Insight into Rare Structurally Characterized Homotrinuclear CuII Non-Symmetric Salamo-Based Complex
Abstract
1. Introduction
2. Experimental Section
2.1. Materials and Instruments
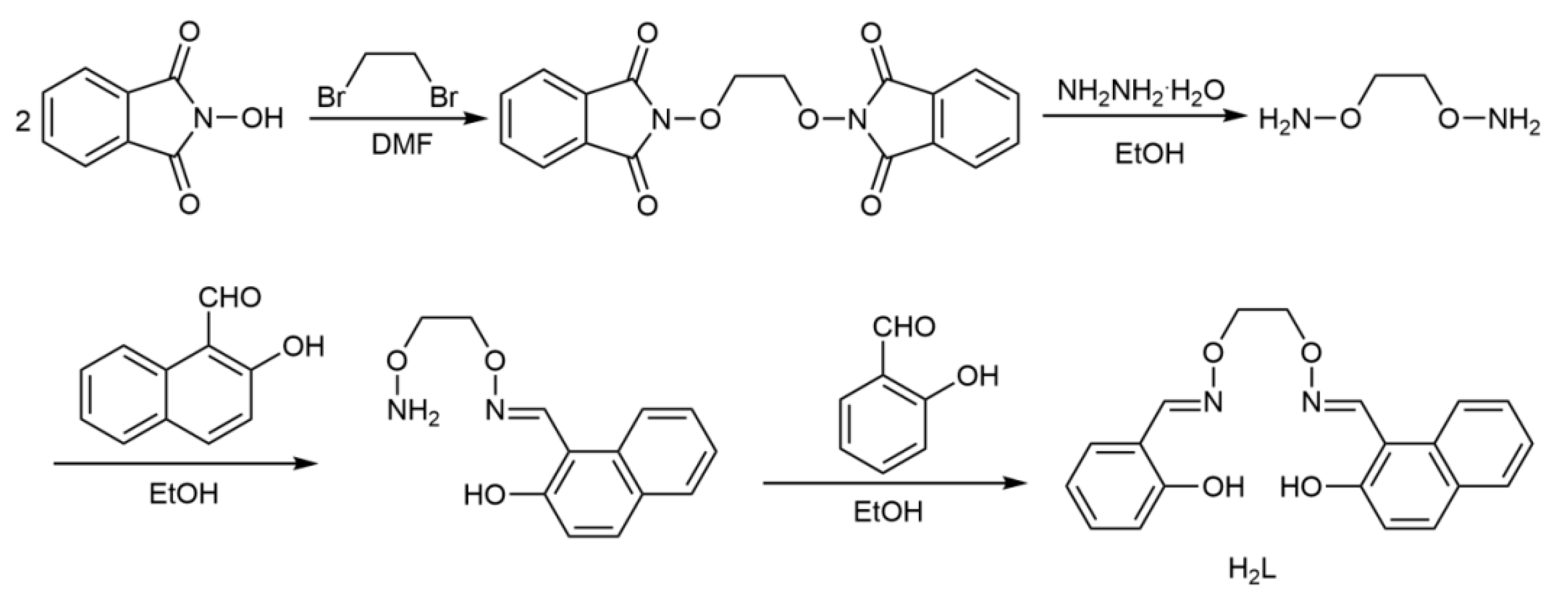
2.2. Preparation of H2L
2.3. Preparation of the CuII Complex
2.4. Determination of Single-Crystal Structure of the CuII Complex
3. Results and Discussion
3.1. IR Spectra
3.2. UV-Visible Spectra
3.3. Structure Analysis of the CuII Complex
3.4. Molecular Simulation Calculation of H2L and Its CuII Complex
3.5. Fluorescence Spectra
3.6. Hirshfeld Surface Analysis
4. Conclusions
Supplementary Materials
Author Contributions
Funding
Institutional Review Board Statement
Informed Consent Statement
Data Availability Statement
Acknowledgments
Conflicts of Interest
References
- Wu, H.L.; Pan, G.L.; Bai, Y.C.; Wang, H.; Kong, J.; Shi, F.; Zhang, Y.H.; Wang, X.L. Preparation, structure, DNA-binding properties, and antioxidant activities of a homodinuclear erbium(III) complex with a pentadentate Schiff base ligand. J. Chem. Res. 2014, 38, 211–217. [Google Scholar] [CrossRef]
- Song, X.Q.; Liu, P.P.; Liu, Y.A.; Zhou, J.J.; Wang, X.L. Two dodecanuclear heterometallic [Zn6Ln6] clusters constructed by a multidentate salicylamide salen-like ligand: Synthesis, structure, luminescence and magnetic properties. Dalton Trans. 2016, 45, 8154–8163. [Google Scholar] [CrossRef] [PubMed]
- Liu, P.P.; Wang, C.Y.; Zhang, M.; Song, X.Q. Pentanuclear sandwich-type ZnII–LnIII clusters based on a new salen-like salicylamide ligand: Structure, near-infrared emission and magnetic properties. Polyhedron 2017, 129, 133–140. [Google Scholar] [CrossRef]
- Wu, H.L.; Wang, C.P.; Wang, F.; Peng, H.P.; Zhang, H.; Bai, Y.C. A newmanganese(III) complex from bis(5-methylsalicylaldehyde)-3-oxapentane-1,5-diamine: Synthesis, characterization, antioxidant activity and luminescence. J. Chin. Chem. Soc. 2015, 62, 1028–1034. [Google Scholar] [CrossRef]
- Zhou, J.J.; Song, X.Q.; Liu, Y.A.; Wang, X.L. Substituent-tuned structure and luminescence sensitizing towards Al3+ based on phenoxy bridged dinuclear EuIII complexes. RSC Adv. 2017, 7, 25549–25559. [Google Scholar] [CrossRef]
- Sun, Y.X.; Pan, Y.Q.; Xu, X.; Zhang, Y. Unprecedented dinuclear CuII N,O-donor complex: Synthesis, structural characterization, fluorescence property, and Hirshfeld analysis. Crystals 2019, 9, 607. [Google Scholar] [CrossRef]
- Cui, Y.F.; Liu, C.; Zhang, Y.; Zhang, Y. Newly designed and synthesized heterobimetallic [CuII–DyIII] salamo-like complex: Structural characterization, DFT calculation, and fluorescent property. Inorg. Nano-Met. Chem. 2021, 51, 288–295. [Google Scholar] [CrossRef]
- Peng, Y.D.; Zhang, Y.; Jiang, Y.L.; Ren, Z.L.; Wang, F.; Wang, L. An unsymmetric salamo-like chemosensor for fuorescent recognition of Zn2+. J. Fluores. 2020, 30, 1049–1061. [Google Scholar] [CrossRef]
- Mu, H.R.; An, X.X.; Liu, C.; Zhang, Y.; Dong, W.K. Structurally characterized self-assembled heterobimetallic Ni(II)-Eu(III)-salamo-bipyridine coordination polymer: Synthesis, photophysical and antimicrobial properties. J. Struct. Chem. 2020, 61, 1155–1166. [Google Scholar] [CrossRef]
- Cui, Y.F.; Zhang, Y.; Xie, K.F.; Dong, W.K. A newly synthesized heterobimetallic NiII-GdIII salamo-bdc-based coordination polymer: Structural characterization, DFT calculation, fluorescent and antibacterial properties. Crystals 2019, 9, 596. [Google Scholar] [CrossRef]
- Zhang, Y.; Yu, M.; Pan, Y.Q.; Zhang, Y.; Xu, L.; Dong, X.Y. Three rare heteromultinuclear 3d-4f salamo-like complexes constructed from auxiliary ligand 4,4′-bipy: Syntheses, structural characterizations, fluorescence and antimicrobial properties. Appl. Organomet. Chem. 2020, 34, e5442. [Google Scholar] [CrossRef]
- Zhang, L.W.; Zhang, Y.; Cui, Y.F.; Yu, M.; Dong, W.K. Heterobimetallic [NiII LnIII] (Ln = Sm and Tb) N2O4-donor coordination polymers: Syntheses, crystal structures and fluorescence properties. Inorg. Chim. Acta 2020, 506, 119534. [Google Scholar] [CrossRef]
- Akine, S.; Sairenji, S.; Taniguchi, T.; Nabeshima, T. Stepwise helicity inversions by multisequential metal exchange. J. Am. Chem. Soc. 2013, 135, 12948–12951. [Google Scholar] [CrossRef] [PubMed]
- Chang, J.; Zhang, S.Z.; Wu, Y.; Zhang, H.J.; Sun, Y.X. Three supramolecular trinuclear nickel(II) complexes based on Salamo-type chelating ligand: Syntheses, crystal structures, solvent effect, Hirshfeld surface analysis and DFT calculation. Transit. Met. Chem. 2020, 45, 279–293. [Google Scholar] [CrossRef]
- Novozhilova, M.V.; Smirnova, E.A.; Polozhentseva, J.A.; Danilova, J.A.; Chepurnaya, I.A.; Karushev, M.P.; Malev, V.V.; Timonov, A.M. Multielectron redox processes in polymeric cobalt complexes with N2O2 Schiff base ligands. Electrochim. Acta 2018, 282, 105–115. [Google Scholar] [CrossRef]
- Bian, R.N.; Wang, J.F.; Li, Y.J.; Zhang, Y.; Dong, W.K. Fluorescent chemical sensor based on double N2O2 cavities for continuous recognition of Cu2+ and Al3+. J. Photochem. Photobiol. A 2020, 400, 112829. [Google Scholar] [CrossRef]
- Kang, Q.P.; Li, X.Y.; Wang, L.; Zhang, Y.; Dong, W.K. Containing-PMBP N2O2-donors transition metal(II) complexes: Synthesis, crystal structure, Hirshfeld surface analyses and fluorescence properties. Appl. Organomet. Chem. 2019, 33, e5013. [Google Scholar] [CrossRef]
- Wang, J.F.; Li, P.; Li, L.L.; Dong, W.K. A perspective on molecular structure and experimental-computational characterization of a novel Cd(II) pyridine-terminal salamo-like coordination polymer. Russ. J. Gen. Chem. 2020, 10, 1997–2003. [Google Scholar] [CrossRef]
- Wei, Z.L.; Wang, L.; Guo, S.Z.; Zhang, Y.; Dong, W.K. A high-efficiency salamo-based copper(II) complex double-channel fluorescent probe. RSC Adv. 2019, 9, 41298. [Google Scholar] [CrossRef]
- Pan, Y.Q.; Xu, X.; Zhang, Y.; Zhang, Y.; Dong, W.K. A highly sensitive and selective bis(salamo)-type fluorescent chemosensor for identification of Cu2+ and the continuous recognition of S2−, Arginine and Lysine. Spectrochim. Acta A 2020, 229, 117927. [Google Scholar] [CrossRef]
- Akine, S.; Morita, Y.; Utsuno, F.; Nabeshima, T. Multiple folding structures mediated by metal coordination of acyclic multidentate ligand. Inorg. Chem. 2009, 48, 10670–10678. [Google Scholar] [CrossRef] [PubMed]
- Liu, C.; An, X.X.; Cui, Y.F.; Xie, K.F.; Dong, W.K. Novel structurally characterized hetero-bimetallic [Zn(II)2M(II)] (M = Ca and Sr) bis(salamo)-type complexes: DFT calculation, Hirshfeld analyses, antimicrobial and fluorescent properties. Appl. Organomet. Chem. 2020, 34, e5272. [Google Scholar] [CrossRef]
- Akine, S.; Dong, W.K.; Nabeshima, T. Octanuclear zinc(II) and cobalt(II) clusters produced by cooperative tetrameric assembling of oxime chelate ligands. Inorg. Chem. 2006, 45, 4677–4684. [Google Scholar] [CrossRef] [PubMed]
- Liu, L.Z.; Wang, L.; Yu, M.; Zhao, Q.; Zhang, Y.; Sun, Y.X.; Dong, W.K. A highly sensitive and selective fluorescent “off-on-off” relay chemosensor based on a new bis(salamo)-type tetraoxime for detecting Zn2+ and CN−. Spectrochim. Acta A 2019, 222, 117209. [Google Scholar] [CrossRef] [PubMed]
- Colinas, I.R.; Rojas-Andrade, M.D.; Chakraborty, I.; Oliver, S.R.J. Two structurally diverse Zn-based coordination polymers with excellent antibacterial activity. CrystEngComm 2018, 20, 3353–3362. [Google Scholar] [CrossRef]
- Lu, X.Y.; Ye, J.W.; Zhang, D.K.; Xie, R.X.; Bogale, R.F.; Sun, Y.; Zhao, L.M.; Zhao, Q.; Ning, G.L. Silver carboxylate metal–organic frameworks with highly antibacterial activity and biocompatibility. J. Inorg. Biochem. 2013, 138, 114–121. [Google Scholar] [CrossRef]
- Li, X.Y.; Kang, Q.P.; Liu, C.; Zhang, Y.; Dong, W.K. Structurally characterized homo-trinuclear ZnII and hetero-pentanuclear [ZnII4LnIII] complexes constructed from an octadentate bis(salamo)-based ligand: Hirshfeld surfaces, fluorescence and catalytic properties. New J. Chem. 2019, 43, 4605–4619. [Google Scholar] [CrossRef]
- Haak, R.M.; Decortes, A.; Escudero, E.C.; Belmonte, M.M.; Martin, E.; Buchholz, J.B.; Kleij, A.W. Shape-persistent octanuclear zinc salen clusters: Synthesis, characterization, and catalysis. Inorg. Chem. 2011, 50, 7934–7936. [Google Scholar] [CrossRef]
- Yu, M.; Zhang, Y.; Pan, Y.Q.; Wang, L. Two novel copper(II) salamo-based complexes: Syntheses, x-ray crystal structures, spectroscopic properties and Hirshfeld surfaces analyses. Inorg. Chim. Acta 2020, 509, 119701. [Google Scholar] [CrossRef]
- An, X.X.; Chen, Z.Z.; Mu, H.R.; Zhao, L. Investigating into crystal structures and supramolecular architectures of four newly synthesized hetero-octanuclear [CuII4–LnIII4] (Ln = Sm, Eu, Tb and Dy) complexes produced by a hexadentate bisoxime chelate ligand. Inorg. Chim. Acta 2020, 511, 119823. [Google Scholar] [CrossRef]
- Wang, J.F.; Bian, R.N.; Feng, T.; Xie, K.F.; Wang, L.; Ding, Y.J. A highly sensitive dual-channel chemical sensor for selective identification of B4O72−. Microchem. J. 2021, 160, 105676. [Google Scholar] [CrossRef]
- Zhang, Y.; Li, Y.J.; Guo, S.Z.; Fu, T.; Zhao, L. A series of heterobimetallic Ni(II)–Ln(III) (Ln = La, Ce, Pr and Nd) coordination polymers derived from 3-EtOsalamo and dicarboxylates: Syntheses, crystal structures and fluorescence properties. Transit. Met. Chem. 2020, 45, 485–492. [Google Scholar] [CrossRef]
- Zhang, S.Z.; Chang, J.; Zhang, H.J.; Sun, Y.X.; Wu, Y.; Wang, Y.B. Synthesis, crystal structure and spectral properties of binuclear Ni(II) and cubane-like Cu4(μ3-O)4 cored tetranuclear Cu(II) complexes based on coumarin Schiff base. Chin. J. Inorg. Chem. 2020, 36, 503–514. [Google Scholar]
- Kang, Q.P.; Li, X.Y.; Wei, Z.L.; Zhang, Y.; Dong, W.K. Symmetric containing- PMBP N2O2-donors nickel(II) complexes: Syntheses, structures, Hirshfeld analyses and fluorescent properties. Polyhedron 2019, 165, 38–50. [Google Scholar] [CrossRef]
- Liu, L.Z.; Yu, M.; Li, X.Y.; Kang, Q.P.; Dong, W.K. Syntheses, structures, Hirshfeld analyses and fluorescent properties of two Ni(II) and Zn(II) complexes constructed from a bis(salamo)-like ligand. Chin. J. Inorg. Chem. 2019, 35, 1283–1294. [Google Scholar]
- Wang, L.; Wei, Z.L.; Chen, Z.Z.; Liu, C.; Dong, W.K.; Ding, Y.J. A chemical probe capable for fluorescent and colorimetric detection to Cu2+ and CN− based on coordination and nucleophilic addition mechanism. Microchem. J. 2020, 155, 104801. [Google Scholar] [CrossRef]
- Wei, Z.L.; Wang, L.; Wang, J.F.; Guo, W.T.; Zhang, Y.; Dong, W.K. Two highly sensitive and efficient salamo-like copper(II) complex probes for recognition of CN−. Spectrochim. Acta A 2020, 228, 117775. [Google Scholar] [CrossRef]
- Wang, L.; Wei, Z.L.; Liu, C.; Dong, W.K.; Ru, J.X. Synthesis and characterization for a highly selective bis(salamo)-based chemical sensor and imaging in living cell. Spectrochim. Acta A 2020, 239, 118496. [Google Scholar] [CrossRef]
- Pan, Y.Q.; Zhang, Y.; Yu, M.; Zhang, Y.; Wang, L. Newly synthesized homomultinuclear Co(II) and Cu(II) bissalamo-like complexes: Structural characterizations, Hirshfeld analyses, fluorescence and antibacterial properties. Appl. Organomet. Chem. 2020, 34, e5441. [Google Scholar] [CrossRef]
- Liu, C.; Wei, Z.L.; Mu, H.R.; Dong, W.K.; Ding, Y.J. A novel unsymmetric bis (salamo)-based chemosensor for detecting Cu2+ and continuous recognition of amino acids. J. Photochem. Photobio. A 2020, 397, 112569. [Google Scholar] [CrossRef]
- Mu, H.R.; Yu, M.; Wang, L.; Zhang, Y.; Ding, Y.J. Catching S2− and Cu2+ by a highly sensitive and efficient salamo-like fluorescence-ultraviolet dual channel chemosensor. Phosphorus Sulfur Silicon Relat. Elem. 2020, 195, 730–739. [Google Scholar]
- Xu, X.; Bian, R.N.; Guo, S.Z.; Dong, W.K.; Ding, Y.J. A new asymmetric salamo-based chemical sensor for dual channel detection of Cu2+ and B4O72−. Inorg. Chim. Acta 2020, 513, 119945. [Google Scholar] [CrossRef]
- An, X.X.; Zhao, Q.; Mu, H.R.; Dong, W.K. A new half-salamo-based homo-trinuclear nickel(II) complex: Crystal structure, Hirshfeld surface analysis, and fluorescence properties. Crystals 2019, 9, 101. [Google Scholar] [CrossRef]
- Zhang, Y.; Pan, Y.Q.; Yu, M.; Xu, X.; Dong, W.K. Single-armed salamo-like dioxime and its multinuclear Cu(II), Zn(II) and Cd(II) complexes: Syntheses, structural characterizations, Hirshfeld analyses and fluorescence properties. Appl. Organomet. Chem. 2019, 33, e5240. [Google Scholar] [CrossRef]
- An, X.X.; Liu, C.; Chen, Z.Z.; Xie, K.F.; Dong, W.K. An unexpected trinuclear cobalt(II) complex based on a half-salamo-like ligand: Synthesis, crystal structure, Hirshfeld surface analysis, antimicrobial and fluorescent properties. Crystals 2019, 9, 602. [Google Scholar] [CrossRef]
- Li, J.; Zhang, H.J.; Chang, J.; Sun, Y.X.; Huang, Y.Q. Solvent-induced unsymmetric Salamo-like trinuclear NiII complexes: Syntheses, crystal structures, fluorescent and magnetic properties. Crystals 2018, 8, 176. [Google Scholar] [CrossRef]
- Yu, M.; Mu, H.R.; Liu, L.Z.; Li, N.; Bai, Y.; Dong, X.Y. Syntheses, structures and Hirshfeld analyses of trinuclear Ni(II) salamo-type complexes. Chin. J. Inorg. Chem. 2019, 35, 1109–1120. [Google Scholar]
- Celedón, S.; Dorcet, V.; Roisnel, T.; Singh, A.; Ledoux-Rak, I.; Hamon, J.R.; Carrillo, D.; Manzur, C. Main-chain oligomers from NiII- and CuII-centered unsymmetrical N2O2 Schiff-base complexes: Synthesis and spectral, structural, and second-order nonlinear optical properties. Eur. J. Inorg. Chem. 2014, 29, 4984–4993. [Google Scholar] [CrossRef]
- Liu, X.; Manzurc, C.; Novoa, N.; Celedónc, S.; Carrilloc, D.; Hamon, J.R. Multidentate unsymmetrically substituted Schiff bases and their metal complexes: Synthesis, functional materials properties, and applications to catalysis. Coord. Chem. Rev. 2018, 357, 144–172. [Google Scholar] [CrossRef]
- Wang, L.; Pan, Y.Q.; Wang, J.F.; Zhang, Y.; Ding, Y.J. A highly selective and sensitive half-salamo-based fluorescent chemosensor for sequential detection of Pb(II) ion and Cys. J. Photochem. Photobio. A 2020, 400, 112719. [Google Scholar] [CrossRef]
- Zhao, Q.; An, X.X.; Liu, L.Z.; Dong, W.K. Syntheses, luminescences and Hirshfeld surfaces analyses of structurally characterized homo-trinuclear ZnII and hetero-pentanuclear ZnII-LnIII (Ln = Eu, Nd) bis(salamo)-like complexes. Inorg. Chim. Acta 2019, 490, 6–15. [Google Scholar] [CrossRef]
- Dong, Y.J.; Dong, X.Y.; Dong, W.K.; Zhang, Y.; Zhang, L.S. Three asymmetric salamo-type copper(II) and cobalt(II) complexes: Syntheses, structures and fluorescent properties. Polyhedron 2017, 123, 305–315. [Google Scholar] [CrossRef]
- Song, X.Q.; Wang, L.; Zheng, Q.F.; Liu, W.S. Synthesis, crystal structure and luminescence properties of lanthanide complexes with a new semirigid bridging furfurylsalicylamide ligand. Inorg. Chim. Acta 2013, 391, 171–178. [Google Scholar] [CrossRef]
- Dong, X.Y.; Kang, Q.P.; Li, X.Y.; Ma, J.C.; Dong, W.K. Structurally characterized solvent-induced homotrinuclear cobalt(II) N2O2− donor bisoxime-type complexes. Crystals 2018, 8, 139. [Google Scholar] [CrossRef]
- Wang, L.; Wei, Z.L.; Yu, M.; Pan, Y.Q.; Zhang, Y.; Dong, W.K. Multihalogen-substituted salamo-type Mn(II) complexes: Syntheses, crystal structures, Hirshfeld analyses and fluorescence properties. Chin. J. Inorg. Chem. 2019, 35, 1791. [Google Scholar]
- Li, Y.J.; Bian, R.N.; Li, P.; Xie, K.F.; Dong, W.K. Investigation of supram-olecular assemblies, Hirshfeld surfaces and DFT analyses, and fluorescence properties of three newly synthesized multinuclear Co(II), Ni(II) and Zn(II) complexes. Polyhedron 2020, 192, 114867. [Google Scholar] [CrossRef]
- Xu, L.; Yu, M.; Li, L.H.; Ma, J.C.; Dong, W.K. A heterotetranuclear zinc(II)—cerium(IV) salamo complex possessing deca- and dodeca-coordinated cerium(IV) atoms: Synthesis, structure, and photophysical properties. J. Struct. Chem. 2019, 60, 1358. [Google Scholar] [CrossRef]
- Akine, S.; Taniguchi, T.; Nabeshima, T. Synthesis and characterization of novel ligands 1,2-bis(salicylideneaminooxy)ethanes. Chem. Lett. 2001, 30, 682–683. [Google Scholar] [CrossRef]
- Zhang, Y.; Liu, L.Z.; Peng, Y.D.; Li, N.; Dong, W.K. Structurally characterized trinuclear nickel(II) and copper(II) salamo-type complexes: Syntheses, Hirshfeld analyses and fluorescent properties. Transit. Met. Chem. 2019, 44, 627–639. [Google Scholar] [CrossRef]
- Shaan, A.; Monika, T.; Kumar, J.P.; Vinay, G. Insight into the gas phase dissociation of CF3CH2I and its reactions with H and OH by first principles. J. Mol. Model. 2018, 24, 315. [Google Scholar]
- Jone Celestina, J.; Tharmaraj, P.; Jeevika, A.; Sheela, C.D. Fabrication of triazine based colorimetric and electrochemical sensor for the quantification of Co2+ ion. Microchem. J. 2020, 155, 104692. [Google Scholar] [CrossRef]
- Bian, R.N.; Xu, X.; Feng, T.; Dong, W.K. A novle O-phenanthroline-based bis(half-salamo)-like chemical sensor: For rapid and efficient continuous recognition of Cu2+, HPO42− and H2PO4−. Inorg. Chim. Acta 2020, 516, 120098. [Google Scholar] [CrossRef]
- Spackman, M.A.; McKinnon, J.J.; Jayatilaka, D. Electrostatic potentials mapped on Hirshfeld surfaces providedirect insight into intermolecular interactions in crystals. CrystEngCommun 2008, 10, 377–388. [Google Scholar]
- Chen, Z.Z.; Zhang, W.Z.; Zhang, T.; Zhang, Y.; Dong, W.K. An insight into the molecular structures, theoretical calculation and catalytic activities of novel heterotrinuclear [CuII2CeIII] and heterohexanuclear [CuII4YIII2] bis(salamo)-based complexes. New J. Chem. 2020, 44, 19836–19849. [Google Scholar] [CrossRef]
- Xu, X.; Wang, J.F.; Bian, R.N.; Zhao, L. Synthesis, structure, Hirshfeld analysis and fluorescence properties of a new asymmetric salamo-based ligand and its Cu(II) complex involving oxime oxygen cooedination. J. Coord. Chem. 2020, 15, 2209–2223. [Google Scholar] [CrossRef]
- Spackman, M.A.; Jayatilaka, D. Hirshfeld surface analysis. CrystEngCommun 2009, 11, 19–32. [Google Scholar] [CrossRef]
- Wang, J.F.; Li, R.Y.; Li, P.; Dong, W.K. Exploring coordination behaviors, structural characterizations and theoretical calculations of structurally different Cu(II), Co(II) and Ni(II) emissive complexes constructed from a salamo-based ligand and 4,4′-bipy. Inorg. Chim. Acta 2021, 518, 120247. [Google Scholar] [CrossRef]
- Xu, X.; Feng, T.; Feng, S.S.; Dong, W.K. Influence of structural variation of salamo-based ligand on supramolecular architectures, Hirshfeld analyses, and fluorescence properties of new tetranuclear NiII complexes. Appl. Organomet. Chem. 2021, 35, e6057. [Google Scholar] [CrossRef]
- Wang, J.F.; Xu, X.; Bian, R.N.; Dong, W.K.; Ding, Y.J. Investigation on structurally different Cu(II) and Ni(II) complexes constructed from a novel pyridine-terminal salamo-like ligand. Inorg. Chim. Acta 2021, 516, 120095. [Google Scholar] [CrossRef]









| Compound | The CuII Complex |
|---|---|
| Empirical formula Formula weight | C46H54Cl6Cu3N4O19 1370.25 |
| T, (K) | 173(2) |
| Crystal system | Tetragonal |
| Space group | I41/a |
| a/(Å) | 28.3010(7) |
| b/(Å) | 28.3010(7) |
| c/(Å) | 15.1845(7) |
| α/(°) | 90 |
| β/(°) | 90 |
| γ/(°) | 90 |
| Volume (Å3) | 12162.0(8) |
| Z | 8 |
| Dcalc (g/cm3) | 1.497 |
| μ/(mm−1) | 1.373 |
| F(000), e | 5592.0 |
| Crystal size/mm3 | 0.22 × 0.2 × 0.18 |
| Ɵ Range (°) | 4.19 to 53.996 |
| Index ranges | −17 ≤ h ≤ 36, −26 ≤ k ≤ 29, −19 ≤ l ≤ 10 |
| Reflections collected | 13026 |
| Independent reflections | 6539 [Rint = 0.0055, Rsigma = 0.0537] |
| Data/restraints/parameters | 6539/1/395 |
| GOF | 1.001 |
| Final R1, wR2 indexes | R1 = 0.0441, wR2 = 0.1281 |
| Final R1, wR2 indexes [all data] | R1 = 0.0575, wR2 = 0.1323 |
| Largest differences peak and hole/ e Å−3 | 0.41/−1.07 |
| Compound | ν(O-H) | ν(C=N) | v(Ar-O) | ν(Cu-O) | ν(Cu-N) |
|---|---|---|---|---|---|
| H2L | 3216 | 1609 | 1261 | - | - |
| The CuII complex | 3420 | 1603 | 1250 | 455 | 512 |
| Bond | Lengths | Bond | Lengths |
| Cu1-O4 | 2.024(3) | Cu2-O4 | 2.081(3) |
| Cu1-O1 | 2.017(3) | Cu2-O1 | 2.073(3) |
| Cu1-O5 | 2.040(3) | Cu2-O1# | 2.073(3) |
| Cu1-N1 | 2.072(4) | Cu2-O6 | 2.063(3) |
| Cu1-N2 | 2.063(4) | Cu2-O6# | 2.063(3) |
| Cu1-O7 | 2.118(3) | Cu2-O4# | 2.081(3) |
| Bond | Angles | Bond | Angles |
| O1-Cu1-N1 | 87.90(13) | O1-Cu2-O4# | 101.66(11) |
| O1-Cu1-O4 | 80.95(11) | O1#-Cu2-O1 | 180.00(13) |
| O1-Cu1-O5 | 90.75(12) | O1#-Cu2-O4 | 101.66(11) |
| O1-Cu1-O7 | 90.15(13) | O1#-Cu2-O4# | 78.34(11) |
| O4-Cu1-O5 | 92.39(13) | O4-Cu2-O4# | 180.00 |
| O4-Cu1-O7 | 90.94(13) | O6-Cu2-O1 | 89.50(12) |
| O4-Cu1-N1 | 168.25(13) | O6-Cu2-O1# | 90.50(12) |
| O4-Cu1-N2 | 86.18(13) | O6-Cu2-O4 | 88.55(12) |
| O5-Cu1-O7 | 176.64(13) | O6-Cu2-O4# | 91.45(12) |
| O5-Cu1-N1 | 91.42(15) | O6-Cu2-O6# | 180.00(9) |
| O5-Cu1-N2 | 90.92(14) | O6#-Cu2-O4# | 88.55(12) |
| N1-Cu1-O7 N2-Cu1-O7 | 85.39(15) 88.92(14) | O6#-Cu2-O1 O6#-Cu2-O1# | 90.50(12) 89.50(12) |
| N2-Cu1-N1 | 104.87(15) | O6#-Cu2-O4 | 91.45(12) |
| O1-Cu2-O4 | 78.34(11) |
| D−H···A | D(D−H) | d(H···A) | d(D···A) | ∠D−H···A | Symmetry Codes |
|---|---|---|---|---|---|
| O7−H7A···N2 | 0.84 | 2.62 | 2.930(5) | 103 | 1-x,1-y,-z |
| O7−H7B···O4 | 0.82 | 2.58 | 2.955(4) | 109 | 1-x,1-y,-z |
| C9′−H9′A···O5 | 0.97 | 2.36 | 3.181(12) | 142 | 1-x,1-y,-z |
| Name | Energy/Ha | EHOMO/eV | ELUMO/eV | ∆E/eV |
|---|---|---|---|---|
| C20H18N2O4 (H2L) | −1183.9 | −5.277 | −2.917 | 2.36 |
| C44H42Cu3N4O14 | −7894.1 | −5.014 | −3.028 | 1.986 |
Publisher’s Note: MDPI stays neutral with regard to jurisdictional claims in published maps and institutional affiliations. |
© 2021 by the authors. Licensee MDPI, Basel, Switzerland. This article is an open access article distributed under the terms and conditions of the Creative Commons Attribution (CC BY) license (http://creativecommons.org/licenses/by/4.0/).
Share and Cite
Peng, Y.-D.; Li, R.-Y.; Li, P.; Sun, Y.-X. Insight into Rare Structurally Characterized Homotrinuclear CuII Non-Symmetric Salamo-Based Complex. Crystals 2021, 11, 113. https://doi.org/10.3390/cryst11020113
Peng Y-D, Li R-Y, Li P, Sun Y-X. Insight into Rare Structurally Characterized Homotrinuclear CuII Non-Symmetric Salamo-Based Complex. Crystals. 2021; 11(2):113. https://doi.org/10.3390/cryst11020113
Chicago/Turabian StylePeng, Yun-Dong, Ruo-Yu Li, Peng Li, and Yin-Xia Sun. 2021. "Insight into Rare Structurally Characterized Homotrinuclear CuII Non-Symmetric Salamo-Based Complex" Crystals 11, no. 2: 113. https://doi.org/10.3390/cryst11020113
APA StylePeng, Y.-D., Li, R.-Y., Li, P., & Sun, Y.-X. (2021). Insight into Rare Structurally Characterized Homotrinuclear CuII Non-Symmetric Salamo-Based Complex. Crystals, 11(2), 113. https://doi.org/10.3390/cryst11020113
