Effects of Highly Crystalized Nano C-S-H Particles on Performances of Portland Cement Paste and Its Mechanism
Abstract
1. Introduction
2. Materials and Methods
2.1. Materials
2.1.1. Cement
2.1.2. Synthesis of Nano C-S-H
2.1.3. Water
2.2. Sample Preparation
2.3. Methods
2.3.1. Setting Time
2.3.2. Compressive Strength
2.3.3. Hydration Heat
2.3.4. XRD
2.3.5. TG-DTA
2.3.6. SEM
3. Results and Discussion
3.1. Influence of Nano C-S-H on the Setting Time of Cement Paste
3.2. Influence of Nano C-S-H on the Compressive Strength of Cement Paste
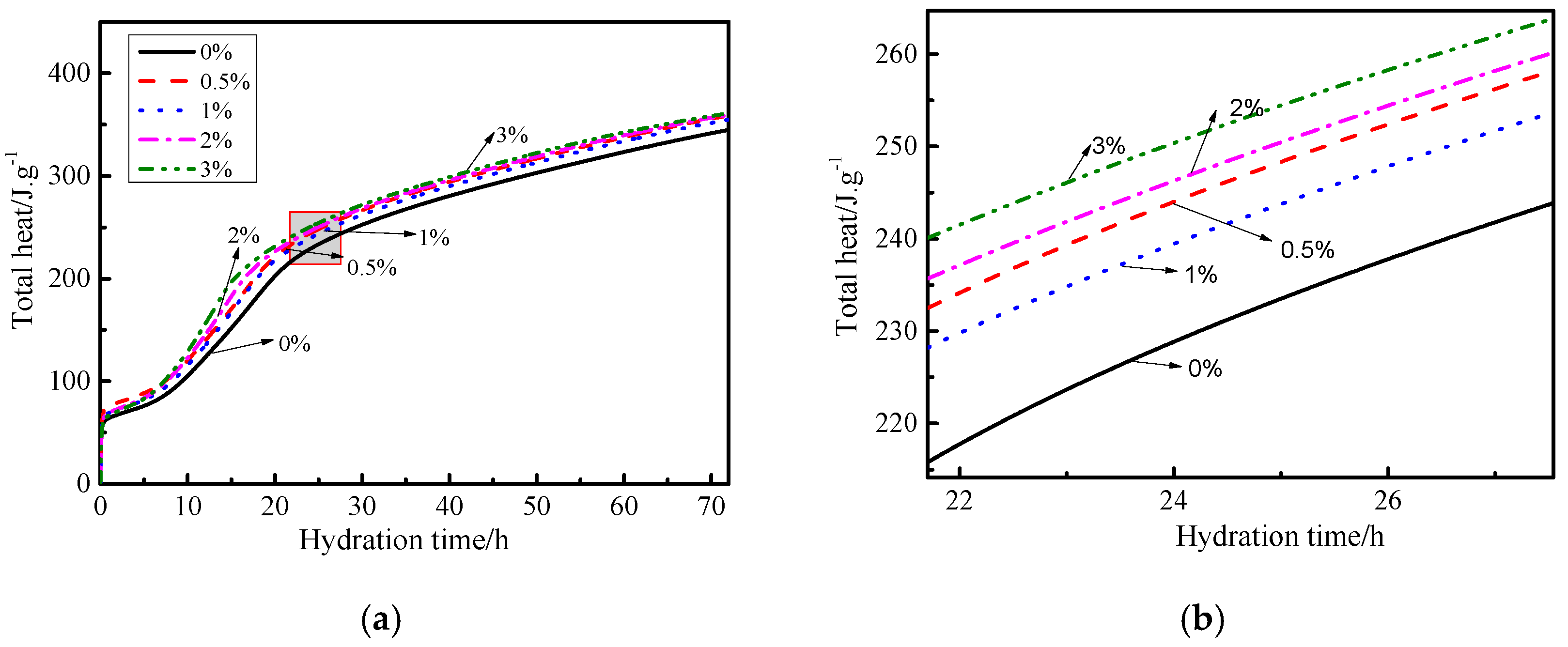
3.3. Hydration Heat Results
3.4. XRD Results
3.5. TG-DTA Results
3.6. SEM Results
4. Conclusions
Author Contributions
Funding
Acknowledgments
Conflicts of Interest
Data Availability
References
- Lee, T.; Lee, J.; Choi, H.; Lee, D.-E. The Effects of fineness and TEA-based chemical admixture on early strength development of concrete in construction site application. Materials 2020, 13, 2027. [Google Scholar] [CrossRef]
- Wang, S.D.; Liu, B.; Zhao, P.; Lu, L.; Cheng, X. Effect of early-strength-enhancing agents on setting time and early mechanical strength of belite-barium calcium sulfoaluminate cement. J. Therm. Anal. Calorim. 2018, 131, 2337–2343. [Google Scholar] [CrossRef]
- Nguyen, H.-A.; Chang, T.-P.; Thymotie, A. Enhancement of early engineering characteristics of modified slag cement paste with alkali silicate and sulfate. Const. Build. Mater. 2020, 230, 117013. [Google Scholar] [CrossRef]
- Carballosa, P.; Calvo, J.L.G.; Revuelta, D. Influence of expansive calcium sulfoaluminate agent on dosage on properties and microstructure of expansive self-compacting concretes. Cem. Concr. Compos 2020, 107, 103464. [Google Scholar] [CrossRef]
- Heesup, C.; Masumi, I.; Hyeonggil, C. Physicochemical study on the strength development characteristics of cold weather concrete using a nitrite-nitrate based accelerator. Materials 2019, 12, 2706. [Google Scholar]
- Sotiriadis, K.; Hikolopoulou, E.; Tsivilis, S.; Pavlou, A.; Chaniotakis, E.; Swamy, R.N. The effect of chlorides on the thaumasite form of sulfate attack of limestone cement concrete containing mineral admixtures at low temperature. Constr. Build. Mater. 2013, 43, 156–164. [Google Scholar] [CrossRef]
- Wang, J. Steady-state chloride diffusion coefficient and chloride migration coefficient of cracks in concrete. J. Mater. Civ. Eng. 2017, 29, 0417117. [Google Scholar] [CrossRef]
- Wang, J.; Basheer, P.A.M.; Nanukuttan, S.V.; Long, A.E.; Bai, Y. Influence of service loading and the resulting micro-cracks on chloride resistance of concrete. Constr. Build. Mater 2016, 108, 56–66. [Google Scholar] [CrossRef]
- Wang, J.; Liu, E.; Li, L. Multiscale investigations on hydration mechanisms in seawater OPC paste. Constr. Build. Mater. 2018, 191, 891–903. [Google Scholar] [CrossRef]
- Wang, J.; Liu, E. The relationship between steady-state chloride diffusion and migration coefficients in cementitious materials. Mag. Concr. Res. 2019, 72, 1016–1026, Ahead of print. [Google Scholar] [CrossRef]
- Drolet, C.; Duchesne, J.; Fournier, B. Effect of alkali release by aggregates on alkali-silica reaction. Constr. Build. Mater. 2017, 157, 263–276. [Google Scholar] [CrossRef]
- Ma, B.; Xu, Y.; Dong, R. Influence of Triethanolmine on the Initial Structure Formation and Mechanical Properties of Cement. J. Build. Mater. 2006, 9, 6–9. [Google Scholar]
- Jiang, M.F.; Lü, X.J. Research and Application Progresses of Concrete Early Strength Agent. J. Chin. Ceram. Soc. 2014, 33, 2527–2533. [Google Scholar]
- Ding, Z.; Xu, M.R.; Dai, J.G.; Dong, B.Q.; Zhang, M.J.; Hong, S.X.; Xing, F. Strengthening concrete using phosphate cement-based fiber-reinforced inorganic composites for improved fire resistance. Constr. Build. Mater. 2019, 212, 755–764. [Google Scholar] [CrossRef]
- Xiao, L.; Zhang, H. Influence of New Composite Early Strength Agent on Mechanical Properties of Concrete (Mortar) and Its Mechanism Analysis. B Chin. Ceram. Soc. 2018, 37, 2115–2119. [Google Scholar]
- El-Gamal, S.M.A.; Abo-El-Enein, S.A.; El-Hosiny, F.I.; Amin, M.S.; Ramadan, M. Thermal resistance, microstructure and mechanical properties of type I Portland cement pastes containing low-cost nanoparticles. J. Therm. Anal. Calorim 2018, 131, 949–968. [Google Scholar] [CrossRef]
- Jo, B.W.; Kim, C.H.; Tae, G. Characteristics of cement mortar with nano-SiO2 particles. Constr. Build. Mater 2007, 21, 1351–1355. [Google Scholar] [CrossRef]
- Najigivi, A.; Khaloo, A.; Zad, I.A.; Rashid, S.A. Investigating the effects of using different types of SiO2 nanoparticles on the mechanical properties of binary blended concrete. Compos. Part B Eng. 2015, 54, 52–58. [Google Scholar] [CrossRef]
- Zhao, Z.; Qi, T.; Zhou, W.; Hui, D.; Xiao, C.; Qi, J.; Zheng, Z.; Zhao, Z. A review on the properties, reinforcing effects, and commercialization of nanomaterials for cement-based materials. Nanotechnol. Rev. 2020, 9, 303–322. [Google Scholar] [CrossRef]
- Shaikh, F.U.A.; Supit, S.W.M. Mechanical and durability properties of high volume fly ash (HVFA) concrete containing calcium carbonate (CaCO3) nanoparticles. Constr. Build. Mater. 2014, 70, 309–321. [Google Scholar] [CrossRef]
- Wang, J.; Liu, E.; Li, L. Characterization on the recycling of waste seashells with Portland cement towards sustainable cementitious materials. J. Clean. Prod. 2019, 220, 235–252. [Google Scholar] [CrossRef]
- Praveenkumar, T.R.; Vijayalakshmi, M.M.; Meddah, M.S. Strengths and durability performances of blended cement concrete with TiO2 nanoparticles and rice husk ash. Constr. Build. Mater. 2019, 217, 343–351. [Google Scholar] [CrossRef]
- Liu, Y.; Jia, M.; Song, C.; Lu, S.; Wang, H.; Zhang, G.; Yang, Y. Enhancing ultra-early strength of sulphoaluminate cement-based materials by incorporating graphene oxide. Nanotechnol. Rev. 2020, 9, 17–27. [Google Scholar] [CrossRef]
- Wang, J.; Xu, Y.; Wu, X.; Zhang, P.; Hu, S. Advances of graphene- and graphene oxide- modified cementitious materials. Nanotechnol. Rev. 2020, 9, 465–477. [Google Scholar] [CrossRef]
- Sun, J.; Xu, K.; Shi, C.; Ma, J.; Li, W.; Shen, X. Influence of core/shell TiO2@SiO2 nanoparticles on cement hydration. Constr. Build. Mater. 2017, 156, 114–122. [Google Scholar] [CrossRef]
- El-Gamal, S.M.A.; El-Hosiny, F.I.; Amin, M.S.; Sayed, D.G. Ceramic waste as an efficient material for enhancing the fire resistance and mechanical properties of hardened Portland cement pastes. Constr. Build. Mater. 2017, 154, 1062–1078. [Google Scholar] [CrossRef]
- Gao, Y.; Jing, H.; Du, M.; Chen, W. Dispersion of Multi-Walled Carbon Nanotubes Stabilized by Humic Acid in Sustainable Cement Composites. Nanomaterials 2018, 8, 858. [Google Scholar] [CrossRef]
- Gao, Y.; Jing, H.; Zhou, Z. Fractal analysis of pore structures in graphene oxide-carbon nanotube based cementitious pastes under different ultrasonication. Nanotechnol. Rev. 2019, 8, 107–115. [Google Scholar] [CrossRef]
- Gao, Y.; Jing, H.W.; Chen, S.J.; Du, M.R.; Chen, W.Q.; Duan, W. Influence of ultrasonication on the dispersion and enhancing effect of graphene oxide–carbon nanotube hybrid nanoreinforcement in cementitious composite. Compos. Part B Eng. 2019, 164, 45–53. [Google Scholar] [CrossRef]
- Konsta-Gdoutos, M.S.; Metaxa, Z.S.; Shahb, S.P. Highly dispersed carbon nanotube reinforced cement based materials. Cem. Concr. Res. 2010, 40, 1052–1059. [Google Scholar] [CrossRef]
- Li, G.Y.; Wang, P.M.; Zhao, X. Mechanical behavior and microstructure of cement composites incorporating surface-treated multi-walled carbon nanotubes. Carbon 2005, 43, 1239–1245. [Google Scholar] [CrossRef]
- Musso, S.; Tulliani, J.M.; Ferro, G.; Tagliaferro, A. Influence of carbon nanotubes structure on the mechanical behavior of cement composites. Compos. Sci. Technol. 2009, 69, 1985–1990. [Google Scholar] [CrossRef]
- Wang, F.; Kong, X.; Jiang, L.; Wang, D. The acceleration mechanism of nano-C-S-H particles on OPC hydration. Constr. Build. Mater. 2020, 249, 118734. [Google Scholar] [CrossRef]
- Zhang, C.Y.; Cai, Y.; Kong, X.M.; Hao, T.Y. Influence of Nano C-S-H on Cement Hydration, Pore Structure of Hardened Cement Pastes and Strength of Concrete. J. Chin. Ceram. Soc. 2019, 47, 585–593. [Google Scholar]
- Jee, H.; Park, J.; Zalnezhad, E. Characterization of titanium nanotube reinforced cementitious composites: Mechanical properties, microstructure, and hydration. Materials 2019, 12, 1617. [Google Scholar] [CrossRef]
- Zhuang, C.; Chen, Y. The effect of nano-SiO2 on concrete properties: A review. Nanotechnol. Rev. 2019, 8, 562–572. [Google Scholar] [CrossRef]
- Land, G.; Stephan, D. Controlling cement hydration with nanoparticles. Cem. Concr. Compos. 2015, 57, 64–67. [Google Scholar] [CrossRef]
- Wang, F.; Kong, X.; Wang, D.; Wang, Q. The effects of nano-C-S-H with different polymer stabilizers on early cement hydration. J. Am. Ceram. Soc. 2019, 102, 5103–5116. [Google Scholar] [CrossRef]
- Kong, D.; He, G.; Pan, H.; Weng, Y.; Du, N.; Sheng, J. Influences and mechanisms of nano-S-C-H gel addition on fresh properties of the cement-based materials with sucrose as retarder. Materials 2020, 13, 2345. [Google Scholar] [CrossRef]
- Kanchanason, V.; Plank, J. Effect of calcium silicate hydrate—Polycarboxylate ether (C-S-H-PCE) nanocomposite as accelerating admixture on early strength enhancement of slag and calcined blended cements. Cem. Concr. Res. 2019, 119, 44–50. [Google Scholar] [CrossRef]
- Das, S.; Ray, S.; Sarkar, S. Early strength development in concrete using preformed CSH nano crystals. Constr. Build. Mater. 2020, 233, 117214. [Google Scholar] [CrossRef]
- Standardization Administration of the People’s Republic of China. GB175-2007: Common Portland Cement; China Architecture and Building Press: Beijing, China, 2007.
- He, Y.; Zhao, X.; Lu, L.; Struble, L.J.; Hu, S. Effect of C/S Ratio on Morphology and Structure of Hydrothermally Synthesized Calcium Silicate Hydrate. J. Wuhan Univ. Technol. Mater. Sci. Ed. 2011, 26, 770–773. [Google Scholar] [CrossRef]
- Lei, Y.S.; Han, T.; Wang, H.Q.; Jin, X.Z.; Fang, Y.; Cao, H.H.; Cheng, F.Q. Preparation and characterization of calcium silicate hydrate(C-S-H) synthesized by the hydrothermal method. Bull. Chin. Ceram. Soc. 2014, 33, 465–469. [Google Scholar]
- Richardson, I.G. The calcium silicate hydrates. Cem. Concr. Res. 2008, 38, 137–158. [Google Scholar] [CrossRef]
- Taylor, H.F.W. Proposed structure for calcium silicate hydrate gel. J. Am. Ceram. Soc. 1986, 69, 464–467. [Google Scholar] [CrossRef]
- China Academy of Building Research. JGJ 63-2006: Standard of Water for Concrete; China Architecture and Building Press: Beijing, China, 2006. [Google Scholar]
- Standardization Administration of the People’s Republic of China. GB/T1346-2011: Test Methods for Water Requirement of Normal Consistency, Setting Time and Soundness of the Portland Cement; China Architecture and Building Press: Beijing, China, 2011.
- Standardization Administration of the People’s Republic of China. GB/T17671-1999: Method of Testing Cements-Determination of Strength; The State Bureau of Quality and Technical Supervision: Beijing, China, 1999.
- Wang, Y.; He, F.; Wang, J.; Wang, C.; Xiong, Z. Effects of calcium bicarbonate on the properties of ordinary Portland cement paste. Constr. Build. Mater. 2019, 225, 591–600. [Google Scholar] [CrossRef]
- Wang, Q.; Li, S.Y.; Wang, J.; Pan, S.; Lv, C.X.; Cui, X.Y.; Guo, Z.W. Effect of Graphene Oxide on Hydration Process and Main Hydration Products of Cement. J. Chin. Ceram. Soc. 2018, 46, 163–172. [Google Scholar]
- Thomas, J.J.; Jennings, H.M.; Chen, J.J. Influence of nucleation seeding on the hydration mechanisms of tricalcium silicate and cement. J. Phys. Chem. C 2009, 113, 4327–4334. [Google Scholar] [CrossRef]
- Land, G.; Stephan, D. The effect of synthesis conditions on the efficiency of C-S-H seeds to accelerate cement hydration. Cem. Concr. Compos. 2018, 87, 73–78. [Google Scholar] [CrossRef]
- Pedrosaa, H.C.; Realesb, O.M.; Reisb, V.D.; Maria das Dores Paivab, M.D.; Fairbairna, E.M.R. Hydration of Portland cement accelerated by C-S-H seeds at different Temperatures. Cem. Concr. Res. 2020, 129, 105978. [Google Scholar] [CrossRef]












| Fineness/% | Stability | Setting Time/min | Flexural Strength/MPa | Compressive Strength/MPa | |||
|---|---|---|---|---|---|---|---|
| Initial | Final | 3 Days | 28 Days | 3 Days | 28 Days | ||
| 1.6 | Satisfied | 169 | 356 | 5.9 | 9.7 | 32.2 | 51.4 |
| SiO2 | CaO | Al2O3 | Fe2O3 | MgO | Na2O | K2O | LOI |
|---|---|---|---|---|---|---|---|
| 23.81 | 62.01 | 5.39 | 3.18 | 2.92 | 0.29 | 0.16 | 0.15 |
| Nano C-S-H Content/% | MHR/mW g−1 | AHH at MHR/J g−1 | 1 d AHH/J g−1 | 3 d AHH/J g−1 |
|---|---|---|---|---|
| 0 | 2.62 | 179 | 228 | 345 |
| 0.5 | 2.79 | 184 | 244 | 359 |
| 1 | 2.87 | 178 | 239 | 355 |
| 2 | 3.16 | 177 | 246 | 360 |
| 3 | 3.54 | 169 | 250 | 361 |
| Nano C-S-H/% | 1 d Weight Loss/% | 7 d Weight Loss/% | 28 d Weight Loss/% |
|---|---|---|---|
| 0 | 1.73 | 1.87 | 2.00 |
| 0.5 | 1.57 | 1.98 | 2.08 |
| 1 | 1.75 | 2.07 | 2.00 |
| 2 | 1.77 | 1.94 | 1.95 |
| 3 | 2.04 | 1.98 | 1.84 |
© 2020 by the authors. Licensee MDPI, Basel, Switzerland. This article is an open access article distributed under the terms and conditions of the Creative Commons Attribution (CC BY) license (http://creativecommons.org/licenses/by/4.0/).
Share and Cite
Wang, Y.; Lu, H.; Wang, J.; He, H. Effects of Highly Crystalized Nano C-S-H Particles on Performances of Portland Cement Paste and Its Mechanism. Crystals 2020, 10, 816. https://doi.org/10.3390/cryst10090816
Wang Y, Lu H, Wang J, He H. Effects of Highly Crystalized Nano C-S-H Particles on Performances of Portland Cement Paste and Its Mechanism. Crystals. 2020; 10(9):816. https://doi.org/10.3390/cryst10090816
Chicago/Turabian StyleWang, Yuli, Huijuan Lu, Junjie Wang, and Hang He. 2020. "Effects of Highly Crystalized Nano C-S-H Particles on Performances of Portland Cement Paste and Its Mechanism" Crystals 10, no. 9: 816. https://doi.org/10.3390/cryst10090816
APA StyleWang, Y., Lu, H., Wang, J., & He, H. (2020). Effects of Highly Crystalized Nano C-S-H Particles on Performances of Portland Cement Paste and Its Mechanism. Crystals, 10(9), 816. https://doi.org/10.3390/cryst10090816

