Time-Resolved Nanobeam X-ray Diffraction of a Relaxor Ferroelectric Single Crystal under an Alternating Electric Field
Abstract
:1. Introduction
2. Materials and Methods
3. Results
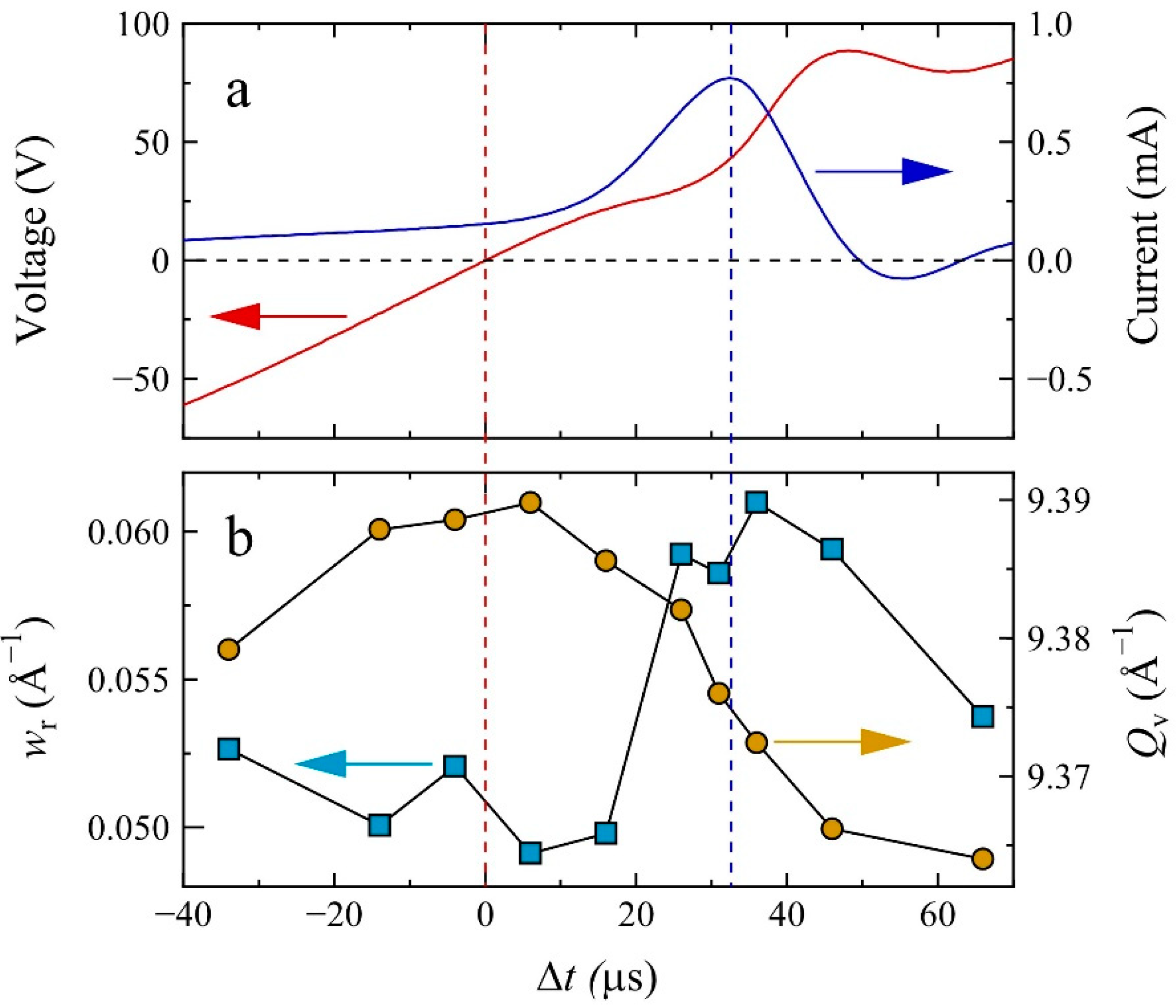
3.1. Transient Average Structure under AC Field
3.2. Transient Local Structure under AC Field
3.3. Static Local Structure under DC Field
4. Discussion
5. Conclusions
Author Contributions
Funding
Acknowledgments
Conflicts of Interest
References
- Cowley, R.A.; Gvasaliya, S.N.; Lushnikov, S.G.; Roessli, B.; Rotaru, G.M. Relaxing with relaxors: A review of relaxor ferroelectrics. Adv. Phys. 2011, 60, 229–327. [Google Scholar] [CrossRef]
 - Zhang, S.; Li, F. High performance ferroelectric relaxor-PbTiO3 single crystals: Status and perspective. J. Appl. Phys. 2012, 111, 2. [Google Scholar] [CrossRef] [Green Version]
 - Sun, E.; Cao, W. Relaxor-based ferroelectric single crystals: Growth, domain engineering, characterization and applications. Prog. Mater. Sci. 2014, 65, 124–210. [Google Scholar] [CrossRef] [Green Version]
 - Kuwata, J.; Uchino, K.; Nomura, S. Dielectric and Piezoelectric Properties of 0.91Pb(Zn1/3Nb2/3)O3-0.09PbTiO3 Single Crystals. Jpn. J. Appl. Phys. 1982, 21, 1298–1302. [Google Scholar] [CrossRef]
 - Park, S.-E.; Shrout, T.R. Characteristics of relaxor-based piezoelectric single crystals for ultrasonic transducers. IEEE Trans. Ultrason. Ferroelectr. Freq. Control 1997, 44, 1140–1147. [Google Scholar] [CrossRef]
 - Park, S.-E.; Shrout, T.R. Ultrahigh strain and piezoelectric behavior in relaxor based ferroelectric single crystals. J. Appl. Phys. 1997, 82, 1804–1811. [Google Scholar] [CrossRef]
 - Zhang, R.; Jiang, B.; Jiang, W.; Cao, W. Anisotropy in domain engineered 0.92Pb(Zn1/3Nb2/3)O3-0.08PbTiO3 single crystal and analysis of its property fluctuations. IEEE Trans. Ultrason. Ferroelectr. Freq. Control 2002, 49, 1622–1627. [Google Scholar] [CrossRef]
 - Guo, Y.; Luo, H.; Ling, D.; Xu, H.; He, T.; Yin, Z. The phase transition sequence and the location of the morphotropic phase boundary region in (1 − x)[Pb(Mg1/3Nb2/3)O3]–xPbTiO3 single crystal. J. Phys. Condens. Matter 2003, 15, L77. [Google Scholar] [CrossRef]
 - Fu, H.; Cohen, R.E. Polarization rotation mechanism for ultrahigh electromechanical response in single-crystal piezoelectrics. Nat. Cell Biol. 2000, 403, 281–283. [Google Scholar] [CrossRef]
 - Noheda, B.; Cox, D.E.; Shirane, G.; Park, S.-E.; Cross, L.E.; Zhong, Z. Polarization Rotation via a Monoclinic Phase in the Piezoelectric 92% PbZn1/3Nb2/3O3-8% PbTiO3. Phys. Rev. Lett. 2001, 86, 3891–3893. [Google Scholar] [CrossRef] [Green Version]
 - Chien, R.R.; Schmidt, V.H.; Tu, C.-S.; Hung, L.-W.; Luo, H. Field-induced polarization rotation in (001)-cut Pb(Mg1/3Nb2/3)0.76Ti0.24O3. Phys. Rev. B 2004, 69, 172101. [Google Scholar] [CrossRef] [Green Version]
 - Kutnjak, Z.; Petzelt, J.; Blinc, R. The giant electromechanical response in ferroelectric relaxors as a critical phenomenon. Nat. Cell Biol. 2006, 441, 956–959. [Google Scholar] [CrossRef] [PubMed]
 - Kutnjak, Z.; Blinc, R.; Ishibashi, Y. Electric field induced critical points and polarization rotations in relaxor ferroelectrics. Phys. Rev. B 2007, 76, 104102. [Google Scholar] [CrossRef]
 - Davis, M.; Damjanovic, D.; Setter, N. Electric-field-, temperature-, and stress-induced phase transitions in relaxor ferroelectric single crystals. Phys. Rev. B 2006, 73, 014115. [Google Scholar] [CrossRef]
 - Davis, M. Picturing the elephant: Giant piezoelectric activity and the monoclinic phases of relaxor-ferroelectric single crystals. J. Electroceramics 2007, 19, 25–47. [Google Scholar] [CrossRef]
 - Li, F.; Zhang, S.; Xu, Z.; Wei, X.; Shrout, T.R. Critical Property in Relaxor-PbTiO3 Single Crystals-Shear Piezoelectric Response. Adv. Funct. Mater. 2011, 21, 2118–2128. [Google Scholar] [CrossRef]
 - Liu, H.; Chen, J.; Fan, L.; Ren, Y.; Pan, Z.; Lalitha, K.V.; Rödel, J.; Xing, X. Critical Role of Monoclinic Polarization Rotation in High-Performance Perovskite Piezoelectric Materials. Phys. Rev. Lett. 2017, 119, 017601. [Google Scholar] [CrossRef]
 - Hou, D.; Usher, T.-M.; Fulanovic, L.; Vrabelj, M.; Otonicar, M.; Ursic, H.; Malic, B.; Levin, I.; Jones, J.L. Field-induced polarization rotation and phase transitions in 0.70Pb(Mg1/3Nb2/3)O3−0.30PbTiO3 piezoceramics observed by in situ high-energy X-ray scattering. Phys. Rev. B 2018, 97, 214102. [Google Scholar] [CrossRef] [Green Version]
 - Pirc, R.; Blinc, R.; Vikhnin, V.S. Effect of polar nanoregions on giant electrostriction and piezoelectricity in relaxor ferroelectrics. Phys. Rev. B 2004, 69, 212105. [Google Scholar] [CrossRef] [Green Version]
 - Xu, G.; Wen, J.; Stock, C.; Gehring, P.M. Phase instability induced by polar nanoregions in a relaxor ferroelectric system. Nat. Mater. 2008, 7, 562–566. [Google Scholar] [CrossRef] [PubMed] [Green Version]
 - Fu, D.; Taniguchi, H.; Itoh, M.; Koshihara, S.-Y.; Yamamoto, N.; Mori, S. Relaxor Pb(Mg1/3Nb2/3)O3: A Ferroelectric with Multiple Inhomogeneities. Phys. Rev. Lett. 2009, 103, 207601. [Google Scholar] [CrossRef] [Green Version]
 - Li, F.; Zhang, S.; Yang, T.; Xu, Z.; Zhang, N.; Liu, G.; Wang, J.; Wang, J.; Cheng, Z.; Ye, Z.-G.; et al. The origin of ultrahigh piezoelectricity in relaxor-ferroelectric solid solution crystals. Nat. Commun. 2016, 7, 13807. [Google Scholar] [CrossRef] [PubMed]
 - Manley, M.E.; Abernathy, D.L.; Sahul, R.; Parshall, D.E.; Lynn, J.W.; Christianson, A.D.; Stonaha, P.J.; Specht, E.D.; Budai, J.D. Giant electromechanical coupling of relaxor ferroelectrics controlled by polar nanoregion vibrations. Sci. Adv. 2016, 2, e1501814. [Google Scholar] [CrossRef] [PubMed] [Green Version]
 - Li, F.; Zhang, S.; Xu, Z.; Chen, L.-Q. The Contributions of Polar Nanoregions to the Dielectric and Piezoelectric Responses in Domain-Engineered Relaxor-PbTiO3 Crystals. Adv. Funct. Mater. 2017, 27, 1700310. [Google Scholar] [CrossRef]
 - Aoyagi, S.; Aoyagi, A.; Osawa, H.; Sugimoto, K.; Nakahira, Y.; Moriyoshi, C.; Kuroiwa, Y.; Iwata, M. Rotational intersite displacement of disordered lead atoms in a relaxor ferroelectric during piezoelectric lattice straining and ferroelectric domain switching. Phys. Rev. B 2020, 101, 064104. [Google Scholar] [CrossRef]
 - Welberry, T.R.; Goosens, D.J.; Gutmann, M.J. Chemical origin of nanoscale polar domains in PbZn1/3Nb2/3O3. Phys. Rev. B 2006, 74, 224108. [Google Scholar] [CrossRef]
 - Eremenko, M.; Krayzman, V.; Bosak, A.; Playford, H.Y.; Chapman, K.W.; Woicik, J.C.; Ravel, B.; Levin, I. Local atomic order and hierarchical polar nanoregions in a classical relaxor ferroelectric. Nat. Commun. 2019, 10, 1–9. [Google Scholar] [CrossRef] [Green Version]
 - Cabral, M.J.; Zhang, S.; Dickey, E.C.; LeBeau, J.M. Direct observation of local chemistry and local cation displacements in the relaxor ferroelectric PMN-PT. Microsc. Microanal. 2016, 22, 1402–1403. [Google Scholar] [CrossRef] [Green Version]
 - Otoničar, M.; Bradeško, A.; Fulanović, L.; Kos, T.; Uršič, H.; Benčan, A.; Cabral, M.J.; Henriques, A.; Jones, J.L.; Riemer, L.; et al. Connecting the Multiscale Structure with Macroscopic Response of Relaxor Ferroelectrics. Adv. Funct. Mater. 2020, 30, 2006823. [Google Scholar] [CrossRef]
 - Dolabella, S.; Frison, R.; Chahine, G.A.; Richter, C.; Schulli, T.U.; Tasdemir, Z.; Alaca, B.E.; Leblebici, Y.; Dommanna, A.; Neels, A. Real-and Q-space travelling: Multi-dimensional distribution maps of crystal-lattice strain (ϵ044) and tilt of suspended monolithic silicon nanowire structures. J. Appl. Crystallogr. 2020, 53, 58–68. [Google Scholar] [CrossRef] [Green Version]
 - Cao, Y.; Assefa, T.; Banerjee, S.; Wieteska, A.R.; Wang, D.Z.-R.; Pasupathy, A.N.; Tong, X.; Liu, Y.; Lu, W.; Sun, Y.; et al. Complete Strain Mapping of Nanosheets of Tantalum Disulfide. ACS Appl. Mater. Interfaces 2020, 12, 43173–43179. [Google Scholar] [CrossRef]
 - Koreeda, A.; Taniguchi, H.; Saikan, S.; Itoh, M. Fractal Dynamics in a Single Crystal of a Relaxor Ferroelectric. Phys. Rev. Lett. 2012, 109, 197601. [Google Scholar] [CrossRef] [PubMed]
 - Tsukada, S.; Ohwada, K.; Ohwa, H.; Mori, S.; Kojima, S.; Yasuda, N.; Terauchi, H.; Akishige, Y. Relation between Fractal Inhomogeneity and In/Nb-Arrangement in Pb(In1/2Nb1/2)O3. Sci. Rep. 2017, 7, 17508. [Google Scholar] [CrossRef] [Green Version]
 - Sugimoto, K.; Ohsumi, H.; Aoyagi, S.; Nishibori, E.; Moriyoshi, C.; Kuroiwa, Y.; Sawa, H.; Takata, M. Extremely High Resolution Single Crystal Diffractometory for Orbital Resolution using High Energy Synchrotron Radiation at SPring-8. AIP Conf. Proc. 2010, 1234, 887–890. [Google Scholar]
 - Imai, Y.; Sumitani, K.; Kimura, S. Current status of nanobeam x-ray diffraction station at SPring-8. AIP Conf. Proc. 2019, 2054, 050004. [Google Scholar]
 - Osawa, H.; Kudo, T.; Kimura, S. Development of high-repetition-rate X-ray chopper system for time-resolved measurements with synchrotron radiation. Jpn. J. Appl. Phys. 2017, 56, 48001. [Google Scholar] [CrossRef] [Green Version]
 







Publisher’s Note: MDPI stays neutral with regard to jurisdictional claims in published maps and institutional affiliations.  | 
© 2021 by the authors. Licensee MDPI, Basel, Switzerland. This article is an open access article distributed under the terms and conditions of the Creative Commons Attribution (CC BY) license (https://creativecommons.org/licenses/by/4.0/).
Share and Cite
Aoyagi, S.; Aoyagi, A.; Takeda, H.; Osawa, H.; Sumitani, K.; Imai, Y.; Kimura, S. Time-Resolved Nanobeam X-ray Diffraction of a Relaxor Ferroelectric Single Crystal under an Alternating Electric Field. Crystals 2021, 11, 1419. https://doi.org/10.3390/cryst11111419
Aoyagi S, Aoyagi A, Takeda H, Osawa H, Sumitani K, Imai Y, Kimura S. Time-Resolved Nanobeam X-ray Diffraction of a Relaxor Ferroelectric Single Crystal under an Alternating Electric Field. Crystals. 2021; 11(11):1419. https://doi.org/10.3390/cryst11111419
Chicago/Turabian StyleAoyagi, Shinobu, Ayumi Aoyagi, Hiroaki Takeda, Hitoshi Osawa, Kazushi Sumitani, Yasuhiko Imai, and Shigeru Kimura. 2021. "Time-Resolved Nanobeam X-ray Diffraction of a Relaxor Ferroelectric Single Crystal under an Alternating Electric Field" Crystals 11, no. 11: 1419. https://doi.org/10.3390/cryst11111419
APA StyleAoyagi, S., Aoyagi, A., Takeda, H., Osawa, H., Sumitani, K., Imai, Y., & Kimura, S. (2021). Time-Resolved Nanobeam X-ray Diffraction of a Relaxor Ferroelectric Single Crystal under an Alternating Electric Field. Crystals, 11(11), 1419. https://doi.org/10.3390/cryst11111419
        
                                                
