Relationships between the Structural, Vibrational, and Optical Properties of Microporous Cancrinite
Abstract
1. Introduction
2. Materials and Methods
2.1. Sample Description
2.2. Electron Probe Microanalysis (EPMA)
2.3. Single-Crystal X-ray Diffraction (SCXRD)
2.4. Raman and Infrared (IR) Spectroscopy
2.5. Optical Absorption Spectroscopy and Electron Spin Resonance (ESR)
3. Results
3.1. Chemical Composition and Structure Description
3.2. Cancrinite Cage
3.3. Channel
3.4. Raman Spectroscopy
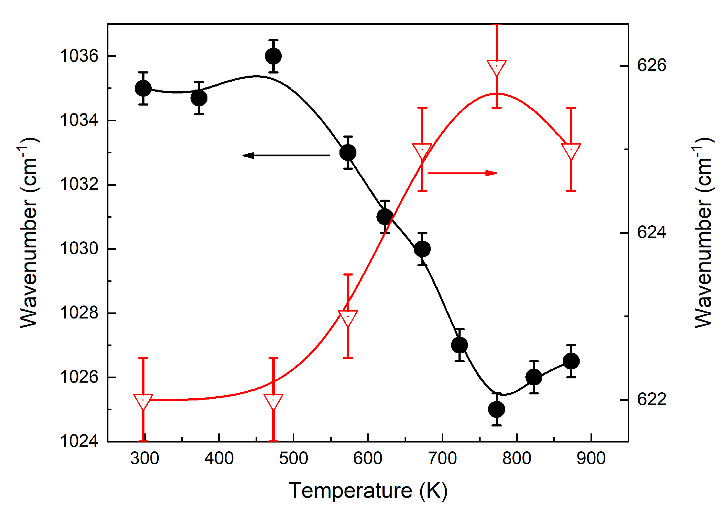
3.5. Infrared Spectroscopy
3.6. Optical Absorption Spectroscopy and ESR
4. Discussion
4.1. Crystal-Chemical Features
4.2. Dehydration of Cancrinite
4.3. Color of Cancrinite
5. Conclusions
Author Contributions
Funding
Institutional Review Board Statement
Informed Consent Statement
Data Availability Statement
Acknowledgments
Conflicts of Interest
References
- Baerlocher, C.; McCusker, L.B.; Olson, D.H. Atlas of Zeolite Framework Types, 6th ed.; Elsevier: Amsterdam, The Netherlands, 2007. [Google Scholar]
- Hoffmann, S.K.; Goslar, J.; Lijewski, S.; Olejniczak, I.; Jankowska, A.; Zeidler, S.; Koperska, N.; Kowalak, S. S3− radicals in ε-cages of cancrinite and zeolite L: Spectroscopic and magnetic resonance studies. Micropor. Mesopor. Mat. 2012, 151, 70–78. [Google Scholar] [CrossRef]
- Buck, E.C.; McNamara, B.K. Precipitation of nitrate-cancrinite in Hanford tank sludge. Environ. Sci. Technol. 2004, 38, 4432–4438. [Google Scholar] [CrossRef]
- Pauling, L. The structure of some sodium and calcium aluminosilicates. Proc. Natl. Acad. Sci. USA 1930, 16, 453–459. [Google Scholar] [CrossRef] [PubMed]
- Jarchow, O. Atomanordnung und strukturverfeinerung von Cancrinit. Zeitschrift für Kristallographie 1965, 122, 407–422. [Google Scholar] [CrossRef]
- Grundy, H.D.; Hassan, I. The crystal structure of a carbonate-rich cancrinite. Can. Min. 1982, 20, 239–251. [Google Scholar]
- Ballirano, P.; Maras, A.; Caminiti, R.; Sadun, C. Carbonate-cancrinite: In-situ real-time thermal processes studied by means of energy-dispersive X-ray powder-diffractometry. Powder Diffr. 1995, 10, 173–177. [Google Scholar] [CrossRef]
- Ballirano, P.; Maras, A. The crystal structure of a “disordered” cancrinite. Eur. J. Mineral. 2004, 16, 135–141. [Google Scholar] [CrossRef]
- Rastsvetaeva, R.K.; Pekov, I.V.; Chukanov, N.V.; Rozenberg, K.A.; Olysych, L.V. Crystal structures of low-symmetry cancrinite and cancrisilite varieties. Crystallogr. Rep. 2007, 52, 811–818. [Google Scholar] [CrossRef]
- Della Ventura, G.; Gatta, G.D.; Redhammer, G.J.; Bellatreccia, F.; Loose, A.; Parodi, G.C. Single-crystal polarized FTIR spectroscopy and neutron diffraction refinement of cancrinite. Phys. Chem. Minerals 2009, 36, 193–206. [Google Scholar] [CrossRef]
- Pekov, I.V.; Olysych, L.V.; Chukanov, N.V.; Zubkova, N.V.; Pushcharovsky, D.Y.; Van, K.V.; Giester, G.; Tillmanns, E. Crystal chemistry of cancrinite-group minerals with an AB-type framework: A review and new data. I. Chemical and structural variations. Can. Min. 2011, 49, 1129–1150. [Google Scholar] [CrossRef]
- Chukanov, N.V.; Pekov, I.V.; Olysych, L.V.; Zubkova, N.V.; Vigasina, M.F. Crystal chemistry of cancrinite-group minerals with an AB-type framework: A review and new data. II. IR spectroscopy and its crystal-chemical implications. Can. Min. 2011, 49, 1151–1164. [Google Scholar] [CrossRef]
- Bonaccorsi, E.; Merlino, S. Modular microporous minerals: Cancrinite-davyne groups and C-S-H phases. Rev. Mineral. Geochem. 2005, 57, 241–290. [Google Scholar] [CrossRef]
- Yarmolyuk, V.V.; Kovalenko, V.I.; Sal’nikova, E.B.; Nikiforov, A.V.; Kotov, A.B.; Vladykin, N.V. Late Riphean rifting and breakup of Laurasia: Data on geochronological studies of ultramafic alkaline complexes in the southern framing of the Siberian Craton. Doklady Earth Sci. 2005, 404, 1031–1036. [Google Scholar]
- Bruker APEX2, version 2.0-2; Bruker AXS Inc.: Madison, WI, USA, 2007.
- CrysAlisPro Software system, version 1.171.39.46; Rigaku Oxford Diffraction: Tokyo, Japan, 2018.
- Betteridge, P.W.; Carruthers, J.R.; Cooper, R.I.; Prout, K.; Watkin, D.J. Crystals version 12: Software for guided crystal structure analysis. J. App. Cryst. 2003, 36, 1487. [Google Scholar] [CrossRef]
- Momma, K.; Izumi, F. VESTA 3 for three-dimensional visualization of crystal, volumetric and morphology data. J. Appl. Crystallogr. 2011, 44, 1272–1276. [Google Scholar] [CrossRef]
- Sapozhnikov, A.N.; Tauson, V.L.; Lipko, S.V.; Shendrik, R.Y.; Levitskii, V.I.; Suvorova, L.F.; Chukanov, N.V.; Vigasina, M.F. On the crystal chemistry of sulfur-rich lazurite, ideally Na7Ca(Al6Si6O24)(SO4)(S3)− nH2O. Am. Min. 2021, 106, 226–234. [Google Scholar] [CrossRef]
- Kaneva, E.; Bogdanov, A.; Shendrik, R. Structural and vibrational properties of agrellite. Sci. Rep. 2020, 10, 15569. [Google Scholar] [CrossRef]
- Chukanov, N.V.; Sapozhnikov, A.N.; Shendrik, R.Y.; Vigasina, M.F.; Steudel, R. Spectroscopic and crystal-chemical features of sodalite-group minerals from gem lazurite deposits. Minerals 2020, 10, 1042. [Google Scholar] [CrossRef]
- Kaneva, E.V.; Shendrik, R.; Radomskaya, T.A.; Suvorova, L.F. Fedorite from Murun alkaline complex (Russia): Spectroscopy and crystal chemical features. Minerals 2020, 10, 702. [Google Scholar] [CrossRef]
- Kaneva, E.; Shendrik, R.; Mesto, E.; Bogdanov, A.; Vladykin, N. Spectroscopy and crystal chemical properties of NaCa2[Si4O10]F natural agrellite with tubular structure. Chem. Phys. Lett. 2020, 738, 136868. [Google Scholar] [CrossRef]
- McCusker, L.B.; Liebau, F.; Engelhardt, G. Nomenclature of structural and compositional characteristics of ordered microporous and mesoporous materials with inorganic hosts (IUPAC Reccomendations 2001). Pure Appl. Chem. 2001, 73, 381–394. [Google Scholar] [CrossRef]
- Nakamoto, K.; Fujita, J.; Tanaka, S.; Kobayashi, M. Infrared spectra of metallic complexes. IV. Comparison of the infrared spectra of unidentate and bidentate metallic complexes. J. Am. Chem. Soc. 1957, 79, 4904–4908. [Google Scholar] [CrossRef]
- Gatta, G.D.; Lotti, P.; Kahlenberg, V.; Haefeker, U. The low-temperature behavior of cancrinite: An in situ single-crystal X-ray diffraction study. Min. Mag. 2012, 76, 933–948. [Google Scholar] [CrossRef]
- Frost, R.L.; Bahfenne, S. Raman and mid-IR spectroscopic study of the magnesium carbonate minerals—Brugnatellite and coalingite. J. Raman Spectrosc. 2009, 40, 360–365. [Google Scholar] [CrossRef]
- Martins, T.; Kressall, R.; Medici, L.; Chakhmouradian, A.R. Cancrinite–vishnevite solid solution from Cinder Lake (Manitoba, Canada): Crystal chemistry and implications for alkaline igneous rocks. Min. Mag. 2017, 81, 1261–1277. [Google Scholar] [CrossRef]
- Reshetnyak, N.B.; Sosedko, T.A.; Tret’yakova, L.I. Combination light scattering in minerals. Mineral. Zh. 1988, 10, 69–73. [Google Scholar]
- Isupova, D.; Ida, A.; Kihara, K.; Morishita, T.; Bulka, G. Asymmetric thermal vibrations of atoms and pyroelectricity in cancrinite. J. Mineral. Petrol. Sci. 2010, 105, 29–41. [Google Scholar] [CrossRef]
- Hassan, I.; Antao, S.M.; Parise, J.B. Cancrinite: Crystal structure, phase transitions, and dehydration behavior with temperature. Amer. Min. 2006, 91, 1117–1124. [Google Scholar] [CrossRef]
- Dumanska-Słowik, M.; Pieczka, A.; Heflik, W.; Sikorska, M. Cancrinite from nepheline syenite (mariupolite) of the Oktiabski massif, SE Ukraine, and its growth history. Spectrochimica Acta A Mol. Biomol. Spectrosc. 2016, 157, 211–219. [Google Scholar] [CrossRef]
- Ogorodova, L.P.; Mel’chakova, L.V.; Vigasina, M.F.; Olysych, L.V.; Pekov, I.V. Cancrinite and cancrisilite in the Khibina-Lovozero alkaline complex: Thermochemical and thermal data. Geochem. Int. 2019, 47, 260–267. [Google Scholar] [CrossRef]
- Zubkova, N.V.; Chukanov, N.V.; Pekov, I.V.; Pushcharovskii, D.Y. Low-hydrous cancrinite: Atomic structure and indicative importance. Doklady Earth Sci. 2011, 439, 998–1001. [Google Scholar] [CrossRef]
- Gagnè, O.C.; Hawthorne, F.C. Comprehensive derivation of bond-valence parameters for ion pairs involving oxygen. Acta Crystallographica 2015, B71, 562–578. [Google Scholar] [CrossRef] [PubMed]
- Robinson, K.; Gibbs, G.V.; Ribbe, P.H. Quadratic elongation: A quantitative measure of distortion in coordination polyhedra. Science 1971, 172, 567–570. [Google Scholar] [CrossRef]
- Renner, B.; Lehmann, G. Correlation of angular and bond length distortions in TO4 units in crystals. Zeitschrift für Kristallographie 1986, 175, 43–59. [Google Scholar] [CrossRef]
- Salinas-Sanchez, A.; Garcia-Mucoz, J.L.; Rodriguez-Carvajal, J.; Saez-Puche, R.; Martinez, J.L. Structural characterization of R2BaCuO5 (R = Y, Lu, Yb, Tm, Er, Ho, Dy, Gd, Eu and Sm) oxides by X-ray and neutron diffraction. J. Solid State Chem. 1992, 100, 201–211. [Google Scholar] [CrossRef]
- Brown, I.D. The Chemical Bond in Inorganic Chemistry: The Bond Valence Model; Oxford University Press: Oxford, UK, 2006. [Google Scholar] [CrossRef]
- Foit, F.; Peacor, D.; Heinrich, E.W. Cancrinite with a new superstructure from Bancroft, Ontario. Can. Min. 1973, 11, 940–951. [Google Scholar]
- Hassan, I.; Buseck, P.R. The origin of the superstructure and modulations in cancrinite. Can. Min. 1992, 30, 49–59. [Google Scholar]
- Cadoni, M.; Ferraris, G. Synthesis and crystal structure of Na2MnSi4O10: Relationship with the manaksite group. Rendiconti Lincei 2011, 22, 225. [Google Scholar] [CrossRef]
- Gatta, G.D.; Comboni, D.; Alvaro, M.; Lotti, P.; Cámara, F.; Domeneghetti, M.C. Thermoelastic behavior and dehydration process of cancrinite. Phys. Chem. Miner. 2014, 41, 373–386. [Google Scholar] [CrossRef]
- Fechtelkord, M.; Stief, F.; Buhl, J.-C. Sodium cation dynamics in nitrate cancrinite: A low and high temperature 23Na and 1H MAS NMR study and high temperature Rietveld structure refinement. Amer. Min. 2001, 86, 165–175. [Google Scholar] [CrossRef]
- Serway, R.A.; Marshall, S.A. Electron spin resonance absorption spectrum of orthorhombic CO3− molecule-ions in irradiated single crystal calcite. J. Chem. Phys. 1967, 47, 868–869. [Google Scholar] [CrossRef]
- Edgar, A.; Vance, E.R. Electron paramagnetic resonance, optical absorption, and magnetic circular dichroism studies of the CO−3 molecular-ion in irradiated natural beryl. Phys. Chem. Minerals 1977, 1, 165–178. [Google Scholar] [CrossRef]
- Mittani, J.C.R.; Watanabe, S.; Chubaci, J.F.D.; Matsuoka, M.; Baptista, D.L.; Zawislak, F.C. γ-radiation effects on colourless silicates of beryl. Nucl. Instrum. Methods Phys. Res. B 2002, 191, 281–284. [Google Scholar] [CrossRef]
- Andersson, L.O. Comments on beryl colors and on other observations regarding iron-containing beryls. Can. Min. 2019, 57, 551–566. [Google Scholar] [CrossRef]
- Figueroa, J.D.; Fuentes-Lemus, E.; Dorta, E.; Melin, V.; Cortés-Ríos, J.; Faúndez, M.; Contreras, D.; Denicola, A.; Álvarez, B.; Davies, M.J.; et al. Quantification of carbonate radical formation by the bicarbonate-dependent peroxidase activity of superoxide dismutase 1 using pyrogallol red bleaching. Redox Biol. 2019, 24, 101207. [Google Scholar] [CrossRef] [PubMed]
- Chantry, G.W.; Horsfield, A.; Morton, J.R.; Whiffen, D.H. The structure, electron resonance and optical spectra of trapped CO3− and NO3. Mol. Phys. 1962, 5, 589–599. [Google Scholar] [CrossRef]
- Tavender, S.M.; Johnson, S.A.; Balsom, D.; Parker, A.W.; Bisby, R.H. The carbonate (CO3)− in solution studied by resonance Raman spectroscopy. Laser Chem. 1999, 19, 056589. [Google Scholar] [CrossRef]
- Shkrob, I.A. Ionic species in pulse radiolysis of supercritical carbon dioxide. 2. Ab initio studies on the structure and optical properties of (CO2)n+, (CO2)2−, and CO3− ions. J. Phys. Chem. A 2002, 106, 11871–11881. [Google Scholar] [CrossRef]










| Crystal Data | |
| a (Å) | 12.63189(14) |
| b (Å) | 12.63189(14) |
| c (Å) | 5.13601(7) |
| V (Å3) | 709.730(17) |
| Z | 1 |
| Crystal dimensions (mm) | 0.226 × 0.114 × 0.049 |
| Data Collection | |
| Independent reflections | 2551 |
| Rmerging [R(int)] (%) | 2.90 |
| hmin, hmax | −21, 21 |
| kmin, kmax | −21, 21 |
| lmin, lmax | −8, 8 |
| Refinement | |
| Space group | P63 |
| Reflections used in the refinement (I > 3σ(I)) | 2402 |
| N. of refined parameters | 108 |
| Ra [on F] (%) | 2.97 |
| Rwb [on F] (%) | 3.01 |
| Goof c | 1.0899 |
| Δρmin/Δρmax (e−/Å3) | −0.51/0.58 |
| Site | x/a | y/b | z/c | Occ. | Ueq |
|---|---|---|---|---|---|
| Na1 | 2/3 | 1/3 | 0.1268(5) | 0.896(10) | 0.0323 |
| Na2 | 0.1270(3) | 0.2572(4) | 0.2638(10) | 0.58(2) | 0.0252 |
| Ca2 | 0.12128(18) | 0.2447(2) | 0.3048(7) | 0.334(14) | 0.0181 |
| Si1 | 0.328382(18) | 0.410543(19) | 0.7400(3) | 1 | 0.0067 |
| Al2 | 0.07556(2) | 0.41210(2) | 0.7406(3) | 1 | 0.0066 |
| O1 | 0.20328(6) | 0.40530(7) | 0.6480(3) | 1 | 0.0123 |
| O2 | 0.11309(8) | 0.56252(6) | 0.7173(3) | 1 | 0.0182 |
| O3 | 0.02998(7) | 0.34914(7) | 0.0494(3) | 1 | 0.0135 |
| O4 | 0.31364(7) | 0.35660(7) | 0.0339(3) | 1 | 0.0138 |
| C1 | 0 | 0 | 0.8966(15) | 0.378(8) | 0.0273 |
| OC1 | 0.1177(3) | 0.0586(4) | 0.4071(15) | 0.378(8) | 0.0614 |
| C2 | 0 | 0 | 0.671(2) | 0.472(8) | 0.0466 |
| OC2 | 0.0583(2) | 0.1198(2) | 0.6628(7) | 0.472(8) | 0.0380 |
| Ow | 2/3 | 1/3 | 0.6702(14) | 1 | 0.1893 |
| H1 | 0.7233 | 0.4282 | 0.6408 | 2/3 | 0.1053 |
| Site | U11 | U22 | U33 | U23 | U13 | U12 |
|---|---|---|---|---|---|---|
| Na1 | 0.0195(4) | 0.0195(4) | 0.0579(10) | 0 | 0 | 0.0098(2) |
| Na2 | 0.0198(7) | 0.0417(15) | 0.0216(11) | 0.0149(9) | 0.0070(6) | 0.0211(9) |
| Ca2 | 0.0169(4) | 0.0142(7) | 0.0226(8) | 0.0008(4) | −0.0005(4) | 0.0073(4) |
| Si1 | 0.00640(8) | 0.00671(8) | 0.00722(8) | 0.00045(8) | 0.00011(8) | 0.00355(6) |
| Al2 | 0.00599(8) | 0.00666(9) | 0.00707(9) | 0.00036(9) | −0.00003(8) | 0.00312(6) |
| O1 | 0.0090(2) | 0.0196(3) | 0.0123(2) | 0.0026(2) | 0.00100(19) | 0.0102(2) |
| O2 | 0.0207(3) | 0.0111(2) | 0.0265(4) | 0.0016(3) | 0.0020(3) | 0.0108(2) |
| O3 | 0.0118(3) | 0.0208(3) | 0.0096(3) | 0.0044(2) | 0.00294(18) | 0.0095(2) |
| O4 | 0.0153(3) | 0.0223(3) | 0.0079(3) | 0.0030(2) | 0.00109(18) | 0.0125(2) |
| C1 | 0.0097(11) | 0.0097(11) | 0.063(4) | 0 | 0 | 0.0048(6) |
| OC1 | 0.0210(16) | 0.0303(18) | 0.128(6) | −0.010(2) | −0.010(2) | 0.0092(13) |
| C2 | 0.0174(12) | 0.0174(12) | 0.105(7) | 0 | 0 | 0.0087(6) |
| OC2 | 0.0176(9) | 0.0138(9) | 0.082(3) | 0.0073(9) | 0.0041(10) | 0.0076(6) |
| Ow | 0.264(10) | 0.264(10) | 0.040(2) | 0 | 0 | 0.132(5) |
| Bond Distances | Angles | ||||
|---|---|---|---|---|---|
| Si1-O1 | 1.6187(11) | Al2-O1 | 1.7248(11) | O1-Si1-O2 | 107.76(4) |
| Si1-O2 | 1.6136(6) | Al2-O2 | 1.7172(8) | O1-Si1-O3 | 107.14(4) |
| Si1-O3 | 1.6316(16) | Al2-O3 | 1.7382(20) | O1-Si1-O4 | 110.40(4) |
| Si1-O4 | 1.6281(20) | Al2-O4 | 1.7474(14) | O2-Si1-O3 | 112.39(5) |
| <Si1-O> | 1.623 | <Al2-O> | 1.732 | O2-Si1-O4 | 112.45(5) |
| O3-Si1-O4 | 106.59(4) | ||||
| Na1-O1 | 2.8606(10) | <O-Si1-O> | 109.46 | ||
| Na1-O1’(×2) | 2.8617(7) | C1-OC1(×3) | 1.2887(33) | ||
| Na1-O2(×2) | 2.4546(10) | C2-OC2(×3) | 1.3114(22) | O1-Al2-O2 | 106.76(4) |
| Na1-O2’ | 2.4557(12) | O1-Al2-O3 | 109.45(4) | ||
| Na1-Ow | 2.3451(76) | Ow-H1 | 1.055(1) | O1-Al2-O4 | 106.67(4) |
| Na1-Ow’ | 2.7909(76) | O2-Al2-O3 | 114.50(4) | ||
| <Na-O> | 2.636 | O2-Al2-O4 | 114.18(4) | ||
| O3-Al2-O4 | 104.99(3) | ||||
| (1) | (2) | <O-Al2-O> | 109.43 | ||
| Na2-O1 | 2.5533(50) | Na2-O1 | 2.5533(50) | ||
| Na2-O3 | 2.3424(55) | Na2-O3 | 2.3424(55) | ||
| Na2-O3’ | 2.9055(44) | Na2-O3’ | 2.9055(44) | Si1-O1-Al2 | 146.69(5) |
| Na2-O4 | 2.3598(39) | Na2-O4 | 2.3598(39) | Si1-O2-Al2 | 152.78(6) |
| Na2-O4’ | 2.9279(52) | Na2-O4’ | 2.9279(52) | Si1-O3-Al2 | 133.11(5) |
| Na2-OC1 | 2.3845(82) | Na2-OC2 | 2.4827(61) | Si1-O4-Al2 | 133.09(5) |
| Na2-OC1’ | 2.5364(52) | Na2-OC2’ | 2.5038(38) | ||
| Na2-OC1” | 2.5601(77) | Na2-OC2” | 2.5414(58) | ||
| <Na-O> | 2.571 | <Na-O> | 2.577 | OC1-C1-OC1(×3) | 119.83(8) |
| OC2-C1-OC2(×3) | 119.90(6) | ||||
| (1) | (2) | ||||
| Ca2-O1 | 2.4888(32) | Ca2-O1 | 2.4888(32) | ||
| Ca2-O3 | 2.5125(34) | Ca2-O3 | 2.5125(34) | H1-Ow-H1’ | 118.00(1) |
| Ca2-O3’ | 2.8355(27) | Ca2-O3’ | 2.8355(27) | ||
| Ca2-O4 | 2.5305(27) | Ca2-O4 | 2.5305(27) | ||
| Ca2-O4’ | 2.8729(32) | Ca2-O4’ | 2.8729(32) | ||
| Ca2-OC1 | 2.3682(40) | Ca2-OC2 | 2.2908(45) | ||
| Ca2-OC1’ | 2.3871(62) | Ca2-OC2’ | 2.4175(41) | C1-C2 | 1.159(13) |
| Ca2-OC1” | 2.4704(76) | Ca2-OC2” | 2.4434(28) | C1-C2 | 1.409(13) |
| <Ca-O> | 2.558 | <Ca-O> | 2.549 | ||
| Zhidoi (Russia) This Study | Oktiabrski (Ukraine) [32] | Satom Quarry (Cameroun) [10] | IMC Quarries (Canada) [10] | Khibiny (Russia) [33] | Kovdor (Russia) [9] | Satom Quarry (Canada) [8] | Satom Quarry (Canada) [7] | Bancroft (Canada) [6] † | |
|---|---|---|---|---|---|---|---|---|---|
| SiO2 | 35.6(3) | 39.59(92) | 35.62 | 35.54 | 38.04 | 38.39 | 35.09 | 37.08 | 34.35 |
| Al2O3 | 29.9(3) | 29.04(50) | 29.05 | 29.50 | 27.36 | 29.63 | 28.47 | 30.03 | 29.35 |
| Na2O | 19.7(2) | 18.64(61) | 19.80 | 19.71 | 21.03 | 24.15 | 20.37 | 19.82 | 17.66 |
| MgO | b.d.l. | n.d. | n.d. | n.d. | n.d. | n.d. | n.d. | n.d. | 0.01 |
| K2O | 0.06(5) | 0.01(1) | 0.03 | 0.01 | 0.06 | 0.25 | b.d.l. | b.d.l. | 0.10 |
| CaO | 6.79(9) | 3.55(28) | 5.03 | 5.32 | 2.99 | 0.20 | 4.77 | 4.72 | 8.11 |
| MnO | n.d. | 0.10(3) | n.d. | n.d. | n.d. | n.d. | n.d. | n.d. | n.d. |
| Fe2O3 | n.d. | n.d. | n.d. | n.d. | 0.41 | 0.11 | n.d. | n.d. | 0.03 |
| Cl | 0.03(1) | 0.01(1) | 0.01 | 0.03 | n.d. | 0.07 | 0.01 | b.d.l. | 0.21 |
| F | b.d.l. | 0.01(2) | 0.76 | 0.04 | n.d. | n.d. | b.d.l. | 0.50 | n.d. |
| SO3 | 0.3(1) | 0.02(2) | 0.52 | 0.20 | b.d.l. | n.d. | 0.52 | 0.55 | n.d. |
| H2O | 3.54 * | 4.00(7) ** | 3.49 * | 3.51 * | 4.05* | n.d. | 3.43 * | 3.50 * | 3.13 |
| CO2 | 3.13 * | 3.00(56) ** | 4.45 * | 5.31 * | 5.38* | n.d. | 5.60 *** | 3.50 *** | 6.60 |
| Total | 99.01 | 98.85 | 98.74 | 99.19 | 99.32 | 93.31 | 98.26 | 99.76 | 99.55 |
| Deposit | Space Sroup, Unit Cell Parameters: a, Å; c, Å; V, Å3 | CAN Cage Content, Derived from SCXRD | Ow of the H2O Molecule Placed on the 3-Fold Axis | Channel Content, Derived from SCXRD | Disordering of CO3-Group (Num. of Positions) | Disordering of M2 (Na2) Site | Ref. |
|---|---|---|---|---|---|---|---|
| Zhidoi (Russia) | P63, 12.6319(1); 5.1360(1); 709.73(2) | Na1.79(H2O)2.00 | Yes | Na3.48Ca2.00(CO3)1.70 | Yes (2) | Yes | This work |
| Satom Quarry (Cameroun) | P63, 12.6018(3); 5.1204(2); 704.21(2) | Na1.91(H2O)0.18 | No | Na5.36Ca0.64(CO3)1.63 | Yes (2) | Yes | [26] |
| Eifel (Germany) | P63, 12.6093(1); 5.1221(1); 705.278(16) | Na1.90(H2O)2.00 | No | Na4.14Ca1.44(CO3)1.57 | Yes (4) | Yes | [34] |
| Khibiny (Russia) | P63, 12.607(2); 5.111(1); 703.5(2) | Na2.00(H2O)2.00 | No | Na5.50Ca0.40(CO3)1.50 | Yes (3) | Yes | [11] |
| Khibiny (Russia) | P63, 12.618(2); 5.116(1); 705.4(2) | Na2.00(H2O)2.00 | No | Na5.45Ca0.55(CO3)1.50 | Yes (4) | Yes | [11] |
| Kovdor (Russia) | P63, 12.683(2); 5.190(1); 723.0(2) | Na2.00(H2O)2.00 | No | Na4.80K0.30(CO3)0.90 | Yes (3) | No | [11] |
| Kovdor (Russia) | P63, 12.606(2); 5.118(1); 704.3(2) | Na2.00(H2O)2.00 | No | Na5.80Ca0.20(CO3)1.40 | Yes (3) | Yes | [11] |
| Vishnevye Mtns. (Russia) | P63, 12.627(2); 5.136(1); 709.2(2) | Na2.00(H2O)2.00 | No | Na5.00Ca1.00(CO3)1.70 | Yes (4) | Yes | [11] |
| Tamazeght (Morocco) | P63, 12.625(2); 5.122(1); 707.0(2) | Na2.00(H2O)2.00 | No | Na4.30Ca1.20(CO3)1.40 | Yes (2) | No | [11] |
| Tamazeght (Morocco) | P63, 12.618(2); 5.144(1); 709.3(2) | Na2.00(H2O)2.00 | No | Na4.60Ca0.90(CO3)1.50 | Yes (3) | No | [11] |
| Dakhuunur (Russia) | P63, 12.613(1); 5.124(1); 706.0(2) | Na1.60(H2O)2.00 | No | Na4.20Ca1.60(CO3)1.60 | Yes (2) | Yes | [11] |
| Ilmeny Mtns (Russia) | P63, 12.617(2); 5.129(1); 707.1(2) | Na1.80(H2O)2.00 | No | Na4.70Ca1.20(CO3)1.50 | Yes (4) | Yes | [11] |
| Ilmeny Mtns (Russia) | P63, 12.631(3); 5.1320(5); 709.06(8) | Na2.00(H2O)1.98 | Yes | Na4.79Ca0.95(CO3)1.63 | Yes (2) | No | [30] |
| Satom Quarry (Cameroun) | P63, 12.595(5); 5.121(5); 703.5(8) | Na2.00(H2O)2.16 | No | Na5.82Ca0.18(CO3)1.50 | Yes (2) | No | [10] |
| IMC Quarries (Canada) | P63, 12.60(2); 5.121(5); 704.1(17) | Na2.00(H2O)2.28 | No | Na5.88Ca0.12(CO3)1.54 | Yes (2) | No | [10] |
| Kovdor (Russia) | P3, 12.727(4); 5.186(2); 727.3(4) | Na2.00(H2O)2.00 | No | Na5.70(CO3)0.90(SO4)0.10 (H2O)0.60 | Yes (4) | Yes | [9] |
| Bancroft (Canada) | P63, 12.5906(2); 5.1168(1); 702.45(2) | Na2.00(H2O)1.60 | Yes | Na4.02Ca1.50(CO3)1.52 | Yes (2) | No | [31] |
| Satom Quarry (Canada) | P63, 12.6216(8); 5.1293(4); 707.65(2) | Na2.00(H2O)2.00 | No | Na4.91Ca0.89(CO3)1.34 * | Yes (2) | Yes | [8] |
| Satom Quarry (Canada) | P63, 12.622(1); 5.128(1); 707.51(2) (powder XRD) | Na2.00(H2O)2.00 | - | Na4.3Ca0.90(CO3)2 * | Yes (2) | No | [7] |
| Bancroft (Canada) | P63, 12.590(3); 5.117(1); 702.42(2) | Na2.00(H2O)2.00 | No | Na4.02Ca1.50(CO3)1.52 | Yes (2) | No | [6] |
| Si1 | Al2 | Na1 | ||
|---|---|---|---|---|
| ECoN | 3.997 | 3.994 | 5.530 | |
| Vp (Å3) | 2.188 | 2.650 | 30.639 | |
| BVS | 4.012 | 3.259 | 0.964 | |
| BLD (%) | 0.422 | 0.630 | 7.896 | |
| ELD (%) | 1.371 | 1.940 | 13.260 | |
| TAV | 6.9838 | 16.5480 | ||
| TQE | 1.0020 | 1.0051 | ||
| Na2 (1) | Na2 (2) | Ca2 (1) | Ca2 (2) | |
| ECoN | 6.119 | 6.219 | 6.647 | 6.290 |
| Vp (Å3) | 25.010 | 26.700 | 25.010 | 26.700 |
| BVS | 1.113 | 1.090 | 1.769 | 1.834 |
| BLD (%) | 6.718 | 6.589 | 5.785 | 5.987 |
| ELD (%) | 13.781 | 11.890 | 13.781 | 11.890 |
| GII (%) Na | GII (%) Ca | GII (%) Si | GII (%) Al | GII (%) C | GII (%) O | GII (%) Total | |
|---|---|---|---|---|---|---|---|
| (1) Na2 + 2C1 | 8.39 | - | 1.20 | 25.90 | 7.40 | 14.39 | 13.85 |
| (2) Na2 + 2C2 | 6.85 | - | 1.20 | 25.90 | 17.20 | 17.06 | 15.98 |
| (3) Ca2 + 2C1 | 3.60 | 23.41 | 1.20 | 25.90 | 7.40 | 17.52 | 16.87 |
| (4) Ca2 + 2C2 | 3.60 | 17.2 | 1.20 | 25.90 | 17.20 | 17.07 | 16.60 |
| (5) Na2 + C1 + V | 2.73 | - | 1.20 | 25.90 | 10.47 | 15.03 | 14.09 |
| (6) Na2 + −C2 + V | 3.97 | - | 1.20 | 25.90 | 24.32 | 16.57 | 16.57 |
| (7) Ca2 + C1 + V | 3.60 | 48.45 | 1.20 | 25.90 | 10.47 | 15.09 | 20.83 |
| (8) Ca2 + −C2 + V | 3.60 | 43.96 | 1.20 | 25.90 | 24.32 | 15.21 | 20.46 |
Publisher’s Note: MDPI stays neutral with regard to jurisdictional claims in published maps and institutional affiliations. |
© 2021 by the authors. Licensee MDPI, Basel, Switzerland. This article is an open access article distributed under the terms and conditions of the Creative Commons Attribution (CC BY) license (http://creativecommons.org/licenses/by/4.0/).
Share and Cite
Shendrik, R.; Kaneva, E.; Radomskaya, T.; Sharygin, I.; Marfin, A. Relationships between the Structural, Vibrational, and Optical Properties of Microporous Cancrinite. Crystals 2021, 11, 280. https://doi.org/10.3390/cryst11030280
Shendrik R, Kaneva E, Radomskaya T, Sharygin I, Marfin A. Relationships between the Structural, Vibrational, and Optical Properties of Microporous Cancrinite. Crystals. 2021; 11(3):280. https://doi.org/10.3390/cryst11030280
Chicago/Turabian StyleShendrik, Roman, Ekaterina Kaneva, Tatiana Radomskaya, Igor Sharygin, and Alexander Marfin. 2021. "Relationships between the Structural, Vibrational, and Optical Properties of Microporous Cancrinite" Crystals 11, no. 3: 280. https://doi.org/10.3390/cryst11030280
APA StyleShendrik, R., Kaneva, E., Radomskaya, T., Sharygin, I., & Marfin, A. (2021). Relationships between the Structural, Vibrational, and Optical Properties of Microporous Cancrinite. Crystals, 11(3), 280. https://doi.org/10.3390/cryst11030280

