, D. Microstructural and mechanical characterization of SiC-submicron TiB2 composites. J. Eur. Ceram. Soc. 1999, 19, 561–569. [Google Scholar] [CrossRef]
- Shobu, K.; Watanabe, T.; Enomoto, Y.; Umeda, K.; Tsuya, Y. Frictional properties of sintered TiN-TiB2 and Ti(C,N)-TiB2 ceramics at high temperature. J. Am. Ceram. Soc. 2010, 70, C-103–C-104. [Google Scholar] [CrossRef]
- Zhao, G.; Huang, C.; Liu, H.; Zou, B.; Zhu, H.; Wang, J. Microstructure and mechanical properties of hot pressed TiB2-SiC composite ceramic tool materials at room and elevated temperatures. Mater. Sci. Eng. A 2014, 606, 108–116. [Google Scholar] [CrossRef]
- Zhang, W.; Lin, B.; Tang, Y.; Wang, Y.; Zhang, D.; Zhang, W. Microstructures and mechanical properties of high-performance nacre-inspired Al-Si/TiB2 composites prepared by freeze casting and pressure infiltration. Ceram Int. 2021, 47, 16891–16901. [Google Scholar] [CrossRef]
- Luo, G.; Chen, J.; Qin, J.; Sun, Y.; Zhang, J.; Li, Y.; Shen, Q. Microstructure and strengthening mechanism of boride in-situ reinforced titanium matrix composites prepared by plasma activated sintering. Ceram. Int. 2021, 47, 15910–15922. [Google Scholar] [CrossRef]
- Chen, Z.; Ji, L.; Guo, N.; Xu, C.; Zhang, S. Crack healing and strength recovery of Al2O3/TiC/TiB2 ceramic tool materials. Int. J. Refract. Met. Hard Mater. 2020, 87, 105167. [Google Scholar] [CrossRef]
- Zhu, D.G.; Sun, H.L.; Wang, Y.S.; Wang, L.H. Oxidation Behaviors of TiB2-TiCX and TiB2-TiCX/15SiC Ceramics. Adv. Mater. Res. 2010, 105-106, 179–183. [Google Scholar] [CrossRef]
- Li, Z.; Wei, M.; Xiao, K.; Bai, Z.; Xue, W.; Dong, C.; Wei, D.; Li, X. Microhardness and wear resistance of Al2O3-TiB2-TiC ceramic coatings on carbon steel fabricated by laser cladding. Ceram. Int. 2019, 45, 115–121. [Google Scholar] [CrossRef]
- Niihara, K.; Nakahira, A.; Hirai, T. The Effect of Stoichiometry on Mechanical Properties of Boron Carbide. J. Am. Ceram. Soc. 1984, 67, C-13–C-14. [Google Scholar] [CrossRef]












| Material | Particle Size (μm) | Manufacturer |
|---|---|---|
| Al2O3 | 0.5–1 | Qinhuangdao Yinuo High-tech Materials Development Co. LTD, Qingdao, China |
| TiC | 0.5–1 | Qinhuangdao Yinuo High-tech Materials Development Co. LTD, Qingdao, China |
| TiB2 | 1 | Qinhuangdao Yinuo High-tech Materials Development Co. LTD, Qingdao, China |
| MgO | 0.5 | Sinopharm Group Chemical Reagent Co. LTD, Shanghai, China |
| Material | Content of Each Component (vol.%) | |||
|---|---|---|---|---|
| Al2O3 | TiC | TiB2 | MgO | |
| Al2O3/TiC | 69.65 | 29.85 | 0 | 0.5 |
| Al2O3/TiC/5 vol.%TiB2 | 66.15 | 28.35 | 5 | 0.5 |
| Al2O3/TiC/10 vol.%TiB2 | 62.65 | 26.85 | 10 | 0.5 |
| Al2O3/TiC/15 vol.%TiB2 | 59.15 | 25.35 | 15 | 0.5 |
| Material | The Average Particle Size (μm) |
|---|---|
| Al2O3/TiC | 1.39 |
| Al2O3/TiC/5 vol.% TiB2 | 1.31 |
| Al2O3/TiC/10 vol.% TiB2 | 1.28 |
| Al2O3/TiC/15 vol.% TiB2 | 1.40 |
| Element | Mass Percentage (Wt%) |
|---|---|
| O | 32.6 |
| Ti | 22.9 |
| Al | 18.3 |
| C | 14.1 |
| B | 12.0 |
Publisher’s Note: MDPI stays neutral with regard to jurisdictional claims in published maps and institutional affiliations. |
© 2021 by the authors. Licensee MDPI, Basel, Switzerland. This article is an open access article distributed under the terms and conditions of the Creative Commons Attribution (CC BY) license (https://creativecommons.org/licenses/by/4.0/).
Share and Cite
Cui, H.; Chen, Z.; Xiao, G.; Ji, L.; Yi, M.; Zhang, J.; Zhou, T.; Xu, C. Mechanical Properties and Microstructures of Al2O3/TiC/TiB2 Ceramic Tool Material. Crystals 2021, 11, 637. https://doi.org/10.3390/cryst11060637
Cui H, Chen Z, Xiao G, Ji L, Yi M, Zhang J, Zhou T, Xu C. Mechanical Properties and Microstructures of Al2O3/TiC/TiB2 Ceramic Tool Material. Crystals. 2021; 11(6):637. https://doi.org/10.3390/cryst11060637
Chicago/Turabian StyleCui, Hao, Zhaoqiang Chen, Guangchun Xiao, Lianggang Ji, Mingdong Yi, Jingjie Zhang, Tingting Zhou, and Chonghai Xu. 2021. "Mechanical Properties and Microstructures of Al2O3/TiC/TiB2 Ceramic Tool Material" Crystals 11, no. 6: 637. https://doi.org/10.3390/cryst11060637
APA StyleCui, H., Chen, Z., Xiao, G., Ji, L., Yi, M., Zhang, J., Zhou, T., & Xu, C. (2021). Mechanical Properties and Microstructures of Al2O3/TiC/TiB2 Ceramic Tool Material. Crystals, 11(6), 637. https://doi.org/10.3390/cryst11060637

