Atomic Insights into Fracture Characteristics of Twisted Tri-Layer Graphene
Abstract
:1. Introduction
2. Model and Method
2.1. Initial Structure
2.2. Interatomic Potential
2.3. Molecular Dynamics Simulations
3. Results and Discussion
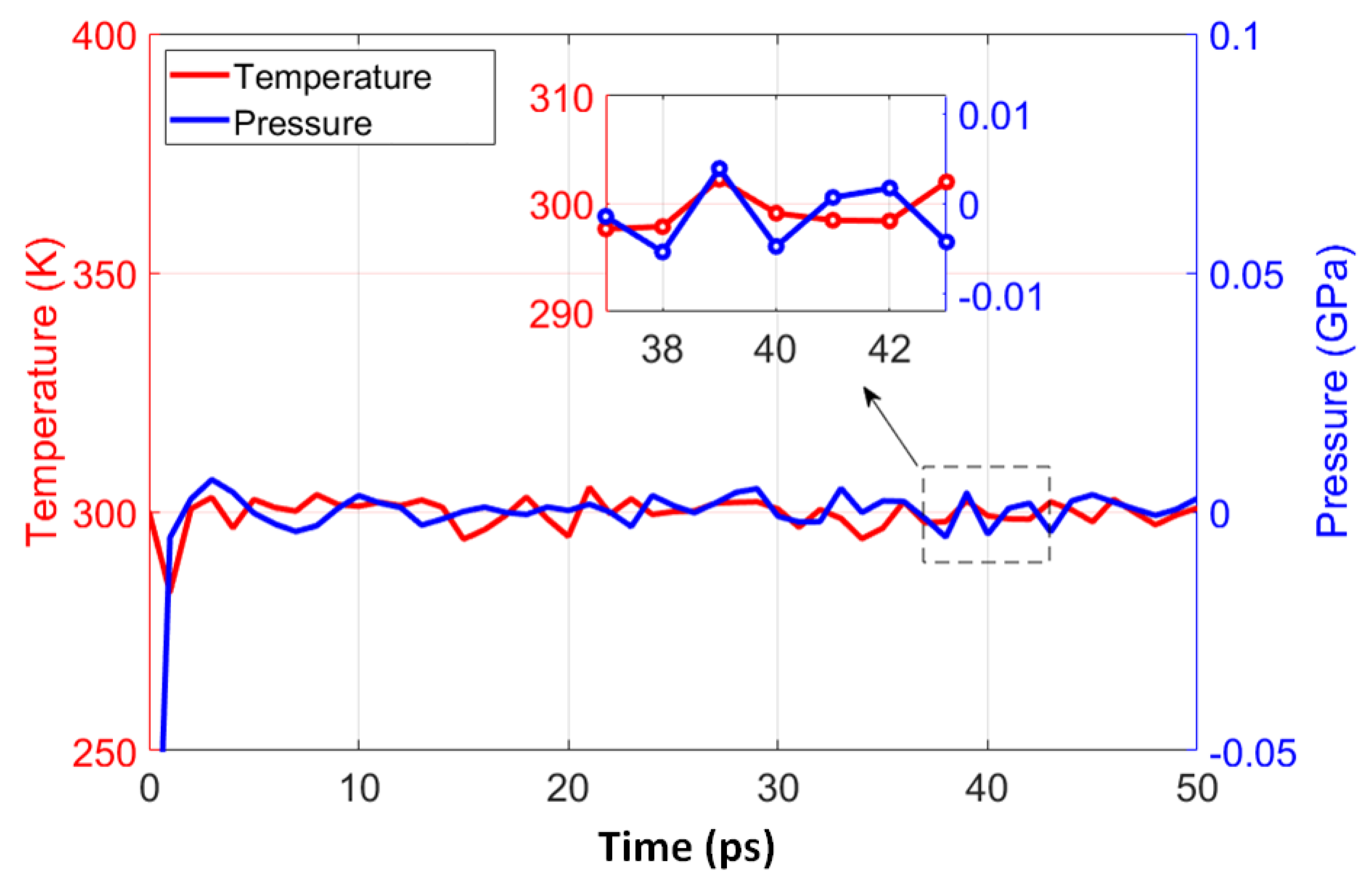
3.1. Equilibrium
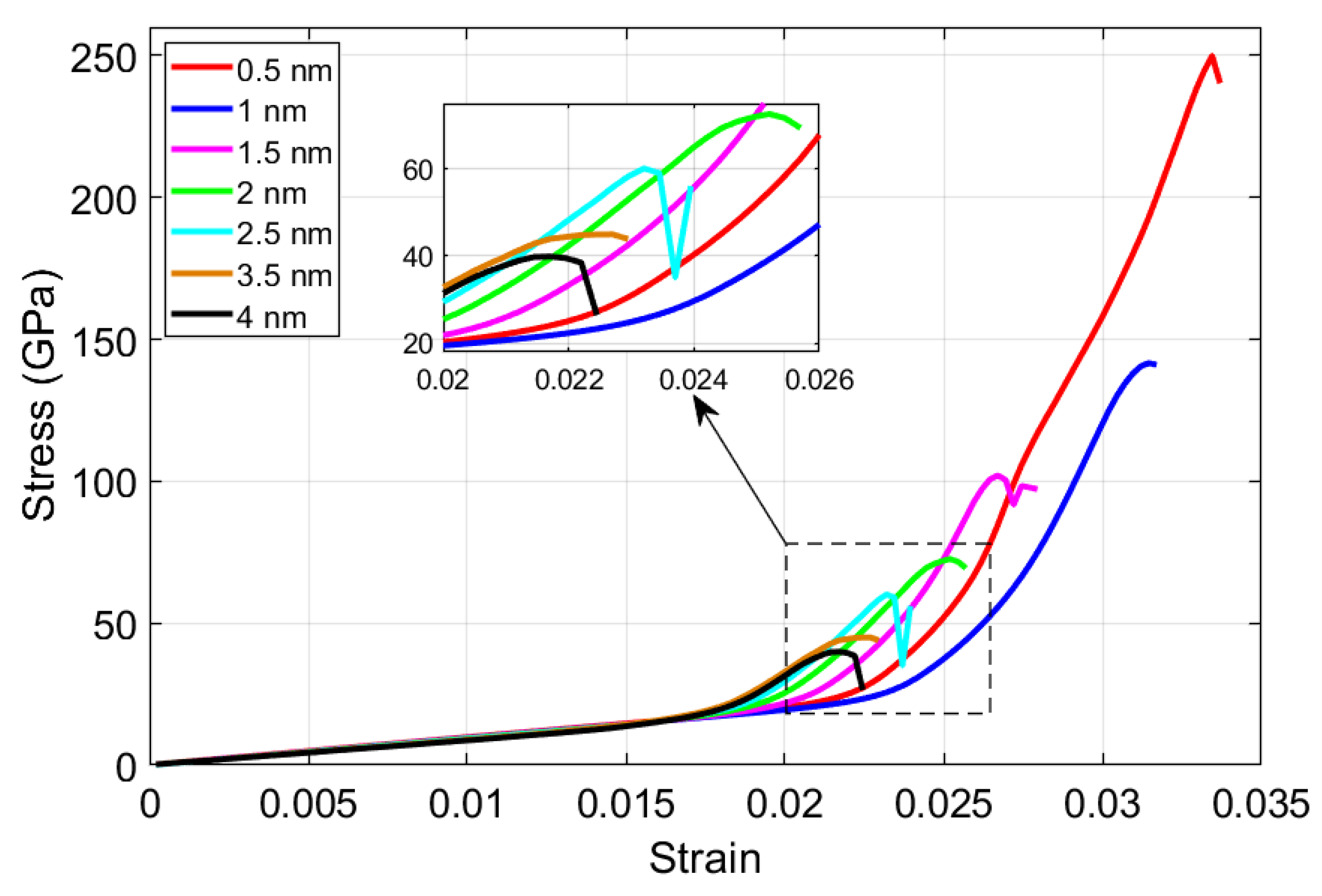
3.2. System Size Effects
3.3. Crack Size Effect
3.4. Fracture Toughness
4. Conclusions
Author Contributions
Funding
Data Availability Statement
Acknowledgments
Conflicts of Interest
References
- Lee, C.; Wei, X.; Kysar, J.W.; Hone, J. Measurement of the elastic properties and intrinsic strength of monolayer graphene. Science 2008, 321, 385–388. [Google Scholar] [CrossRef]
- Huang, Y.; Li, X.; Cui, H.; Zhou, Z. Bi-layer Graphene: Structure, Properties, Preparation and Prospects. Curr. Graphene Sci. 2019, 2, 97–105. [Google Scholar] [CrossRef]
- Carr, S.; Massatt, D.; Fang, S.; Cazeaux, P.; Luskin, M.; Kaxiras, E. Twistronics: Manipulating the electronic properties of two-dimensional layered structures through their twist angle. Phys. Rev. B 2017, 95, 075420. [Google Scholar] [CrossRef] [Green Version]
- Bistritzer, R.; MacDonald, A.H. Moiré bands in twisted double-layer graphene. Proc. Natl. Acad. Sci. USA 2011, 108, 12233–12237. [Google Scholar] [CrossRef] [PubMed] [Green Version]
- Morell, E.S.; Correa, J.; Vargas, P.; Pacheco, M.; Barticevic, Z. Flat bands in slightly twisted bilayer graphene: Tight-binding calculations. Phys. Rev. B 2010, 82, 121407. [Google Scholar] [CrossRef] [Green Version]
- Cao, Y.; Fatemi, V.; Fang, S.; Watanabe, K.; Taniguchi, T.; Kaxiras, E.; Jarillo-Herrero, P. Unconventional superconductivity in magic-angle graphene superlattices. Nature 2018, 556, 43–50. [Google Scholar] [CrossRef]
- Chen, G.; Sharpe, A.L.; Gallagher, P.; Rosen, I.T.; Fox, E.J.; Jiang, L.; Lyu, B.; Li, H.; Watanabe, K.; Taniguchi, T.; et al. Signatures of tunable superconductivity in a trilayer graphene moiré superlattice. Nature 2019, 572, 215–219. [Google Scholar] [CrossRef]
- Lu, X.; Stepanov, P.; Yang, W.; Xie, M.; Aamir, M.A.; Das, I.; Urgell, C.; Watanabe, K.; Taniguchi, T.; Zhang, G.; et al. Superconductors, orbital magnets and correlated states in magic-angle bilayer graphene. Nature 2019, 574, 653–657. [Google Scholar] [CrossRef]
- Uri, A.; Grover, S.; Cao, Y.; Crosse, J.A.; Bagani, K.; Rodan-Legrain, D.; Myasoedov, Y.; Watanabe, K.; Taniguchi, T.; Moon, P.; et al. Mapping the twist-angle disorder and Landau levels in magic-angle graphene. Nature 2020, 581, 47–52. [Google Scholar] [CrossRef]
- Stepanov, P.; Das, I.; Lu, X.; Fahimniya, A.; Watanabe, K.; Taniguchi, T.; Koppens, F.H.; Lischner, J.; Levitov, L.; Efetov, D.K. Untying the insulating and superconducting orders in magic-angle graphene. Nature 2020, 583, 375–378. [Google Scholar] [CrossRef]
- Peng, Q.; Peng, S.; Cao, Q. Ultrahigh Ballistic Resistance of Twisted Bilayer Graphene. Crystals 2021, 11, 206. [Google Scholar] [CrossRef]
- An, L.; Cai, X.; Pei, D.; Huang, M.; Wu, Z.; Zhou, Z.; Lin, J.; Ying, Z.; Ye, Z.; Feng, X.; et al. Interaction effects and superconductivity signatures in twisted double-bilayer WSe 2. Nanoscale Horiz. 2020, 5, 1309–1316. [Google Scholar] [CrossRef] [PubMed]
- Sharpe, A.L.; Fox, E.J.; Barnard, A.W.; Finney, J.; Watanabe, K.; Taniguchi, T.; Kastner, M.; Goldhaber-Gordon, D. Emergent ferromagnetism near three-quarters filling in twisted bilayer graphene. Science 2019, 365, 605–608. [Google Scholar] [CrossRef] [PubMed] [Green Version]
- Hao, Z.; Zimmerman, A.; Ledwith, P.; Khalaf, E.; Najafabadi, D.H.; Watanabe, K.; Taniguchi, T.; Vishwanath, A.; Kim, P. Electric field–tunable superconductivity in alternating-twist magic-angle trilayer graphene. Science 2021, 371, 1133–1138. [Google Scholar] [CrossRef] [PubMed]
- Park, J.M.; Cao, Y.; Watanabe, K.; Taniguchi, T.; Jarillo-Herrero, P. Tunable strongly coupled superconductivity in magic-angle twisted trilayer graphene. Nature 2021, 590, 249–255. [Google Scholar] [CrossRef]
- Morell, E.S.; Pacheco, M.; Chico, L.; Brey, L. Electronic properties of twisted trilayer graphene. Phys. Rev. B 2013, 87, 125414. [Google Scholar] [CrossRef] [Green Version]
- Zhu, Z.; Carr, S.; Massatt, D.; Luskin, M.; Kaxiras, E. Twisted trilayer graphene: A precisely tunable platform for correlated electrons. Phys. Rev. Lett. 2020, 125, 116404. [Google Scholar] [CrossRef]
- Shi, Y.; Xu, S.; Ezzi, M.M.A.; Balakrishnan, N.; Garcia-Ruiz, A.; Tsim, B.; Mullan, C.; Barrier, J.; Xin, N.; Piot, B.A.; et al. Tunable van Hove singularities and correlated states in twisted trilayer graphene. arXiv 2020, arXiv:2004.12414. [Google Scholar]
- Cao, Q.; Geng, X.; Wang, H.; Wang, P.; Liu, A.; Lan, Y.; Peng, Q. A review of current development of graphene mechanics. Crystals 2018, 8, 357. [Google Scholar] [CrossRef] [Green Version]
- Peng, Q.; Chen, X.J.; Ji, W.; De, S. Chemically tuning mechanics of graphene by BN. Adv. Eng. Mater. 2013, 15, 718–727. [Google Scholar] [CrossRef]
- Peng, Q.; Zamiri, A.; Ji, W.; De, S. Elastic Properties of Hybrid Graphene/Boron Nitride Monolayer. Acta Mech. 2012, 223, 2591–2596. [Google Scholar] [CrossRef] [Green Version]
- Peng, Q.; Liang, C.; Ji, W.; De, S. A theoretical analysis of the effect of the hydrogenation of graphene to graphane on its mechanical properties. Phys. Chem. Chem. Phys. 2013, 15, 2003–2011. [Google Scholar] [CrossRef] [PubMed]
- Peng, Q.; De, S. Mechanical properties and instabilities of ordered graphene oxide C6O monolayers. RSC Adv. 2013, 3, 24337–24344. [Google Scholar] [CrossRef]
- Peng, Q.; Meng, F.; Yang, Y.; Lu, C.; Deng, H.; Wang, L.; De, S.; Gao, F. Shockwave generates <100> dislocation loops in bcc iron. Nat. Commun. 2018, 9, 4880. [Google Scholar] [CrossRef]
- Deng, B.; Hou, J.; Zhu, H.; Liu, S.; Liu, E.; Shi, Y.; Peng, Q. The normal-auxeticity mechanical phase transition in graphene. 2D Mater. 2017, 4, 021020. [Google Scholar] [CrossRef]
- Plimpton, S. Fast parallel algorithms for short-range molecular dynamics. J. Comput. Phys. 1995, 117, 1–19. [Google Scholar] [CrossRef] [Green Version]
- Xie, L.; Sun, T.; He, C.; An, H.; Qin, Q.; Peng, Q. Effect of angle, temperature and vacancy defects on mechanical properties of psi-graphene. Crystals 2019, 9, 238. [Google Scholar] [CrossRef] [Green Version]
- Zheng, S.; Cao, Q.; Liu, S.; Peng, Q. Atomic structure and mechanical properties of twisted bilayer graphene. J. Compos. Sci. 2019, 3, 2. [Google Scholar] [CrossRef] [Green Version]
- Zhang, X.; Zhang, J.; Yang, M. Molecular dynamics study on the thermal conductivity of bilayer graphene with nitrogen doping. Solid State Commun. 2020, 309, 113845. [Google Scholar] [CrossRef]
- Zhang, X.; Chen, Z.; Chen, H.; Xu, L. Comparative studies of thermal conductivity for bilayer graphene with different potential functions in molecular dynamic simulations. Res. Phys. 2021, 22, 103894. [Google Scholar] [CrossRef]
- Guinea, F.; Walet, N.R. Continuum models for twisted bilayer graphene: Effect of lattice deformation and hopping parameters. Phys. Rev. B 2019, 99, 205134. [Google Scholar] [CrossRef] [Green Version]
- Mattsson, T.; Lane, J.M.D.; Cochrane, K.; Desjarlais, M.; Thompson, A.; Pierce, F.; Grest, G. First-principles and classical molecular dynamics simulation of shocked polymers. Phys. Rev. B 2010, 81, 054103. [Google Scholar] [CrossRef]
- Peng, Q.; Chen, Z.; De, S. A Density Functional Theory Study of the Mechanical Properties of Graphane with van der Waals Corrections. Mech. Adv. Mater. Struct. 2015, 22, 717–721. [Google Scholar] [CrossRef]
- Peng, Q.; Wang, G.; Liu, G.; De, S. Van der Waals Density Functional Theory vdW-DFq for Semihard Materials. Crystals 2019, 9, 243. [Google Scholar] [CrossRef] [Green Version]
- O’Connor, T.; Andzelm, J.; Robbins, M. AIREBO-M: A reactive model for hydrocarbons at extreme pressures. J. Chem. Phys. 2015, 142, 024903. [Google Scholar] [CrossRef] [PubMed]
- Brenner, D.; Shenderova, O.; Harrison, J.; Stuart, S.; Ni, B.; Sinnott, S. A Second-Generation Reactive Empirical Bond Order (REBO) Potential Energy Expression for Hydrocarbons. J. Phys. Condens. Matter 2002, 14, 783–802. [Google Scholar] [CrossRef]
- Hou, J.; Deng, B.; Zhu, H.; Lan, Y.; Shi, Y.; De, S.; Liu, L.; Chakraborty, P.; Gao, F.; Peng, Q. Magic auxeticity angle of graphene. Carbon 2019, 149, 350–354. [Google Scholar] [CrossRef] [Green Version]
- Liu, A.; Peng, Q. A molecular dynamics study of the mechanical properties of twisted bilayer graphene. Micromachines 2018, 9, 440. [Google Scholar] [CrossRef] [Green Version]
- Wang, M.; Yan, C.; Ma, L.; Hu, N.; Chen, M. Effect of defects on fracture strength of graphene sheets. Comput. Mater. Sci. 2012, 54, 236–239. [Google Scholar] [CrossRef] [Green Version]
- Chai, P.; Li, S.; Li, Y.; Liang, L.; Yin, X. Mechanical Behavior Investigation of 4H-SiC Single Crystal at the Micro–Nano Scale. Micromachines 2020, 11, 102. [Google Scholar] [CrossRef] [Green Version]
- Han, C.C.; He, P.F.; Zheng, B.l. Numerical Simulation of the Effect of Crack on the Tensile Mechanical Properties of Graphene. In Proceedings of the 2012 Third International Conference on Digital Manufacturing Automation, Guilin, China, 31 July–2 August 2012; pp. 562–565. [Google Scholar] [CrossRef]
- Datta, D.; Nadimpalli, S.; Li, Y.; Shenoy, V. Effect of crack length and orientation on the mixed-mode fracture behavior of graphene. Extrem. Mech. Lett. 2015, 5, 10–17. [Google Scholar] [CrossRef]
- Cartwright, D.; Rooke, D. Evaluation of stress intensity factors. J. Strain Anal. 1975, 10, 217–224. [Google Scholar] [CrossRef]
- Liu, M.; Gan, Y.; Hanaor, D.; Liu, B.; Chen, C. An improved semi-analytical solution for stress at round-tip notches. Eng. Fract. Mech. 2015, 149, 134–143. [Google Scholar] [CrossRef]
- Yu, Y.; Wang, B.; Lee, Y.; Bauchy, M. Fracture Toughness of Silicate Glasses: Insights from Molecular Dynamics Simulations. MRS Proc. 2015, 1757, 47–58. [Google Scholar] [CrossRef] [Green Version]
- Zhang, P.; Ma, L.; Fan, F.; Zeng, Z.; Peng, C.; Loya, P.E.; Liu, Z.; Gong, Y.; Zhang, J.; Zhang, X.; et al. Fracture toughness of graphene. Nat. Commun. 2014, 5, 3782. [Google Scholar] [CrossRef] [Green Version]
- Deng, S.; Berry, V. Wrinkled, rippled and crumpled graphene: An overview of formation mechanism, electronic properties, and applications. Mater. Today 2015, 19, 197–212. [Google Scholar] [CrossRef]
- Shen, X.; Lin, X.; Yousefi, N.; Jia, J.; Kim, J.K. Wrinkling in graphene sheets and graphene oxide papers. Carbon 2014, 66, 84–92. [Google Scholar] [CrossRef]
- Pacakova, B.; Verhagen, T.; Bousa, M.; Hübner, U.; Vejpravova, J.; Kalbác, M.; Frank, O. Mastering the Wrinkling of Self-supported Graphene. Sci. Rep. 2017, 7, 10003. [Google Scholar] [CrossRef]
- Zhao, C.; Liu, F.; Kong, X.; Yan, T.; Ding, F. The wrinkle formation in graphene on transition metal substrate: A molecular dynamics study. Int. J. Smart Nano Mater. 2020, 11, 277–287. [Google Scholar] [CrossRef]
- Wang, C.; Lan, L.; Tan, H. The physics of wrinkling in graphene membranes under local tension. Phys. Chem. Chem. Phys. 2013, 15, 2764–2773. [Google Scholar] [CrossRef]
- Wang, C.; Liu, Y.; Lan, L.; Tan, H. Graphene wrinkling: Formation, evolution and collapse. Nanoscale 2013, 5, 4454–4461. [Google Scholar] [CrossRef] [PubMed]
- Thiemann, F.L.; Rowe, P.; Zen, A.; Müller, E.A.; Michaelides, A. Defect-Dependent Corrugation in Graphene. Nano Lett. 2021, in press. [Google Scholar] [CrossRef] [PubMed]
- Rossi, A.; Piccinin, S.; Pellegrini, V.; de Gironcoli, S.; Tozzini, V. Nano-Scale Corrugations in Graphene: A Density Functional Theory Study of Structure, Electronic Properties and Hydrogenation. J. Phys. Chem. C 2015, 119, 7900–7910. [Google Scholar] [CrossRef]
- Ho, S.C.; Chang, C.H.; Hsieh, Y.C.; Lo, S.T.; Huang, B.; Vu, T.H.Y.; Ortix, C.; Chen, T.M. Hall effects in artificially corrugated bilayer graphene without breaking time-reversal symmetry. Nat. Electron. 2021, 4, 116–125. [Google Scholar] [CrossRef]
- Zhang, Y.; Wang, C.; Cheng, Y.; Xiang, Y. Mechanical properties of bilayer graphene sheets coupled by sp3 bonding. Carbon 2011, 49, 4511–4517. [Google Scholar] [CrossRef]
- Mirparizi, M.; Aski, F. Interlayer shear effect on vibrational behavior of bilayer graphene using the molecular mechanics simulation. Propuls. Power Res. 2016, 5, 250–260. [Google Scholar] [CrossRef] [Green Version]










Publisher’s Note: MDPI stays neutral with regard to jurisdictional claims in published maps and institutional affiliations. |
© 2021 by the authors. Licensee MDPI, Basel, Switzerland. This article is an open access article distributed under the terms and conditions of the Creative Commons Attribution (CC BY) license (https://creativecommons.org/licenses/by/4.0/).
Share and Cite
Shoaib, H.; Peng, Q.; Alsayoud, A.Q. Atomic Insights into Fracture Characteristics of Twisted Tri-Layer Graphene. Crystals 2021, 11, 1202. https://doi.org/10.3390/cryst11101202
Shoaib H, Peng Q, Alsayoud AQ. Atomic Insights into Fracture Characteristics of Twisted Tri-Layer Graphene. Crystals. 2021; 11(10):1202. https://doi.org/10.3390/cryst11101202
Chicago/Turabian StyleShoaib, Hassan, Qing Peng, and Abduljabar Q. Alsayoud. 2021. "Atomic Insights into Fracture Characteristics of Twisted Tri-Layer Graphene" Crystals 11, no. 10: 1202. https://doi.org/10.3390/cryst11101202
APA StyleShoaib, H., Peng, Q., & Alsayoud, A. Q. (2021). Atomic Insights into Fracture Characteristics of Twisted Tri-Layer Graphene. Crystals, 11(10), 1202. https://doi.org/10.3390/cryst11101202

