The Electro-Optical Properties and Adhesion Strength of Epoxy-Polymercaptan-Based Polymer Dispersed Liquid Crystal Films
Abstract
1. Introduction
2. Materials and Methods
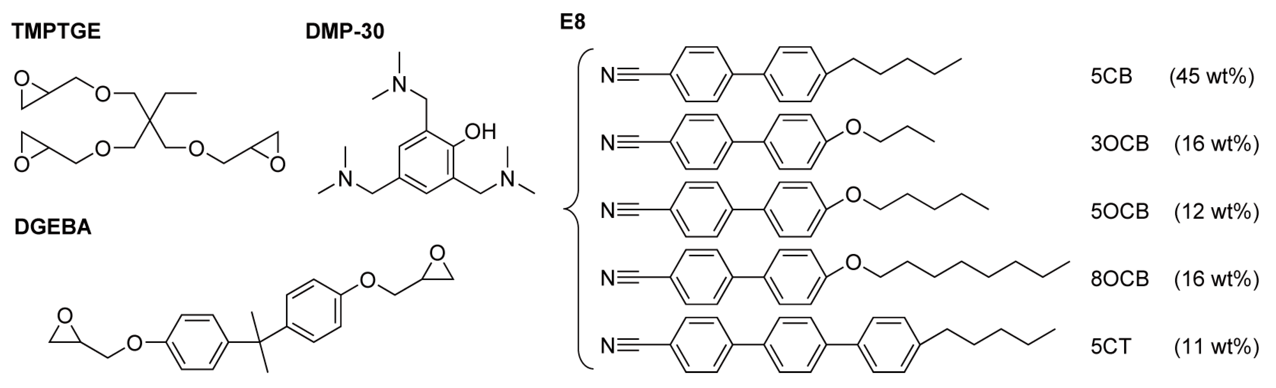
2.1. Materials
2.2. Sample Preparation
2.3. Measurements
3. Results and Discussion
3.1. The Effect of the Concentration of LC on the E-O Properties and Adhesion Strength of the PDLC Films
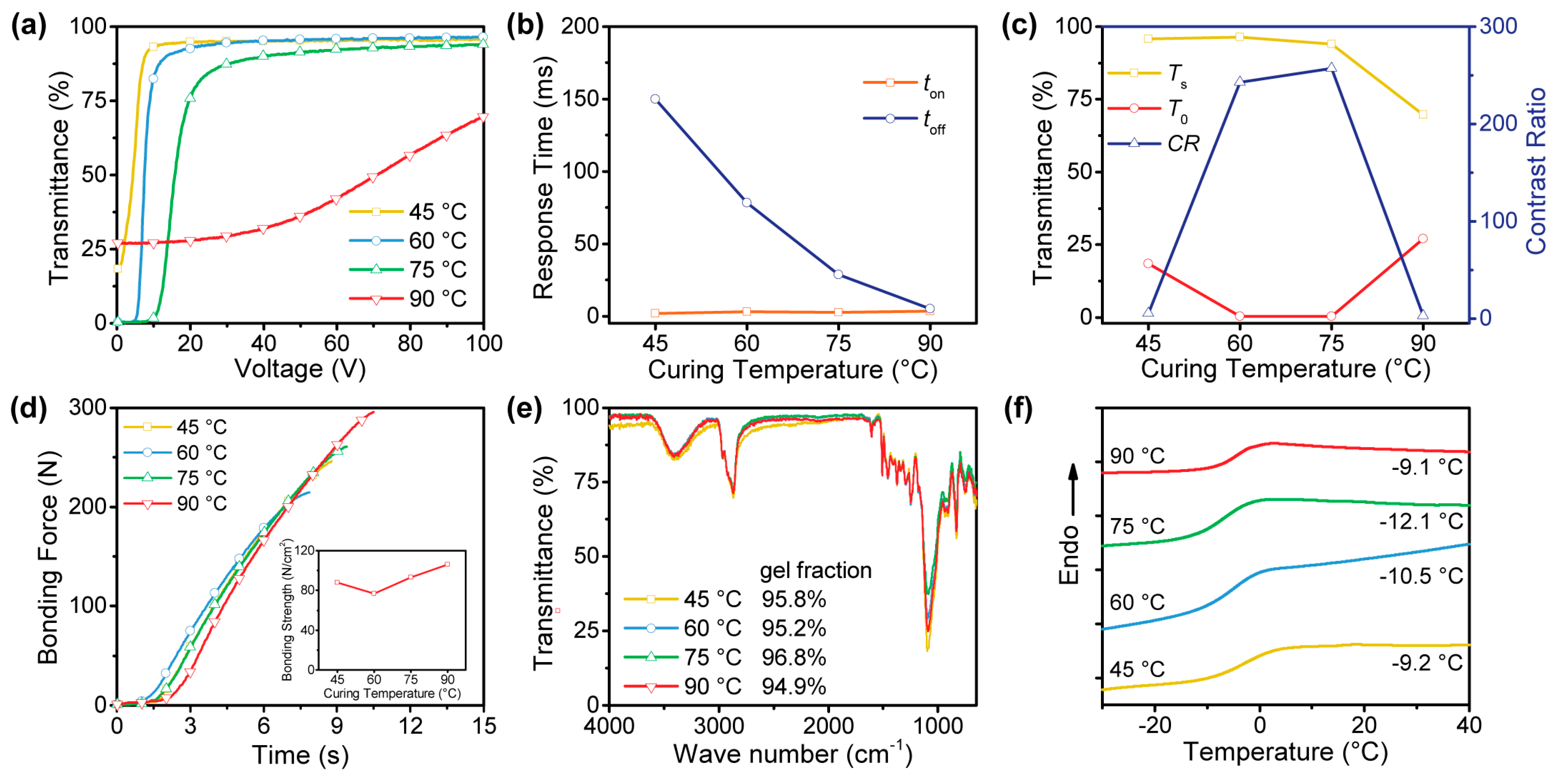
3.2. The Effect of the Curing Temperature on the E-O Properties and Adhesion Strength of the PDLC Films
3.3. The Effect of the Concentration of DMP-30 on the E-O Properties and Adhesion Strength of the PDLC Films
3.4. The Effect of the Structure of Epoxy Monomer on the E-O Properties and Adhesion Strength of the PDLC Films
3.5. The Advantage of Adhesion Strength of the Epoxy-Polymercaptan-Based PDLC Films
4. Conclusions
Supplementary Materials
Author Contributions
Funding
Informed Consent Statement
Data Availability Statement
Conflicts of Interest
References
- Higgins, D.A. Probing the mesoscopic chemical and physical properties of polymer-dispersed liquid crystals. Adv. Mater. 2000, 12, 251–264. [Google Scholar] [CrossRef]
 - Doane, J.W.; Golemme, A.; West, J.L.; Whitehead, J.B.; Wu, B.-G. Polymer Dispersed Liquid Crystals for Display Application. Mol. Cryst. Liq. Cryst. 1988, 165, 511–532. [Google Scholar] [CrossRef]
 - Sun, Y.; Zhang, C.; Zhou, L.; Fang, H.; Huang, J.; Ma, H.; Zhang, Y.; Yang, J.; Zhang, L.-Y.; Song, P.; et al. Effect of a Polymercaptan Material on the Electro-Optical Properties of Polymer-Dispersed Liquid Crystal Films. Molecules 2017, 22, 43. [Google Scholar] [CrossRef] [PubMed]
 - Amundson, K.; van Blaaderen, A.; Wiltzius, P. Morphology and electro-optic properties of polymer-dispersed liquid-crystal films. Phys. Rev. E 1997, 55, 1646–1654. [Google Scholar] [CrossRef]
 - Maschke, U.; Coqueret, X.; Benmouna, M. Electro-Optical Properties of Polymer-Dispersed Liquid Crystals. Macromol. Rapid Commun. 2002, 23, 159–170. [Google Scholar] [CrossRef]
 - Murai, H.; Gotoh, T. Stabilization of Epoxy-Based Polymer-Dispersed Liquid Crystal Films by Addition of Excess Hardener. Mol. Cryst. Liq. Cryst. 1993, 226, 13–23. [Google Scholar] [CrossRef]
 - Li, W.; Cheng, Z.; Pan, G.; Liu, H.; Cao, H.; Yang, Z.; Yang, H. Effects of the mixture composition on the microstructure of polymer matrix and light scattering properties of liquid crystal/photo-polymerizable monomers composites. Opt. Mater. 2008, 31, 434–439. [Google Scholar] [CrossRef]
 - Chen, M.; Hu, W.; Liang, X.; Zhang, H.; Zhang, C.; Song, P.; Zhang, L.; Li, F.; Chen, F.; Yang, H. The regulation of polymer structures and electro-optical properties of epoxy-mercaptan-based phase separated liquid crystals/polymer composites. Polymer 2017, 127, 1–7. [Google Scholar] [CrossRef]
 - Montgomery, G.P.; Vaz, N.A. Contrast ratios of polymer-dispersed liquid crystal films. Appl. Opt. 1987, 26, 738–743. [Google Scholar] [CrossRef]
 - Mucha, M. Polymer as an important component of blends and composites with liquid crystals. Prog. Polym. Sci. 2003, 28, 837–873. [Google Scholar] [CrossRef]
 - Baetens, R.; Jelle, B.P.; Gustavsen, A. Properties, requirements and possibilities of smart windows for dynamic daylight and solar energy control in buildings: A state-of-the-art review. Sol. Energy Mater. Sol. Cells 2010, 94, 87–105. [Google Scholar] [CrossRef]
 - Sheraw, C.D.; Zhou, L.; Huang, J.R.; Gundlach, D.J.; Jackson, T.N.; Kane, M.G.; Hill, I.G.; Hammond, M.S.; Campi, J.; Greening, B.K.; et al. Organic thin-film transistor-driven polymer-dispersed liquid crystal displays on flexible polymeric substrates. Appl. Phys. Lett. 2002, 80, 1088–1090. [Google Scholar] [CrossRef]
 - Mach, P.; Rodriguez, S.J.; Nortrup, R.; Wiltzius, P.; Rogers, J.A. Monolithically integrated, flexible display of polymer-dispersed liquid crystal driven by rubber-stamped organic thin-film transistors. Appl. Phys. Lett. 2001, 78, 3592–3594. [Google Scholar] [CrossRef]
 - Liang, X.; Guo, S.; Chen, M.; Li, C.; Wang, Q.; Zou, C.; Zhang, C.; Zhang, L.; Guo, S.; Yang, H. A temperature and electric field-responsive flexible smart film with full broadband optical modulation. Mater. Horiz. 2017, 4, 878–884. [Google Scholar] [CrossRef]
 - Guo, S.-M.; Liang, X.; Zhang, C.-H.; Chen, M.; Shen, C.; Zhang, L.-Y.; Yuan, X.; He, B.-F.; Yang, H. Preparation of a Thermally Light-Transmittance-Controllable Film from a Coexistent System of Polymer-Dispersed and Polymer-Stabilized Liquid Crystals. ACS Appl. Mater. Interfaces 2017, 9, 2942–2947. [Google Scholar] [CrossRef] [PubMed]
 - Wang, L.; Urbas, A.M.; Li, Q. Nature-Inspired Emerging Chiral Liquid Crystal Nanostructures: From Molecular Self-Assembly to DNA Mesophase and Nanocolloids. Adv. Mater. 2018, 1801335. [Google Scholar] [CrossRef]
 - Liang, X.; Guo, C.; Chen, M.; Guo, S.; Zhang, L.; Li, F.; Guo, S.; Yang, H. A roll-to-roll process for multi-responsive soft-matter composite films containing CsxWO3 nanorods for energy-efficient smart window applications. Nanoscale Horiz. 2017, 2, 319–325. [Google Scholar] [CrossRef] [PubMed]
 - Wang, L.; Li, Q. Photochromism into nanosystems: Towards lighting up the future nanoworld. Chem. Soc. Rev. 2018, 47, 1044–1097. [Google Scholar] [CrossRef]
 - Gutierrez-Cuevas, K.G.; Wang, L.; Zheng, Z.-G.; Bisoyi, H.K.; Li, G.; Tan, L.-S.; Vaia, R.A.; Li, Q. Frequency-Driven Self-Organized Helical Superstructures Loaded with Mesogen-Grafted Silica Nanoparticles. Angew. Chem. Int. Ed. 2016, 55, 13090–13094. [Google Scholar] [CrossRef]
 - Wang, L. Self-activating liquid crystal devices for smart laser protection. Liq. Cryst. 2016, 43, 2062–2078. [Google Scholar] [CrossRef]
 - Wang, L.; Li, Q. Stimuli-Directing Self-Organized 3D Liquid-Crystalline Nanostructures: From Materials Design to Photonic Applications. Adv. Funct. Mater. 2016, 26, 10–28. [Google Scholar] [CrossRef]
 - Belmonte, A.; Fernández-Francos, X.; Serra, À.; De la Flor, S. Phenomenological characterization of sequential dual-curing of off-stoichiometric “thiol-epoxy” systems: Towards applicability. Mater. Des. 2017, 113, 116–127. [Google Scholar] [CrossRef]
 - Lin, H.; Zhang, S.; Saeed, M.H.; Zhou, L.; Gao, H.; Huang, J.; Zhang, L.; Yang, H.; Xiao, J.; Gao, Y. Effects of the methacrylate monomers with different end groups on the morphologies, electro-optical and mechanical properties of polymer dispersed liquid crystals composite films. Liq. Cryst. 2020. [Google Scholar] [CrossRef]
 - Zhang, T.; Kashima, M.; Zhang, M.; Liu, F.; Song, P.; Zhao, X.; Zhang, C.; Cao, H.; Yang, H. Effects of the functionality of epoxy monomer on the electro-optical properties of thermally-cured polymer dispersed liquid crystal films. RSC Adv. 2012, 2, 2144–2148. [Google Scholar] [CrossRef]
 - Ho, T.-H.; Wang, C.-S. Modification of epoxy resin with siloxane containing phenol aralkyl epoxy resin for electronic encapsulation application. Eur. Polym. J. 2001, 37, 267–274. [Google Scholar] [CrossRef]
 - Ho, T.-H.; Wang, C.-S. Modification of epoxy resins with polysiloxane thermoplastic polyurethane for electronic encapsulation: 1. Polymer 1996, 37, 2733–2742. [Google Scholar] [CrossRef]
 - Wang, G.; Yang, J. Influences of molecular weight of epoxy binder on fire protection of waterborne intumescent fire resistive coating. Surf. Coat. Technol. 2012, 206, 2146–2151. [Google Scholar] [CrossRef]
 - Bronnikov, S.; Kostromin, S.; Zuev, V. Polymer-Dispersed Liquid Crystals: Progress in Preparation, Investigation, and Application. J. Macromol. Sci. Part B 2013, 52, 1718–1735. [Google Scholar] [CrossRef]
 - Smith, G.W.; Vaz, N.A. The relationship between formation kinetics and microdroplet size of epoxy-based polymer-dispersed liquid crystals. Liq. Cryst. 1988, 3, 543–571. [Google Scholar] [CrossRef]
 - Vidil, T.; Tournilhac, F.; Musso, S.; Robisson, A.; Leibler, L. Control of reactions and network structures of epoxy thermosets. Prog. Polym. Sci. 2016, 62, 126–179. [Google Scholar] [CrossRef]
 - Shen, W.; Wang, L.; Zhong, T.; Chen, G.; Li, C.; Chen, M.; Zhang, C.; Zhang, L.; Li, K.; Yang, Z.; et al. Electrically switchable light transmittance of epoxy-mercaptan polymer/nematic liquid crystal composites with controllable microstructures. Polymer 2019, 160, 53–64. [Google Scholar] [CrossRef]
 










| Sample | Composition (DGEBA/TMPTGE/3-800/E8/DMP-30, wt.%)  | Curing Temperature (°C) | 
|---|---|---|
| Group A | ||
| A1 | 8.12/24.38/32.50/35.00/0.20 | 60 | 
| A2 | 7.50/22.50/30.00/40.00/0.20 | 60 | 
| A3 | 6.87/20.63/27.50/45.00/0.20 | 60 | 
| A4 | 6.25/18.75/25.00/50.00/0.20 | 60 | 
| Group B | ||
| B1 | 7.50/22.50/30.00/40.00/0.20 | 45 | 
| B2 | 7.50/22.50/30.00/40.00/0.20 | 60 | 
| B3 | 7.50/22.50/30.00/40.00/0.20 | 75 | 
| B4 | 7.50/22.50/30.00/40.00/0.20 | 90 | 
| Group C | ||
| C1 | 7.50/22.50/30.00/40.00/0.05 | 60 | 
| C2 | 7.50/22.50/30.00/40.00/0.10 | 60 | 
| C3 | 7.50/22.50/30.00/40.00/0.20 | 60 | 
| C4 | 7.50/22.50/30.00/40.00/0.40 | 60 | 
| Group D | ||
| D1 | 30.00/-/30.00/40.00/0.20 | 60 | 
| D2 | 22.50/7.50/30.00/40.00/0.20 | 60 | 
| D3 | 15.00/15.00/30.00/40.00/0.20 | 60 | 
| D4 | 7.50/22.50/30.00/40.00/0.20 | 60 | 
| D5 | -/30.00/30.00/40.00/0.20 | 60 | 
Publisher’s Note: MDPI stays neutral with regard to jurisdictional claims in published maps and institutional affiliations.  | 
© 2021 by the authors. Licensee MDPI, Basel, Switzerland. This article is an open access article distributed under the terms and conditions of the Creative Commons Attribution (CC BY) license (https://creativecommons.org/licenses/by/4.0/).
Share and Cite
Chen, G.; Hu, W.; Zhou, L.; Zhang, H.; Wang, L.; Zhang, C.; Sun, J.; Zhang, L.; Yuan, X.; Zhu, S. The Electro-Optical Properties and Adhesion Strength of Epoxy-Polymercaptan-Based Polymer Dispersed Liquid Crystal Films. Crystals 2021, 11, 576. https://doi.org/10.3390/cryst11060576
Chen G, Hu W, Zhou L, Zhang H, Wang L, Zhang C, Sun J, Zhang L, Yuan X, Zhu S. The Electro-Optical Properties and Adhesion Strength of Epoxy-Polymercaptan-Based Polymer Dispersed Liquid Crystal Films. Crystals. 2021; 11(6):576. https://doi.org/10.3390/cryst11060576
Chicago/Turabian StyleChen, Gang, Wei Hu, Le Zhou, Huimin Zhang, Ling Wang, Cuihong Zhang, Jian Sun, Lanying Zhang, Xiaotao Yuan, and Siquan Zhu. 2021. "The Electro-Optical Properties and Adhesion Strength of Epoxy-Polymercaptan-Based Polymer Dispersed Liquid Crystal Films" Crystals 11, no. 6: 576. https://doi.org/10.3390/cryst11060576
APA StyleChen, G., Hu, W., Zhou, L., Zhang, H., Wang, L., Zhang, C., Sun, J., Zhang, L., Yuan, X., & Zhu, S. (2021). The Electro-Optical Properties and Adhesion Strength of Epoxy-Polymercaptan-Based Polymer Dispersed Liquid Crystal Films. Crystals, 11(6), 576. https://doi.org/10.3390/cryst11060576
        
                                                
