Impediment of Iron Corrosion by N,N′-Bis[2-hydroxynaphthylidene]amino]oxamide in 3.5% NaCl Solution
Abstract
1. Introduction
2. Experimental
2.1. Materials and Methods
2.2. Isolation of N,N-bis([2-hydroxynaphthylidene]amino)oxamide
3. Results and Discussion
3.1. Chemistry and Characterization of the Inhibitor (HAO)
3.1.1. IR Spectra
3.1.2. Mass Spectra
3.1.3. 13C NMR Spectra
3.1.4. 1H NMR Spectra
3.1.5. Electronic Spectra
3.2. Corrosion Measurements
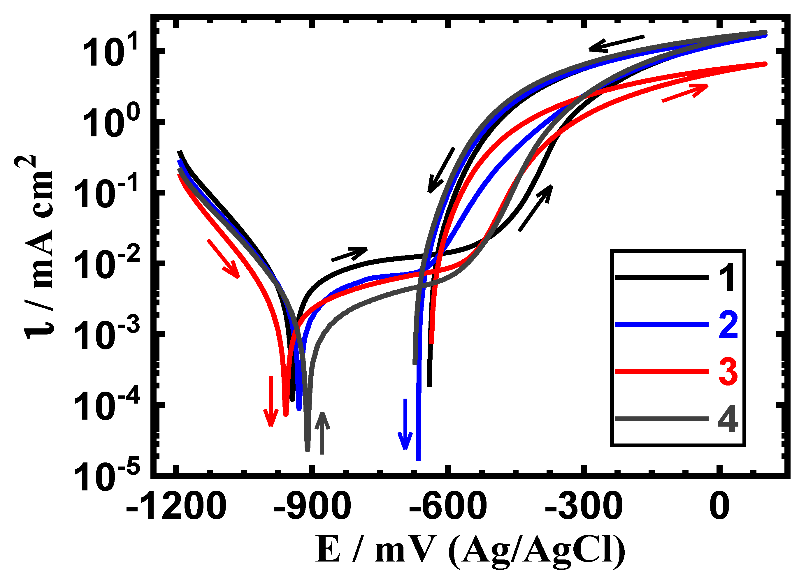
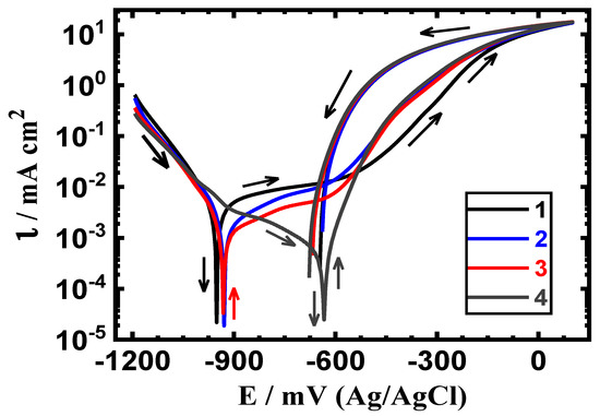
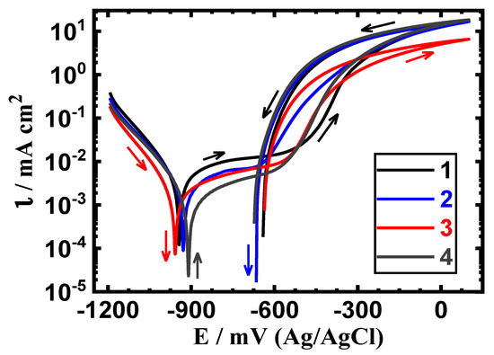
3.2.1. Cyclic Polarization Data
3.2.2. Chronoamperometric Current–time Results
3.2.3. EIS Data
3.2.4. Scanning Electron Microscopy (SEM) and Energy-Dispersive X-ray (EDX) Analyses
4. Conclusions
Author Contributions
Funding
Institutional Review Board Statement
Informed Consent Statement
Data Availability Statement
Acknowledgments
Conflicts of Interest
References
- Rollas, S.; Kucukguzel, S.G. Biological activities of hydrazone derivatives. Molecules 2007, 12, 1910–1939. [Google Scholar] [CrossRef]
- Barbazan, P.; Carballo, R.; Covelo, B.; Lodeiro, C.; Lima, J.C.; Vazquez-Lopez, E.M. Synthesis, characterization, and photophysical properties of 2-hydroxybenzaldehyde [(1E)-1-pyridin-2-ylethylidene]hydrazone and its rhenium(I) complexes. Eur. J. Inorg. Chem. 2008, 2008, 2713–2720. [Google Scholar] [CrossRef]
- Berger, S.A.; Ryan, D.E. The use of substituted hydrazones as metallochromic indicators: The EDTA titration of copper. Mikrochim. Acta 1974, 62, 679–688. [Google Scholar] [CrossRef]
- Odashima, T.; Anzai, F.; Ishii, H. Substituted 2-thiophenealdehyde-2-benzothiazolyl-hydrazones as analytical reagents for copper. Anal. Chim. Acta 1976, 86, 231–236. [Google Scholar] [CrossRef]
- Berger, S.A. The Liquid-Liquid Extraction of Copper(II), Nickel(II), and Cobalt(II) with 2,2′-Pyridil-mono-(2-quinolylhydrazone). Microchem. J. 1993, 47, 317–324. [Google Scholar] [CrossRef]
- Berger, S.A. Benzil-mono-(2-quinolyl)-hydrazone as a chelating agent for copper. Mikrochim. Acta 1979, 71, 311–316. [Google Scholar] [CrossRef]
- Macedo, M.C.S.S.; Barcia, O.E.; Da Silva, E.C.; Mendes, J.D. Corrosion inhibition of iron in NaCl 3.5% by some derivatives imidazole. J. Electrochem. Soc. 2012, 159, C160. [Google Scholar] [CrossRef]
- Aslam, R.; Mobin, M.; Aslam, J.; Lgaz, H. Sugar based N,N′didodecyl-N,N′digluconamideethylenediamine gemini surfactant as corrosion inhibitor for mild steel in 3.5% NaCl solution-effect of synergistic KI additive. Sci. Rep. 2018, 8, 3690. [Google Scholar] [CrossRef] [PubMed]
- Sherif, E.-S.M. Corrosion and corrosion inhibition of pure iron in neutral chloride solutions by 1,1′-thiocarbonyldiimidazole. Int. J. Electrochem. Sci. 2011, 6, 3077–3092. [Google Scholar]
- Sherif, E.-S.M. Effects of 5-(3-aminophenyl)-tetrazole on the inhibition of unalloyed iron corrosion in aerated 3.5% sodium chloride solutions as a corrosion inhibitor. Mater. Chem. Phys. 2011, 129, 961–967. [Google Scholar] [CrossRef]
- Zhu, H.; Li, X.; Lu, X.; Chen, X.; Li, J.; Han, X.; Ma, X.; Hu, Z. Intra-/inter-molecular synergistic inhibition effect of sulfonate surfactant and 2-benzothiazolethiol on carbon steel corrosion in 3.5% NaCl solution. Corros. Sci. 2021, 182, 109291. [Google Scholar] [CrossRef]
- Sherif, E.-S.M. Corrosion inhibition in chloride solutions of iron by 3-amino-1,2,4-triazole-5-thiol and 1,1′-thiocarbonyldiimidazole. Int. J. Electrochem. Sci. 2012, 7, 4834–4846. [Google Scholar]
- Zhang, Z.; Wang, F.; Liu, Y.; Wu, S.; Li, W.; Sun, W.; Guod, D.; Jiang, J. Molecule adsorption and corrosion mechanism of steel under protection of inhibitor in a simulated concrete solution with 3.5% NaCl. RSC Adv. 2018, 8, 20648. [Google Scholar] [CrossRef]
- Velrani, S.; Jeyaprabha, B.; Prakash, P. Inhibition of mild steel corrosion in 3.5% NaCl medium using 1-butyl-3-methylimidazolium chloride. Int. J. Innov. Sci. Eng. Technol. 2014, 1, 57–69. [Google Scholar]
- Shahzad, K.; Sliem, M.H.; Shakoor, R.A.; Radwan, A.B.; Kahraman, R.; Umer, M.A.; Manzoor, U.; Abdullah, A.M. Electrochemical and thermodynamic study on the corrosion performance of API X120 steel in 3.5% NaCl solution. Sci. Rep. 2020, 10, 4314. [Google Scholar] [CrossRef]
- ArockiaSelvi, J.; Kamaraj, P.; Arthanareeswari, M.; PushpaMalini, T.; Mohanapriya, S.; Subasree, N. Effect of cetylpyridinium chloride on corrosion inhibition of mild steel in chloride environment. Mater. Today 2019, 14, 264–270. [Google Scholar] [CrossRef]
- Sherif, E.-S.M.; Ahmed, A.H. Synthesizing new hydrazone derivatives and studying their effects on the inhibition of copper corrosion in sodium chloride solutions. Synth. React. Inorg. Met.-Org. Nano-Met. Chem. 2010, 40, 365–372. [Google Scholar] [CrossRef]
- Mohammad, O.; Khamaysa, A.; Selatnia, I.; Zeghache, H.; Lgaz, H.; Benahmed, M.; Gherraf, N.; Mosset, P. Enhanced corrosion inhibition of carbon steel in HCl solution by a newly synthesized hydrazine derivative: Mechanism exploration from electrochemical, XPS, and computational studies. J. Mol. Liq. 2020, 315, 113805. [Google Scholar]
- Lgaz, H.; Salghi, R.; Masroor, S.; Kim, S.; Kwon, C.; Kim, S.Y.; Yang, Y.; Chung, I.-M. Assessing corrosion inhibition characteristics of hydrazone derivatives on mild steel in HCl: Insights from electronic-scale DFT and atomic-scale molecular dynamics. J. Mol. Liq. 2020, 308, 112998. [Google Scholar] [CrossRef]
- Lgaz, H.; Chung, I.-M.; Albayati, M.R.; Chaouiki, A.; Salghi, R.; Mohamed, S.K. Improved corrosion resistance of mild steel in acidic solution by hydrazone derivatives: An experimental and computational study. Arab. J. Chem. 2020, 13, 2934–2954. [Google Scholar] [CrossRef]
- Chafai, N.; Chafaa, S.; Benbouguerra, K.; Hellala, A.; Mehri, M. Synthesis, spectral analysis, anti-corrosive activity and theoretical study of an aromatic hydrazone derivative. J. Mol. Struct. 2019, 1181, 83–92. [Google Scholar] [CrossRef]
- Chaouiki, A.; Chafiq, M.; Lgaz, H.; Al-Hadeethi, M.R.; Ali, I.; Masroor, S.; Chung, I.-M. Green corrosion inhibition of mild steel by hydrazone derivatives in 1.0 M HCl. Coatings 2020, 10, 640. [Google Scholar] [CrossRef]
- Fouda, A.S.; Badr, G.E.; El-Haddad, M.N. The inhibition of c-steel corrosion in H3PO4 solution by some furfural hydrazone derivatives. J. Korean Chem. Soc. 2008, 52, 124–132. [Google Scholar] [CrossRef]
- Gnanasekaran, M.; Mohan, K.; Kumaravel, A.; Magibalan, S. Characterization, corrosion behavior, effect of temperature and inhibition studies on AA6351 frictional surfaced mild steel. J. Mater. Res. Technol. 2020, 9, 16080–16092. [Google Scholar] [CrossRef]
- Ahmed, A.H.; Hassan, A.M.; Gumaa, H.A.; Mohamed, B.H.; Eraky, A.M.; Omran, A.A. Copper(II)-oxaloyldihydrazone complexes: Physico-chemical studies; energy band gap and inhibition evaluation of free oxaloyldihydrazones toward the corrosion of copper metal in acidic medium. Arab. J. Chem. 2019, 12, 4287–4302. [Google Scholar] [CrossRef]
- Ahmed, A.H.; Hassan, A.M.; Gumaa, H.A.; Mohamed, B.H.; Eraky, A.M. Physicochemical studies on some selected oxaloyldihydrazones and their novel palladium(II) complexes along with using oxaloyldihydrazones as corrosion resistants. Inorg. Nano-Met. Chem. 2017, 47, 1652–1663. [Google Scholar] [CrossRef]
- Ahmed, A.H.; Hassan, A.M.; Gumaa, H.A.; Mohamed, B.H.; Eraky, A.M. Mn2+-complexes of N,O-dihydrazone: Structural studies, indirect band gap energy and corrosion inhibition on aluminum in acidic medium. J. Chil. Chem. Soc. 2018, 63, 4159–4168. [Google Scholar] [CrossRef]
- Chetouani, A.; Aouniti, A.; Hammouti, B.; Benchat, N.; Benhadda, T.; Kertit, S. Corrosion inhibitors for iron in hydrochloride acid solution by newly synthesised pyridazine derivatives. Corros. Sci. 2003, 45, 1675–16784. [Google Scholar] [CrossRef]
- Zhao, P.; Liang, Q.; Li, Y. Electrochemical, SEM/EDS and quantum chemical study of phthalocyanines as corrosion inhibitors for mild steel in 1 mol/L HCl. J. Appl. Surf. Sci. 2005, 252, 1596–1607. [Google Scholar] [CrossRef]
- Sherif, E.-S.M. Effects of 2-amino-5-(ethylthio)-1,3,4-thiadiazole on copper corrosion as a corrosion inhibitor in 3% NaCl solutions. J. Appl. Surf. Sci. 2006, 252, 8615–8622. [Google Scholar] [CrossRef]
- Yao, J.L.; Ren, B.; Huang, Z.F.; Cao, P.G.; Gub, R.A.; Tian, Z.-Q. Extending surface raman spectroscopy to transition metals for practical applications IV. A study on corrosion inhibition of benzotriazole on bare Fe electrodes. Electrochim. Acta 2003, 48, 1263–1271. [Google Scholar] [CrossRef]
- Bazzaoui, M.; Martins, L.; Bazzaoui, E.A.; Martins, J.I. New single-step electrosynthesis process of homogeneous and strongly adherent polypyrrole films on iron electrodes in aqueous medium. Electrochim. Acta 2002, 47, 2953–2962. [Google Scholar] [CrossRef]
- Zawada, K.; Bukowska, J.; Calvo, M.; Jackowska, K. Surface-enhanced raman spectroscopy and electrochemistry at the copper ∣ 4-phenylpyridine interface. Electrochim. Acta 2001, 46, 2671–2680. [Google Scholar] [CrossRef]
- Sherif, E.M.; Park, S.-M. Effects of 1,5-Naphthalenediol on aluminum corrosion as a corrosion inhibitor in 0.50 M NaCl. J. Electrochem. Soc. 2005, 152, B205–B211. [Google Scholar] [CrossRef]
- Sherif, E.M.; Park, S.-M. Effects of 1,4-naphthoquinone on aluminum corrosion in 0.50 M sodium chloride solutions. Electrochim. Acta 2006, 51, 1313–1321. [Google Scholar] [CrossRef]
- Ahmed, A.H.; Sherif, E.-S.M.; Abdo, H.S.; Gad, E.S. Ethanedihydrazide as a corrosion inhibitor for Iron in 3.5% NaCl solutions. ACS Omega 2021, 6, 14525–14532. [Google Scholar] [CrossRef]
- Abdallah, M. Rhodanine azosulpha drugs as corrosion inhibitors for corrosion of 304 stainless steel in hydrochloric acid solution. Corros. Sci. 2002, 44, 717–728. [Google Scholar] [CrossRef]
- Abd El Maksoud, S.A. Studies on the effect of pyranocoumarin derivatives on the corrosion of iron in 0.5 M HCl. Corros. Sci. 2002, 44, 803–813. [Google Scholar] [CrossRef]
- Quraishi, M.A.; Rawat, J. Inhibition of mild steel corrosion by some macrocyclic compounds in hot and concentrated hydrochloric acid. Mater. Chem. Phys. 2002, 73, 118–122. [Google Scholar] [CrossRef]
- Salama, T.M.; Ahmed, A.H.; El-Bahy, Z.M. Y-type zeolite-encapsulated copper (II) salicylidene-p-aminobenzoic Schiff base complex: Synthesis, characterization and carbon monoxide adsorption. Micropor. Mesopor. Mater. 2006, 89, 251–259. [Google Scholar] [CrossRef]
- Ahmed, A.H. N,N’-bis[2-hydroxynaphthylidene]/[2-methoxybenzylidene]amino]oxamides and their divalent manganese complexes: Isolation, spectral characterization, morphology, antibacterial and cytotoxicity against leukemia cells. Open Chem. 2020, 18, 426–437. [Google Scholar] [CrossRef]
- Ahmed, A.H.; Hassan, A.M.; Gumaa, H.A.; Mohamed, B.H.; Eraky, A.M. Nickel(II)-oxaloyldihydrazone complexes: Characterization, indirect band gap energy and antimicrobial evaluation. Cogent Chem. 2016, 2, 1142820. [Google Scholar] [CrossRef]
- Ahmed, A.H.; Moustafa, M.G. Spectroscopic, morphology and electrical conductivity studies on Co(II), Ni(II), Cu(II) and Mn(II)-oxaloyldihydrazone complexes. J. Saudi Chem. Soc. 2020, 24, 381–392. [Google Scholar] [CrossRef]
- Sherif, E.-S.M.; Erasmus, R.M.; Comins, J.D. In situ Raman spectroscopy and electrochemical techniques for studying corrosion and corrosion inhibition of iron in sodium chloride solutions. Electrochim. Acta 2010, 55, 3657–3663. [Google Scholar] [CrossRef]
- Sherif, E.-S.M.; Erasmus, R.M.; Comins, J.D. Corrosion of copper in aerated synthetic sea water solutions and its inhibition by 3-amino-1,2,4-triazole. J. Colloid Interface Sci. 2007, 309, 470–477. [Google Scholar] [CrossRef]
- Zhang, Z.; Chen, S.; Li, Y.; Li, S.; Wang, L. A study of the inhibition of iron corrosion by imidazole and its derivatives self-assembled films. Corros. Sci. 2009, 51, 291–300. [Google Scholar] [CrossRef]
- Sherif, E.-S.M.; Almajid, A.A. Corrosion of magnesium/manganese alloy in chloride solutions and its inhibition by 5-(3-aminophenyl)-tetrazole. Int. J. Electrochem. Sci. 2011, 6, 2131–2148. [Google Scholar]
- Sherif, E.M.; Park, S.-M. 2-Amino-5-ethyl-1,3,4-thiadiazole as a corrosion inhibitor for copper in 3.0% NaCl solutions. Corros. Sci. 2006, 48, 4065–4079. [Google Scholar] [CrossRef]
- Khalil, K.A.; Sherif, E.-S.M.; Almajid, A.A. Corrosion passivation in simulated body fluid of magnesium/hydroxyapatite nanocomposites sintered by high frequency induction heating. Int. J. Electrochem. Sci. 2011, 6, 6184–6199. [Google Scholar]
- Sherif, E.-S.M.; Potgieter, J.H.; Comins, J.D.; Cornish, L.; Olubambi, P.A.; Machio, C.N. The beneficial effect of ruthenium additions on the passivation of duplex stainless steel corrosion in sodium chloride solutions. Corros. Sci. 2009, 51, 1364–1371. [Google Scholar] [CrossRef]
- Sherif, E.-S.M.; Latief, F.H.; Abdo, H.S.; Alharthi, N.H. Electrochemical and spectroscopic study on the corrosion of Ti–5Al and Ti–5Al–5Cu in chloride solutions. Met. Mater. Int. 2019, 25, 1511–1520. [Google Scholar] [CrossRef]
- Sherif, E.-S.M.; Potgieter, J.H.; Comins, J.D.; Cornish, L.; Olubambi, P.A.; Machio, C.N. Effects of minor additions of ruthenium on the passivation of duplex stainless-steel corrosion in concentrated hydrochloric acid solutions. J. Appl. Electrochem. 2009, 39, 1385–1392. [Google Scholar] [CrossRef]
- Amin, M.A.; Abd El-Rehim, S.S.; El-Sherbini, E.E.; Bayoumi, R.S. The inhibition of low carbon steel corrosion in hydrochloric acid solutions by succinic acid part I. weight loss, polarization, EIS, PZC, EDX and ESM studies. Electrochim. Acta 2007, 52, 3588–3599. [Google Scholar] [CrossRef]
- Feliu, S., Jr. Electrochemical impedance spectroscopy for the measurement of the corrosion rate of magnesium alloys: Brief review and challenges. Metals 2020, 10, 775. [Google Scholar] [CrossRef]
- Kuriakose, N.; Kakkassery, J.T.; Raphael, V.P.; Shanmughan, S.K. Electrochemical impedance spectroscopy and potentiodynamic polarization analysis on anticorrosive activity of thiophene-2-carbaldehyde derivative in acid medium. Ind. J. Mater. Sci. 2014, 2014, 124065. [Google Scholar] [CrossRef]
- Sherif, E.M.; Park, S.-M. Effects of 2-amino-5-ethylthio-1,3,4-thiadiazole on copper corrosion as a corrosion inhibitor in aerated acidic pickling solutions. Electrochim. Acta 2006, 51, 6556–6562. [Google Scholar] [CrossRef]
- Sherif, E.M.; Park, S.-M. Inhibition of copper corrosion in acidic pickling solutions by N-phenyl-1,4-phenylenediamine. Electrochim. Acta 2006, 51, 4665–4673. [Google Scholar] [CrossRef]
- Sherif, E.M.; Park, S.-M. Inhibition of copper corrosion in 3.0% NaCl by N-phenyl-1,4-phenylenediamine. J. Electrochem. Soc. 2005, 152, 428–433. [Google Scholar] [CrossRef]
- Pearson, R.G. Hard and soft acids and bases, HSAB, part II: Underlying theories. J. Chem. Educ. 1968, 45, 643–648. [Google Scholar] [CrossRef]
- Pearson, R.G. Chemical Hardness—Applications from Molecules to Solids; Wiley-VCH: Weinheim, Germany, 1997. [Google Scholar]















| Compound (Formula/Symbol) | Color | Melting Point | Yield % |
|---|---|---|---|
| Ethanedihydrazide (C2H6N4O2/EH) | White | 242~244 °C | * |
| N,N′-bis[2-hydroxynaphthylidene]amino]oxamide (C24H18N4O4/HAO) | Yellow | >300 °C | 98 |
| Solutions | βc/mV dec−1 | ECorr/mV | βa/mV dec−1 | jCorr/µA cm−2 | RP/Ω cm2 | KCorr/mmpy | IE/% |
|---|---|---|---|---|---|---|---|
| 3.5% NaCl + 0.0 M HAO (1 h) | 80 | −945 | 115 | 3.2 | 641.03 | 0.0823 | − |
| 3.5% NaCl + 5 × 10−5 M HAO O (1 h) | 75 | −925 | 98 | 1.5 | 1231.5 | 0.0174 | 53.13 |
| 3.5% NaCl + 1 × 10−4 M HAO (1 h) | 70 | −915 | 90 | 0.70 | 2445.7 | 0.0081 | 78.13 |
| 3.5% NaCl + 5 × 10−4 M HAO (1 h) | 80 | −655 | 75 | 0.50 | 3366.1 | 0.0058 | 84.36 |
| 3.5% NaCl + 0.0 M HAO (48 h) | 70 | −940 | 110 | 2.1 | 885.7 | 0.0540 | − |
| 3.5% NaCl + 5 × 10−5 M HAO (48 h) | 75 | −925 | 105 | 1.2 | 1585.1 | 0.0139 | 62.50 |
| 3.5% NaCl + 1 × 10−4 M HAO (48 h) | 73 | −945 | 95 | 0.65 | 2761.2 | 0.0076 | 79.69 |
| 3.5% NaCl + 5 × 10−4 M HAO (48 h) | 68 | −900 | 90 | 0.40 | 4210.3 | 0.0047 | 87.50 |
| Parameter/Solution | Rs/Ω cm2 | Q (CPEs) | RP/Ω cm2 | IE/% | |
|---|---|---|---|---|---|
| YQ/µF cm−2 | n | ||||
| 3.5% NaCl + 0.0 M HAO (1 h) | 9.40 | 7.14 | 0.83 | 658 | − |
| 3.5% NaCl + 5 × 10−5 M HAO O (1 h) | 10.15 | 6.45 | 0.84 | 1312 | 49.85 |
| 3.5% NaCl + 1 × 10−4 M HAO (1 h) | 10.49 | 5.96 | 0.86 | 2034 | 67.65 |
| 3.5% NaCl + 5 × 10−4 M HAO (1 h) | 11.31 | 5.59 | 0.88 | 3356 | 80.39 |
| 3.5% NaCl + 0.0 M HAO (48 h) | 10.05 | 7.03 | 0.85 | 705 | − |
| 3.5% NaCl + 5 × 10−5 M HAO (48 h) | 10.62 | 6.62 | 0.86 | 1624 | 56.59 |
| 3.5% NaCl + 1 × 10−4 M HAO (48 h) | 10.97 | 5.17 | 0.87 | 2289 | 69.20 |
| 3.5% NaCl + 5 × 10−4 M HAO (48 h) | 11.73 | 4.21 | 0.89 | 3835 | 81.67 |
Publisher’s Note: MDPI stays neutral with regard to jurisdictional claims in published maps and institutional affiliations. |
© 2021 by the authors. Licensee MDPI, Basel, Switzerland. This article is an open access article distributed under the terms and conditions of the Creative Commons Attribution (CC BY) license (https://creativecommons.org/licenses/by/4.0/).
Share and Cite
Sherif, E.-S.M.; Ahmed, A.H.; Abdo, H.S.; DefAllah, M.N. Impediment of Iron Corrosion by N,N′-Bis[2-hydroxynaphthylidene]amino]oxamide in 3.5% NaCl Solution. Crystals 2021, 11, 1263. https://doi.org/10.3390/cryst11101263
Sherif E-SM, Ahmed AH, Abdo HS, DefAllah MN. Impediment of Iron Corrosion by N,N′-Bis[2-hydroxynaphthylidene]amino]oxamide in 3.5% NaCl Solution. Crystals. 2021; 11(10):1263. https://doi.org/10.3390/cryst11101263
Chicago/Turabian StyleSherif, El-Sayed M., Ayman H. Ahmed, Hany S. Abdo, and Monerah N. DefAllah. 2021. "Impediment of Iron Corrosion by N,N′-Bis[2-hydroxynaphthylidene]amino]oxamide in 3.5% NaCl Solution" Crystals 11, no. 10: 1263. https://doi.org/10.3390/cryst11101263
APA StyleSherif, E.-S. M., Ahmed, A. H., Abdo, H. S., & DefAllah, M. N. (2021). Impediment of Iron Corrosion by N,N′-Bis[2-hydroxynaphthylidene]amino]oxamide in 3.5% NaCl Solution. Crystals, 11(10), 1263. https://doi.org/10.3390/cryst11101263

