Study on the Softening Behavior of Cu–Cr–In Alloy during Annealing
Abstract
1. Introduction
2. Experimental Procedure
3. Results
3.1. Hardness Properties
3.2. Microstructure Evolution
4. Discussion
4.1. Softening Mechanism
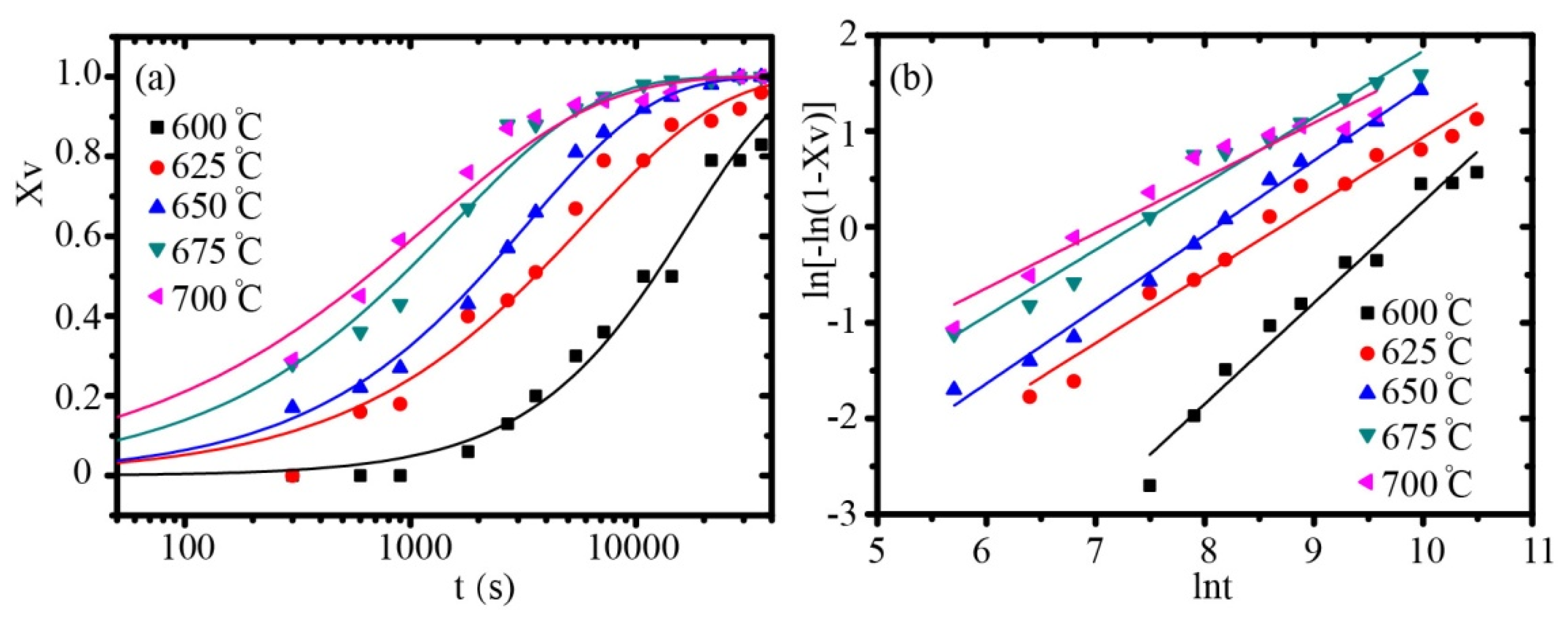
4.2. Static Recrystallization Kinetics
5. Conclusions
Author Contributions
Funding
Acknowledgments
Conflicts of Interest
References
- Liu, Q.; Zhang, X.; Ge, Y.; Wang, J.; Cui, J.Z. Effect of processing and heat treatment on behavior of Cu-Cr-Zr alloys to railway contact wire. Metall. Mater. Trans. A 2006, 37A, 3233–3238. [Google Scholar] [CrossRef]
- Hatakeyama, M.; Toyama, T.; Yang, J.; Nagai, Y.; Hasegawa, M.; Ohkubo, T.; Eldrup, M.; Singh, B.N. 3D-AP and positron annihilation study of precipitation behavior in Cu–Cr–Zr alloy. J. Nucl. Mater. 2009, 386–388, 852–855. [Google Scholar] [CrossRef]
- Chen, J.S.; Wang, J.F.; Xiao, X.P.; Wang, H.; Chen, H.M.; Yang, B. Contribution of Zr to strength and grain refinement in CuCrZr alloy. Mater. Sci. Eng. A 2019, 756, 464–473. [Google Scholar] [CrossRef]
- Pang, Y.; Xia, C.D.; Wang, M.P.; Li, Z.; Xiao, Z.; Wei, H.G.; Sheng, X.F.; Jia, Y.L.; Chen, C. Effects of Zr and (Ni, Si) additions on properties and microstructure of Cu–Cr alloy. J. Alloys Comp. 2014, 582, 786–792. [Google Scholar] [CrossRef]
- Watanabe, C.; Monzen, R.; Tazaki, K. Mechanical properties of Cu–Cr system alloys with and without Zr and Ag. J. Mater. Sci. 2008, 43, 813–819. [Google Scholar] [CrossRef]
- Fu, H.D.; Xu, S.; Li, W.; Xie, J.X.; Zhao, H.B.; Pan, Z.J. Effect of rolling and aging processes on microstructure and properties of Cu-Cr-Zr alloy. Mater. Sci. Eng. A 2017, 700, 107–115. [Google Scholar] [CrossRef]
- Meng, A.; Nie, J.F.; Wei, K.; Kang, H.J.; Liu, Z.J.; Zhao, Y.H. Optimization of strength, ductility and electrical conductivity of a Cu–Cr–Zr alloy by cold rolling and aging treatment. Vacuum 2019, 167, 329–335. [Google Scholar] [CrossRef]
- Purcek, G.; Yanar, H.; Demirtas, M.; Alemdag, Y.; Shangina, D.V.; Dobatkin, S.V. Optimization of strength, ductility and electrical conductivity of Cu–Cr–Zr alloy by combining multi-route ECAP and aging. Mater. Sci. Eng. A 2016, 649, 114–122. [Google Scholar] [CrossRef]
- Chenna Krishna, S.; Karthick, N.K.; Sudarshan Rao, G.; Jha, A.K.; Pant, B.; Cherian, R.M. High Strength, Utilizable Ductility and Electrical Conductivity in Cold Rolled Sheets of Cu-Cr-Zr-Ti Alloy. J. Mater. Eng. Perform. 2018, 27, 787–793. [Google Scholar] [CrossRef]
- Yuan, D.W.; Wang, J.F.; Chen, H.M.; Xie, W.B.; Wang, H.; Yang, B. Mechanical properties and microstructural evolution of a Cu-Cr-Ag alloy during thermomechanical treatment. Mater. Sci. Tech-Lond. 2018, 34, 1433–1440. [Google Scholar] [CrossRef]
- Chen, H.M.; Gao, P.Z.; Peng, H.C.; Wei, H.G.; Xie, W.B.; Wang, H.; Yang, B. Study on the Hot Deformation Behavior and Microstructure Evolution of Cu-Cr-In Alloy. J. Mater. Eng. Perform. 2019, 28, 2128–2136. [Google Scholar] [CrossRef]
- Chen, H.; Yuan, D.; Xie, W.; Zhang, J.; Wang, H.; Yang, B. A novel route for strengthening copper rods: Non-solution heat treatment combined with pre-aging. J. Mater. Process. Tech. 2019, 274, 116290. [Google Scholar] [CrossRef]
- Yuan, J.H.; Gong, L.K.; Zhang, W.Q.; Zhang, B.; Wei, H.G.; Xiao, X.P.; Wang, H.; Yang, B. Work softening behavior of Cu-Cr-Ti-Si alloy during cold deformation. J. Mater. Res. Technol. 2019, 8, 1964–1970. [Google Scholar] [CrossRef]
- Wang, H.; Gong, L.K.; Liao, J.F.; Chen, H.M.; Xie, W.B.; Yang, B. Retaining meta-stable fcc-Cr phase by restraining nucleation of equilibrium bcc-Cr phase in CuCrZrTi alloys during ageing. J. Alloys Comp. 2018, 749, 140–145. [Google Scholar] [CrossRef]
- Peng, L.J.; Xie, H.F.; Huang, G.J.; Xu, G.L.; Yin, X.Q.; Feng, X.; Mi, X.J.; Yang, Z. The phase transformation and strengthening of a Cu-0.71 wt% Cr alloy. J. Alloys Comp. 2017, 708, 1096–1102. [Google Scholar] [CrossRef]
- Williamson, G.K.; Hall, W.H. X-ray line broadening from filed aluminium and wolfram. Acta Metall. 1953, 1, 22–31. [Google Scholar] [CrossRef]
- HajyAkbary, F.; Sietsma, J.; Böttger, A.J.; Santofimia, M.J. An improved X-ray diffraction analysis method to characterize dislocation density in lath martensitic structures. Mater. Sci. Eng. A 2015, 639, 208–218. [Google Scholar] [CrossRef]
- Langford, J.I.; Wilson, A.J.C. Scherrer after sixty years: A survey and some new results in the determination of crystallite size. J. Appl. Crystallogr. 1978, 11, 102–113. [Google Scholar] [CrossRef]
- Liu, Y.; Li, Z.; Jiang, Y.X.; Zhang, Y.; Zhou, Z.Y.; Lei, Q. The microstructure evolution and properties of a Cu-Cr-Ag alloy during thermal-mechanical treatment. J. Mater. Res. 2017, 32, 1324–1332. [Google Scholar] [CrossRef]
- Sitarama Raju, K.; Subramanya Sarma, V.; Kauffmann, A.; Hegedűs, Z.; Gubicza, J.; Peterlechner, M.; Freudenberger, J.; Wilde, G. High strength and ductile ultrafine-grained Cu–Ag alloy through bimodal grain size, dislocation density and solute distribution. Acta Mater. 2013, 61, 228–238. [Google Scholar] [CrossRef]
- Tang, J.; Zhang, H.; Teng, J.; Fu, D.F.; Jiang, F.L. Effect of Zn content on the static softening behavior and kinetics of Al–Zn–Mg–Cu alloys during double-stage hot deformation. J. Alloys Comp. 2019, 806, 1081–1096. [Google Scholar] [CrossRef]
- Nazari, A.; Sanjayan, J.G. Johnson–Mehl–Avrami–Kolmogorov equation for prediction of compressive strength evolution of geopolymer. Ceram. Int. 2015, 41, 3301–3304. [Google Scholar] [CrossRef]
- Chao, H.Y.; Sun, H.F.; Chen, W.Z.; Wang, E.D. Static recrystallization kinetics of a heavily cold drawn AZ31 magnesium alloy under annealing treatment. Mater. Charact. 2011, 62, 312–320. [Google Scholar] [CrossRef]
- Gale, W.F.; Totemeir, T.C. Smithells Metals Reference Book; Butterworth-Heinemann: Oxford, UK, 2004. [Google Scholar]
- Benchabane, G.; Boumerzoug, Z.; Thibon, I.; Gloriant, T. Recrystallization of pure copper investigated by calorimetry and microhardness. Mater. Charact. 2008, 59, 1425–1428. [Google Scholar] [CrossRef]
- Luo, Z.Y.; Luo, F.X.; Xie, W.B.; Chen, H.M.; Wang, H.; Yang, B. A study on annealing-induced softening in cold drawn Cu−Cr−Sn alloy. Materialwiss. Werkst. 2018, 49, 1325–1334. [Google Scholar] [CrossRef]









| Elements | Cr | In | Cu |
|---|---|---|---|
| Measured composition | 0.54 | 0.17 | Surplus |
| Grain | 450 °C | 550 °C | 650 °C | |||
|---|---|---|---|---|---|---|
| 60 min | 240 min | 60 min | 240 min | 60 min | 240 min | |
| Recrystallization | 1.63 | 2.49 | 8.07 | 11.48 | 59.53 | 80.97 |
| Substructure | 0.00 | 0.01 | 0.04 | 0.91 | 10.84 | 15.80 |
| Deformed Structure | 98.37 | 97.50 | 91.90 | 87.61 | 29.63 | 3.23 |
| Time | 450 °C | 550 °C | 650 °C |
|---|---|---|---|
| 60 min | 1.77 × 1014 | 1.29 × 1014 | 7.71 × 1013 |
| 240 min | 1.30 × 1014 | 1.21 × 1014 | 3.08 × 1013 |
© 2020 by the authors. Licensee MDPI, Basel, Switzerland. This article is an open access article distributed under the terms and conditions of the Creative Commons Attribution (CC BY) license (http://creativecommons.org/licenses/by/4.0/).
Share and Cite
Zhu, Y.; Tang, L.; Xie, W.; Chen, H.; Wang, H.; Yang, B. Study on the Softening Behavior of Cu–Cr–In Alloy during Annealing. Crystals 2020, 10, 312. https://doi.org/10.3390/cryst10040312
Zhu Y, Tang L, Xie W, Chen H, Wang H, Yang B. Study on the Softening Behavior of Cu–Cr–In Alloy during Annealing. Crystals. 2020; 10(4):312. https://doi.org/10.3390/cryst10040312
Chicago/Turabian StyleZhu, Yunqing, Linsheng Tang, Weibin Xie, Huiming Chen, Hang Wang, and Bin Yang. 2020. "Study on the Softening Behavior of Cu–Cr–In Alloy during Annealing" Crystals 10, no. 4: 312. https://doi.org/10.3390/cryst10040312
APA StyleZhu, Y., Tang, L., Xie, W., Chen, H., Wang, H., & Yang, B. (2020). Study on the Softening Behavior of Cu–Cr–In Alloy during Annealing. Crystals, 10(4), 312. https://doi.org/10.3390/cryst10040312
