Crystal Growth by the Floating Zone Method of Ce-Substituted Crystals of the Topological Kondo Insulator SmB6
Abstract
1. Introduction
2. Materials and Methods
3. Results and Discussion
3.1. Crystal Growth
3.2. Structural and Composition Analysis
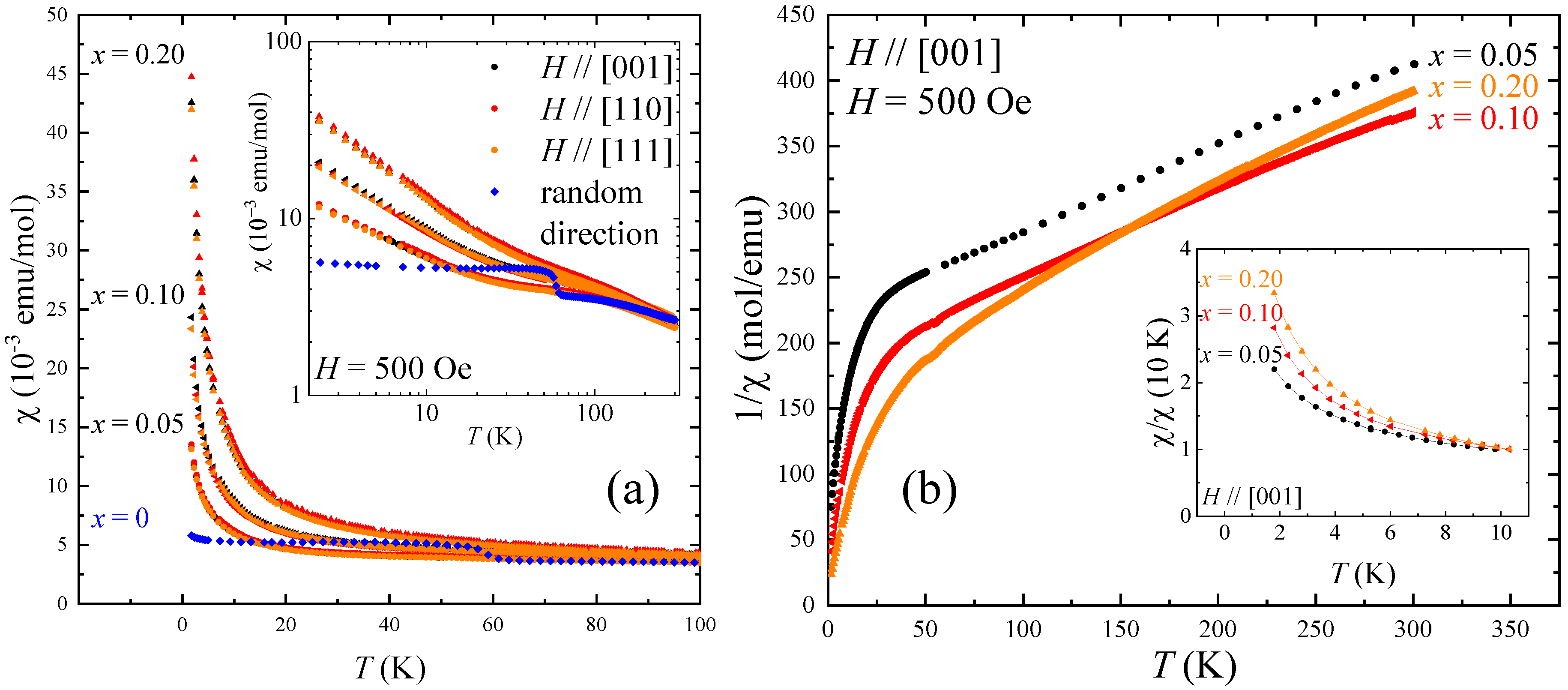
3.3. Magnetisation
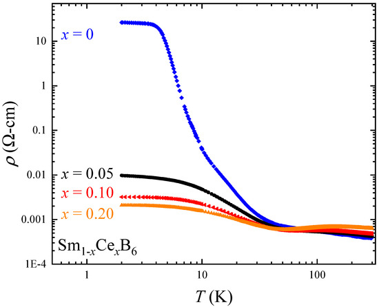
3.4. Resistivity
4. Conclusions
Author Contributions
Funding
Acknowledgments
Conflicts of Interest
Abbreviations
| RE | Rare earth |
| TKI | Topological Kondo insulator |
| FZ | Floating zone |
| EDX | Energy dispersive X-ray spectroscopy |
| XPS | X-ray photoelectron spectroscopy |
| ac | Alternating current |
| ZFCW | Zero-field-cooled warming |
| FCC | Field-cooled cooling |
References
- Matthias, B.T.; Geballe, T.H.; Andres, K.; Corenzwit, E.; Hull, G.W.; Maita, J.P. Superconductivity and Antiferromagnetism in Boron-Rich Lattices. Science 1968, 159, 530. [Google Scholar] [CrossRef]
- Lortz, R.; Wang, Y.; Tutsch, U.; Abe, S.; Meingast, C.; Popovich, P.; Knafo, W.; Shitsevalova, N.; Paderno, Y.B.; Junod, A. Superconductivity mediated by a soft phonon mode: Specific heat, resistivity, thermal expansion, and magnetization of YB6. Phys. Rev. B 2006, 73, 024512. [Google Scholar] [CrossRef]
- Flachbart, K.; Gabáni, S.; Kačmarčik, J.; Mori, T.; Otani, S.; Pavlík, V. Low Temperature Properties and Superconductivity of YB6 and YB4. AIP Conf. Proc. 2006, 850, 635. [Google Scholar]
- Coles, B.R.; Griffiths, D. Antiferromagnetic behaviour of GdB6. Proc. Phys. Soc. (1958–1967) 1961, 77, 213–215. [Google Scholar] [CrossRef]
- Nozaki, H.; Tanaka, T.; Ishizawa, Y. Magnetic behaviour and structure change of GdB6 single crystals at low temperatures. J. Phys. C Solid State Phys. 1980, 13, 2751. [Google Scholar] [CrossRef]
- Semeno, A.V.; Gil’manov, M.I.; Sluchanko, N.E.; Shitsevalova, N.Y.; Filipov, V.B.; Demishev, S.V. Antiferromagnetic Resonance in GdB6. JETP Lett. 2018, 108, 237–242. [Google Scholar] [CrossRef]
- Fujita, T.; Suzuki, M.; Komatsubara, T.; Kunii, S.; Kasuya, T.; Ohtsuka, T. Anomalous specific heat of CeB6. Solid State Commun. 1980, 35, 569–572. [Google Scholar] [CrossRef]
- Takase, A.; Kojima, K.; Komatsubara, T.; Kasuya, T. Electrical resistivity and magnetoresistance of CeB6 single crystal. Solid State Commun. 1980, 36, 461–464. [Google Scholar] [CrossRef]
- Friemel, G.; Li, Y.; Dukhnenko, A.; Shitsevalova, N.Y.; Sluchanko, N.E.; Ivanov, A.; Filipov, V.B.; Keimer, B.; Inosov, D.S. Resonant magnetic exciton mode in the heavy-fermion antiferromagnet CeB6. Nat. Commun. 2012, 3, 830. [Google Scholar] [CrossRef]
- Koitzsch, A.; Heming, N.; Knupfer, M.; Büchner, B.; Portnichenko, P.Y.; Dukhnenko, A.V.; Shitsevalova, N.Y.; Filipov, V.B.; Lev, L.L.; Strocov, V.N.; et al. Nesting-driven multipolar order in CeB6 from photoemission tomography. Nat. Commun. 2016, 7, 10876. [Google Scholar] [CrossRef]
- Guy, C.N.; von Molnar, S.; Etourneau, J.; Fisk, Z. Charge transport and pressure dependence of Tc of single crystal, ferromagnetic EuB6. Solid State Commun. 1980, 33, 1055–1058. [Google Scholar] [CrossRef][Green Version]
- Goodrich, R.G.; Harrison, N.; Vuillemin, J.J.; Teklu, A.; Hall, D.W.; Fisk, Z.; Young, D.; Sarrao, J. Fermi surface of ferromagnetic EuB6. Phys. Rev. B 1998, 58, 14896–14902. [Google Scholar] [CrossRef]
- Nie, S.; Sun, Y.; Prinz, F.B.; Wang, Z.; Weng, H.; Fang, Z.; Dai, X. Magnetic semimetals and quantized anomalous Hall effect in EuB6. Phys. Rev. Lett. 2020, 124, 076403. [Google Scholar] [CrossRef] [PubMed]
- Arko, A.J.; Crabtree, G.; Karim, D.; Mueller, F.M.; Windmiller, L.R.; Ketterson, J.B.; Fisk, Z. de Haas-van Alphen effect and the Fermi surface of LaB6. Phys. Rev. B 1977, 13, 5240–5247. [Google Scholar] [CrossRef]
- Bai, L.; Ma, N.; Liu, F. Structure and chemical bond characteristics of LaB6. Phys. B Condens. Matter 2009, 404, 4086–4089. [Google Scholar] [CrossRef]
- Kasai, H.; Nishibori, E. Spatial distribution of electrons near the Fermi level in the metallic LaB6 through accurate X-ray charge density study. Sci. Rep. 2017, 7, 41375. [Google Scholar] [CrossRef] [PubMed]
- Wolgast, S.; Kurdak, Ç.; Sun, K.; Allen, J.W.; Kim, D.J.; Fisk, Z. Low-temperature surface conduction in the Kondo insulator SmB6. Phys. Rev. B 2013, 88, 180405(R). [Google Scholar] [CrossRef]
- Kim, D.J.; Xia, J.; Fisk, Z. Topological surface state in the Kondo insulator samarium hexaboride. Nat. Mater. 2014, 13, 466–470. [Google Scholar] [CrossRef]
- Tan, B.S.; Hsu, Y.T.; Zeng, B.; Ciomaga Hatnean, M.; Harrison, N.; Zhu, Z.; Hartstein, M.; Kiourlappou, M.; Srivastava, A.; Johannes, M.D.; et al. Unconventional Fermi surface in an insulating state. Science 2015, 349, 287–290. [Google Scholar] [CrossRef] [PubMed]
- Stackelberg, M.; Neumann, F. Die kristallstruktur der boride der zusammensetzung MeB6. Zeitschrift für Physikalische Chemie 1932, B19, 314. [Google Scholar]
- Aivazov, M.I.; Aleksandrovich, S.V.; Mkrtchyan, V.S. Magnetic susceptibility of CexLa1−xB6, CexEu1−xB6, SmxLa1−xB6, and SmxCe1−xB6 solid solutions. Phys. Status Solidi 1980, 62, 109–114. [Google Scholar] [CrossRef]
- Funahashi, S.; Tanaka, K.; Iga, F. X-ray atomic orbital analysis of 4f and 5d electron configuration of SmB6 at 100, 165, 230 and 298 K. Acta Crystallogr. Sect. B Struct. Sci. 2010, 66, 292–306. [Google Scholar] [CrossRef] [PubMed]
- Aeppli, G.; Fisk, Z. Kondo insulators. Comments Condens. Matter Phys. 1992, 16, 155–165. [Google Scholar]
- Riseborough, P.S. Heavy fermion semiconductors. Adv. Phys. 2000, 49, 257–320. [Google Scholar] [CrossRef]
- Fu, L.; Kane, C.L.; Mele, E.J. Topological insulators in three dimensions. Phys. Rev. Lett. 2007, 98, 106803. [Google Scholar] [CrossRef] [PubMed]
- Moore, J.E.; Balents, L. Topological invariants of time-reversal-invariant band structures. Phys. Rev. B 2007, 75, 121306(R). [Google Scholar] [CrossRef]
- Roy, R. Topological phases and the quantum spin Hall effect in three dimensions. Phys. Rev. B 2009, 79, 195322. [Google Scholar] [CrossRef]
- Dzero, M.; Sun, K.; Galitski, V.; Coleman, P. Topological Kondo insulators. Phys. Rev. Lett. 2010, 104, 106408. [Google Scholar] [CrossRef]
- Takimoto, T. SmB6: A promising candidate for a topological insulator. J. Phys. Soc. Jpn. 2011, 80, 123710. [Google Scholar] [CrossRef]
- Dzero, M.; Sun, K.; Coleman, P.; Galitski, V. Theory of topological Kondo insulators. Phys. Rev. B 2012, 85, 045130. [Google Scholar] [CrossRef]
- Neupane, M.; Alidoust, N.; Xu, S.Y.; Kondo, T.; Ishida, Y.; Kim, D.J.; Liu, C.; Belopolski, I.; Jo, Y.J.; Chang, T.R.; et al. Surface electronic structure of the topological Kondo-insulator candidate correlated electron system SmB6. Nat. Commun. 2013, 4, 2991. [Google Scholar] [CrossRef] [PubMed]
- Hlawenka, P.; Siemensmeyer, K.; Weschke, E.; Varykhalov, A.; Sánchez-Barriga, J.; Shitsevalova, N.Y.; Dukhnenko, A.V.; Filipov, V.B.; Gabáni, S.; Flachbart, K.; et al. Samarium hexaboride is a trivial surface conductor. Nat. Commun. 2018, 9, 517. [Google Scholar] [CrossRef] [PubMed]
- Menth, A.; Buehler, E.; Geballe, T.H. Magnetic and semiconducting properties of SmB6. Phys. Rev. Lett. 1969, 22, 295–297. [Google Scholar] [CrossRef]
- Allen, J.W.; Batlogg, B.; Wachter, P. Large low-temperature Hall effect and resistivity in mixed-valent SmB6. Phys. Rev. B 1979, 20, 4807–4813. [Google Scholar] [CrossRef]
- Cooley, J.C.; Aronson, M.C.; Fisk, Z.; Canfield, P.C. SmB6: Kondo insulator or exotic metal? Phys. Rev. Lett. 1995, 74, 1629–1632. [Google Scholar] [CrossRef] [PubMed]
- Phelan, W.; Koohpayeh, S.; Cottingham, P.; Freeland, J.; Leiner, J.; Broholm, C.; McQueen, T. Correlation between bulk thermodynamic measurements and the low-temperature-resistance plateau in SmB6. Phys. Rev. X 2014, 4, 031012. [Google Scholar]
- Kasuya, T.; Takegahara, K.; Fujita, T.; Tanaka, T.; Bannai, E. Valence fluctuating state in SmB6. J. Phys. Colloq. 1979, 40, 308–313. [Google Scholar] [CrossRef][Green Version]
- Kasuya, T. Mixed-salence state in SmB6. Europhys. Lett. (EPL) 1994, 26, 283–287. [Google Scholar] [CrossRef]
- Flachbart, K.; Gabáni, S.; Herrmannsdörfer, T.; Konovalova, E.; Paderno, Y.; Pavlík, V. Low-temperature magnetic properties of SmB6. Phys. B Condens. Matter 2000, 284–288, 1353–1354. [Google Scholar] [CrossRef]
- Gheidi, S.; Akintola, K.; Akella, K.S.; Côté, A.M.; Dunsiger, S.R.; Broholm, C.; Fuhrman, W.T.; Saha, S.R.; Paglione, J.; Sonier, J.E. Intrinsic Low-Temperature Magnetism in SmB6. Phys. Rev. Lett. 2019, 123, 197203. [Google Scholar] [CrossRef]
- Chazalviel, J.N.; Campagna, M.; Wertheim, G.K.; Schmidt, P.H.; Longinotti, L.D. Electronic structure of SmB6 and related rare-earth borides by x-ray photoelectron spectroscopy. Physica B+C 1977, 86–88, 237–238. [Google Scholar] [CrossRef]
- Barla, A.; Derr, J.; Sanchez, J.P.; Salce, B.; Lapertot, G.; Doyle, B.P.; Rüffer, R.; Lengsdorf, R.; Abd-Elmeguid, M.M.; Flouquet, J. High-Pressure Ground State of SmB6: Electronic Conduction and Long Range Magnetic Order. Phys. Rev. Lett. 2005, 94, 166401. [Google Scholar] [CrossRef] [PubMed]
- Miyazaki, H.; Hajiri, T.; Ito, T.; Kunii, S.; Kimura, S.I. Momentum-dependent hybridization gap and dispersive in-gap state of the Kondo semiconductor SmB6. Phys. Rev. B 2012, 86, 075105. [Google Scholar] [CrossRef]
- Hall, D.; Fisk, Z.; Goodrich, R.G. Magnetic-field dependence of the paramagnetic to the high-temperature magnetically ordered phase transition in CeB6. Phys. Rev. B 2000, 62, 84–86. [Google Scholar] [CrossRef]
- Goodrich, R.G.; Young, D.P.; Hall, D.; Balicas, L.; Fisk, Z.; Harrison, N.; Betts, J.; Migliori, A.; Woodward, F.M.; Lynn, J.W. Extension of the temperature-magnetic field phase diagram of CeB6. Phys. Rev. B 2004, 69, 054415. [Google Scholar] [CrossRef]
- Terzioglu, C.; Ozturk, O.; Kilic, A.; Goodrich, R.; Fisk, Z. Magnetic and electronic measurements in CeB6. J. Magn. Magn. Mater. 2006, 298, 33–37. [Google Scholar] [CrossRef]
- Portnichenko, P.; Akbari, A.; Nikitin, S.; Cameron, A.; Dukhnenko, A.; Filipov, V.; Shitsevalova, N.; Čermák, P.; Radelytskyi, I.; Schneidewind, A.; et al. Field-Angle-Resolved Magnetic Excitations as a Probe of Hidden-Order Symmetry in CeB6. Phys. Rev. X 2020, 10, 021010. [Google Scholar] [CrossRef]
- Hartstein, M.; Toews, W.H.; Hsu, Y.T.; Zeng, B.; Chen, X.; Ciomaga Hatnean, M.; Zhang, Q.R.; Nakamura, S.; Padgett, A.S.; Rodway-Gant, G.; et al. Fermi surface in the absence of a Fermi liquid in the Kondo insulator SmB6. Nat. Phys. 2018, 14, 166–172. [Google Scholar] [CrossRef]
- Aivazov, M.I.; Aleksandrovich, S.V.; Evseev, B. Physical properties of solid solutions SmxCe1−xB6. Inorg. Mater. 1980, 16, 300–303. [Google Scholar]
- Kasaya, M.; Tarascon, J.M.; Etourneau, J. Study of the valence transition in La- and Yb-substituted SmB6. Solid State Commun. 1980, 33, 1005–1007. [Google Scholar] [CrossRef]
- Liu, B.; Kasaya, M.; Iga, F.; Kasuya, T. Kondo effect in Sm1−yYbyB6 and Tm1/2Yb1/2B6. J. Magn. Magn. Mater. 1985, 47-48, 472–474. [Google Scholar] [CrossRef]
- Yeo, S.; Song, K.; Hur, N.; Fisk, Z.; Schlottmann, P. Effects of Eu doping on SmB6 single crystals. Phys. Rev. B 2012, 85, 115125. [Google Scholar] [CrossRef]
- Gabáni, S.; Flachbart, K.; Bednarčík, J.; Welter, E.; Filipov, V.; Shitsevalova, N. Investigation of Mixed Valence State of Sm1−xB6 and Sm1−xLaxB6 by XANES. Acta Phys. Pol. A 2014, 126, 292–306. [Google Scholar] [CrossRef]
- Miao, L.; Min, C.H.; Xu, Y.; Huang, Z.; Kotta, E.C.; Basak, R.; Song, M.S.; Kang, B.Y.; Cho, B.K.; Kißner, K.; et al. Robust surface states and coherence phenomena in magnetically alloyed SmB6. arXiv 2020, arXiv:1907.07074v2. [Google Scholar]
- Otani, S.; Nakagawa, H.; Nishi, Y.; Kieda, N. Floating zone growth and high temperature hardness of rare-earth hexaboride crystals: LaB6, CeB6, PrB6, NdB6, and SmB6. J. Solid State Chem. 2000, 154, 238–241. [Google Scholar] [CrossRef]
- Balakrishnan, G.; Lees, M.R.; Paul, D.M. Growth of large single crystals of rare earth hexaborides. J. Cryst. Growth 2003, 256, 206–209. [Google Scholar] [CrossRef][Green Version]
- Ciomaga Hatnean, M.; Lees, M.R.; Paul, D.M.; Balakrishnan, G. Large, high quality single-crystals of the new Topological Kondo Insulator, SmB6. Sci. Rep. 2013, 3, 3071. [Google Scholar] [CrossRef]
- Thomas, S.M.; Ding, X.; Ronning, F.; Zapf, V.; Thompson, J.D.; Fisk, Z.; Xia, J.; Rosa, P.F.S. Quantum oscillations in flux-grown SmB6 with embedded aluminum. Phys. Rev. Lett. 2019, 122, 166401. [Google Scholar] [CrossRef]
- Rodríguez-Carvajal, J. Recent advances in magnetic structure determination by neutron powder diffraction. Physica B 1993, 192, 55–69. [Google Scholar] [CrossRef]
- Newnham, R.E.; Redman, M.J.; Santoro, R.P. Crystal Structure of yttrium and other rare-earth borates. J. Am. Ceram. Soc. 1963, 46, 253–256. [Google Scholar] [CrossRef]
- Vegard, L. Die konstitution der mischkristalle und die raumfüllung der atome. Z. Phys. 1921, 5, 17–26. [Google Scholar] [CrossRef]
- Tarascon, J.; Isikawa, Y.; Chevalier, B.; Etoumeau, J.; Hagenmuller, P.; Kasaya, M. Valence transition of samarium in hexaboride solid solutions Sm1−xMxB6 (M = Yb2+, Sr2+, La3+, Y3+, Th4+). J. Phys. 1980, 41, 1135–1140. [Google Scholar] [CrossRef]
- Shannon, R.D. Revised effective ionic radii and systematic studies of interatomic distances in halides and chalcogenides. Acta Crystallogr. Sect. A 1976, 32, 751–767. [Google Scholar] [CrossRef]
- Jia, Y.Q. Crystal radii and effective ionic radii of the rare earth ions. J. Solid State Chem. 1991, 95, 184–187. [Google Scholar] [CrossRef]
- Konovalova, E.S.; Paderno, Y.B.; Lundstrem, T.; Finkel’shtein, L.D.; Efremova, N.N.; Dudnik, E.M. Effect of vacancies and foreign metal ions on the valent state of samarium in SmB6. Sov. Powder Metall. Met. Ceram. 1982, 21, 820–823. [Google Scholar] [CrossRef]
- Chazalviel, J.N.; Campagna, M.; Wertheim, G.K.; Schmidt, P.H. Study of valence mixing in SmB6 by x-ray photoelectron spectroscopy. Phys. Rev. B 1976, 14, 4586–4592. [Google Scholar] [CrossRef]
- Heming, N.; Treske, U.; Knupfer, M.; Büchner, B.; Inosov, D.S.; Shitsevalova, N.Y.; Filipov, V.B.; Krause, S.; Koitzsch, A. Surface properties of SmB6 from x-ray photoelectron spectroscopy. Phys. Rev. B 2014, 90, 195128. [Google Scholar] [CrossRef]
- Mizumaki, M.; Tsutsui, S.; Iga, F. Temperature dependence of Sm valence in SmB6 studied by X-ray absorption spectroscopy. J. Phys. Conf. Ser. 2009, 176, 012034. [Google Scholar] [CrossRef]
- Emi, N.; Mito, T.; Kawamura, N.; Mizumaki, M.; Ishimatsu, N.; Pristáš, G.; Kagayama, T.; Shimizu, K.; Osanai, Y.; Iga, F. Temperature and pressure dependences of Sm valence in intermediate valence compound SmB6. Phys. B Condens. Matter 2018, 536, 197–199. [Google Scholar] [CrossRef]
- Savchenkov, P.S.; Alekseev, P.A.; Podlesnyak, A.; Kolesnikov, A.I.; Nemkovski, K.S. Intermediate-valence state of the Sm and Eu in SmB6 and EuCu2Si2: Neutron spectroscopy data and analysis. J. Phys. Condens. Matter 2018, 30, 055801. [Google Scholar] [CrossRef]
- Paparazzo, E. On the curve-fitting of XPS Ce(3d) spectra of cerium oxides. Mater. Res. Bull. 2011, 46, 323–326. [Google Scholar] [CrossRef]
- Revoy, M.N.; Scott, R.W.J.; Grosvenor, A.P. Ceria nanocubes: Dependence of the electronic structure on synthetic and experimental conditions. J. Phys. Chem. C 2013, 117, 10095–10105. [Google Scholar] [CrossRef]
- Gabáni, S.; Flachbart, K.; Pavlík, V.; Herrmannsdorfer, T.; Konovalova, E.; Paderno, Y.; Briančin, J.; Trpčevská, J. Magnetic properties of Sm1−xB6 and Sm1−xLaxB6 solid solutions. Czechoslov. J. Phys. 2002, 52, A225–A228. [Google Scholar] [CrossRef]
- Nickerson, J.C.; White, R.M.; Lee, K.N.; Bachmann, R.; Geballe, T.H.; Hull, G.W. Physical properties of SmB6. Phys. Rev. B 1971, 3, 2030–2042. [Google Scholar] [CrossRef]
- Tanaka, T.; Nishitani, R.; Oshima, C.; Bannai, E.; Kawai, S. The preparation and properties of CeB6, SmB6, and GdB6. J. Appl. Phys. 1980, 51, 3877. [Google Scholar] [CrossRef]
- Ciomaga Hatnean, M.; Lees, M.R.; Ahmad, T.; Balakrishnan, G. University of Warwick: Coventry, UK, 2020; in preparation.





| SmCeB | Chemical Composition | a | Study | |
|---|---|---|---|---|
| x | y | (Å) | ||
| SmB | 0 | 0 | 4.1340(2) | Present work |
| SmCeB | 0.05 | 0 | 4.1351(2) | Present work |
| SmCeB | 0.10 | 0 | 4.1384(2) | Present work |
| SmCeB | 0.11 | 0.1 | 4.1358 | Ref. [21] |
| SmCeB | 0.20 | 0 | 4.1393(2) | Present work |
| SmCeB | 0.22 | 0.3 | 4.1378 | Ref. [21] |
| SmCeB | 0.34 | 0.1 | 4.1399 | Ref. [21] |
| SmCeB | 0.38 | 0.3 | 4.1403 | Ref. [21] |
| SmCeB | 0.50 | 0 | 4.1418 | Ref. [21] |
| SmCeB | 0.65 | 0.3 | 4.1421 | Ref. [21] |
| SmCeB | 0.75 | 0.1 | 4.1424 | Ref. [21] |
| SmCeB | 0.82 | 0 | 4.1418 | Ref. [21] |
| SmCeB | 0.92 | 0 | 4.1412 | Ref. [21] |
| CeB | 1.00 | 0 | 4.1407(1) | Present work |
| Chemical Composition | Sm:B Ratio | Sm:B Ratio | Sm Valence | |
|---|---|---|---|---|
| Present Work | Literature | |||
| (EDX) | (XPS) | (XPS) | (Refs. [37,41]) | |
| SmB | 1.00(2):5.50(2) | 1.00(3):6.4(3) | +2.80(2) | ∼2.6–2.7 |
| SmB cleaved | - | 1:00(3):7.30(3) | +2.72(2) | |
| x | x | Sm valence | ||
| (EDX) | (XPS) | (XPS) | ||
| SmCeB | 0.07(2) | 0.09(3) | +2.86(2) | |
| SmCeB | 0.11(2) | 0.14(3) | +2.86(2) | |
| SmCeB | 0.21(2) | 0.23(3) | +2.85(2) | |
© 2020 by the authors. Licensee MDPI, Basel, Switzerland. This article is an open access article distributed under the terms and conditions of the Creative Commons Attribution (CC BY) license (http://creativecommons.org/licenses/by/4.0/).
Share and Cite
Ciomaga Hatnean, M.; Ahmad, T.; Walker, M.; Lees, M.R.; Balakrishnan, G. Crystal Growth by the Floating Zone Method of Ce-Substituted Crystals of the Topological Kondo Insulator SmB6. Crystals 2020, 10, 827. https://doi.org/10.3390/cryst10090827
Ciomaga Hatnean M, Ahmad T, Walker M, Lees MR, Balakrishnan G. Crystal Growth by the Floating Zone Method of Ce-Substituted Crystals of the Topological Kondo Insulator SmB6. Crystals. 2020; 10(9):827. https://doi.org/10.3390/cryst10090827
Chicago/Turabian StyleCiomaga Hatnean, Monica, Talha Ahmad, Marc Walker, Martin R. Lees, and Geetha Balakrishnan. 2020. "Crystal Growth by the Floating Zone Method of Ce-Substituted Crystals of the Topological Kondo Insulator SmB6" Crystals 10, no. 9: 827. https://doi.org/10.3390/cryst10090827
APA StyleCiomaga Hatnean, M., Ahmad, T., Walker, M., Lees, M. R., & Balakrishnan, G. (2020). Crystal Growth by the Floating Zone Method of Ce-Substituted Crystals of the Topological Kondo Insulator SmB6. Crystals, 10(9), 827. https://doi.org/10.3390/cryst10090827

