Ion-Conductive Nanostructured Polymer Films Formed by Photopolymerization of Lyotropic Columnar Liquid-Crystalline Monomers, Composed of a Zwitterionic Compound and a Protic Ionic Liquid
Abstract
1. Introduction
2. Experimental Section
2.1. General Procedures and Materials
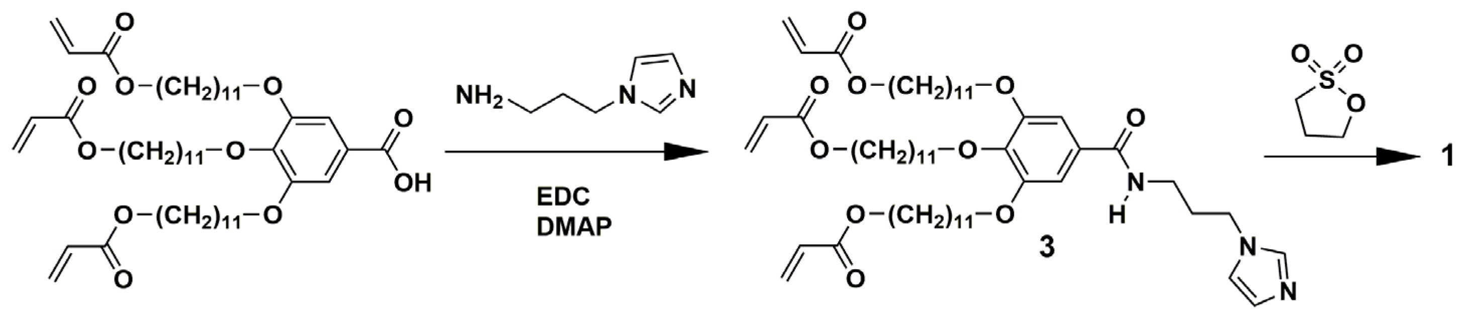
2.2. Synthesis
Synthesis of Compound 3
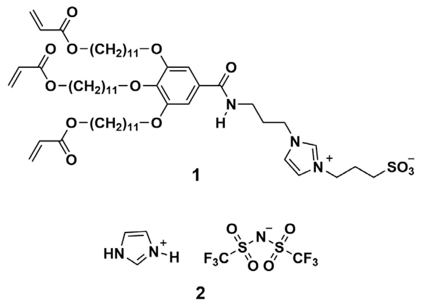
Synthesis of Compound 1
Synthesis of Protic Ionic Liquid 2
Preparation of the LC Mixtures of 1 and 2
2.3. Characterization of LC Properties
2.4. Ionic Conductivity Measurements
3. Results and Discussion
3.1. LC Properties
3.2. In Situ Photopolymerization of the LC Monomers
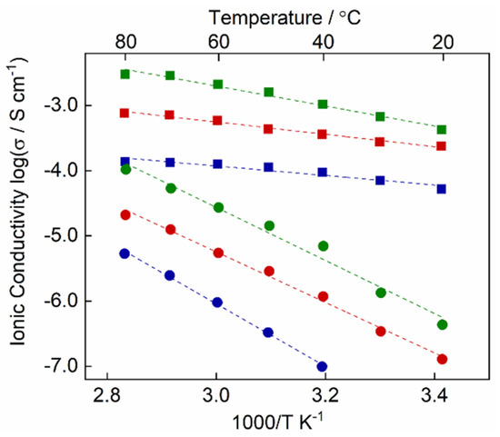
3.3. Ion-Conductive Properties of Polymer Films
4. Conclusions
Author Contributions
Funding
Acknowledgments
Conflicts of Interest
References
- Kato, T.; Yoshio, M.; Ichikawa, T.; Soberats, B.; Ohno, H.; Funahashi, M. Transport of ions and electrons in nanostructured liquid crystals. Nat. Rev. Mater. 2017, 2, 17001. [Google Scholar] [CrossRef]
- Ichikawa, T.; Kato, T.; Ohno, H. Dimension control of ionic liquids. Chem. Commun. 2019, 55, 8205–8214. [Google Scholar] [CrossRef] [PubMed]
- Ichikawa, T. Zwitterions as building blocks for functional liquid crystals and block copolymers. Polym. J. 2017, 49, 413–421. [Google Scholar] [CrossRef]
- Cho, B.-K. Nanostructured organic electrolytes. RSC Adv. 2014, 4, 395–405. [Google Scholar] [CrossRef]
- Wang, C.; Cao, S.; Li, P.; Tan, S.; Wu, Y. Anisotropic films photopolymerized from aligned cross-linkable gemini ammonium liquid crystals for ion conduction. J. Appl. Polym. Sci. 2019, 136, 47349. [Google Scholar] [CrossRef]
- Hamaguchi, K.; Kuo, D.; Liu, M.; Sakamoto, T.; Yoshio, M.; Katayama, H.; Kato, T. Nanostructured Virus Filtration Membranes Based on Two-Component Columnar Liquid Crystals. ACS Macro Lett. 2018, 8, 24–30. [Google Scholar] [CrossRef]
- Henmi, M.; Nakatsuji, K.; Ichikawa, T.; Tomioka, H.; Sakamoto, T.; Yoshio, M.; Kato, T. Self-organized Liquid-Crystalline Nanostructured Membranes for Water Treatment: Selective Permeation of Ions. Adv. Mater. 2012, 24, 2238–2241. [Google Scholar] [CrossRef] [PubMed]
- Bara, J.E.; Kaminski, A.K.; Noble, R.D.; Gin, D.L. Influence of nanostructure on light gas separations in cross-linked lyotropic liquid crystal membranes. J. Memb. Sci. 2007, 288, 13–19. [Google Scholar] [CrossRef]
- Kim, O.; Kim, H.; Choi, U.H.; Park, M.J. One-volt-driven superfast polymer actuators based on single-ion conductors. Nat. Commun. 2016, 7, 13576. [Google Scholar] [CrossRef] [PubMed]
- Yamashita, A.; Yoshio, M.; Soberats, B.; Ohno, H.; Kato, T. Use of a protic salt for the formation of liquid-crystalline proton-conductive complexes with mesomorphic diols. J. Mater. Chem. A 2015, 3, 22656–22662. [Google Scholar] [CrossRef]
- Soberats, B.; Yoshio, M.; Ichikawa, T.; Taguchi, S.; Ohno, H.; Kato, T. 3D Anhydrous Proton-Transporting Nanochannels Formed by Self-Assembly of Liquid Crystals Composed of a Sulfobetaine and a Sulfonic Acid. J. Am. Chem. Soc. 2013, 135, 15286–15289. [Google Scholar] [CrossRef] [PubMed]
- Yoshizawa, M.; Ohno, H. Anhydrous proton transport system based on zwitterionic liquid and HTFSI. Chem. Commun. 2004, 16, 1828–1829. [Google Scholar] [CrossRef] [PubMed]
- Ichikawa, T.; Kato, T.; Ohno, H. 3D Continuous Water Nanosheet as a Gyroid Minimal Surface Formed by Bicontinuous Cubic Liquid-Crystalline Zwitterions. J. Am. Chem. Soc. 2012, 134, 11354–11357. [Google Scholar] [CrossRef] [PubMed]
- Ueda, S.; Kagimoto, J.; Ichikawa, T.; Kato, T.; Ohno, H. Anisotropic proton-conductive materials formed by the self-organization of phosphonium-type zwitterions. Adv. Mater. 2011, 23, 3071–3074. [Google Scholar] [CrossRef] [PubMed]
- Ichikawa, T.; Okafuji, A.; Kato, T.; Ohno, H. Induction of an Infinite Periodic Minimal Surface by Endowing An Amphiphilic Zwitterion with Halogen-Bond Ability. ChemistryOpen 2016, 5, 439–444. [Google Scholar] [CrossRef] [PubMed]
- Kobayashi, T.; Li, Y.; Ono, A.; Zeng, X.; Ichikawa, T. Gyroid structured aqua-sheets with sub-nanometer thickness enabling 3D fast proton relay conduction. Chem. Sci. 2019, 10, 6245–6253. [Google Scholar] [CrossRef] [PubMed]
- Yasuda, T.; Watanabe, M. Protic ionic liquids: Fuel cell applications. MRS Bull. 2013, 38, 560–566. [Google Scholar] [CrossRef]
- Smith, R.C.; Fischer, W.M.; Gin, D.L. Ordered Poly(p-phenylenevinylene) Matrix Nanocomposites via Lyotropic Liquid-Crystalline Monomers. J. Am. Chem. Soc. 1997, 119, 4092–4093. [Google Scholar] [CrossRef]
- Susan, M.A.B.H.; Noda, A.; Mitsushima, S.; Watanabe, M. Brønsted Acid–Base Ionic Liquids and Their Use as New Materials for Anhydrous Proton Conductors. Chem. Commun. 2003, 8, 938–939. [Google Scholar] [CrossRef] [PubMed]
- Wu, A.; Lu, F.; Sun, P.; Qiao, X.; Gao, X.; Zheng, L. Low-Molecular-Weight Supramolecular Ionogel Based on Host-Guest Interaction. Langmuir 2017, 33, 13982–13989. [Google Scholar] [CrossRef] [PubMed]







© 2020 by the authors. Licensee MDPI, Basel, Switzerland. This article is an open access article distributed under the terms and conditions of the Creative Commons Attribution (CC BY) license (http://creativecommons.org/licenses/by/4.0/).
Share and Cite
Cao, S.; Yoshio, M.; Seki, A. Ion-Conductive Nanostructured Polymer Films Formed by Photopolymerization of Lyotropic Columnar Liquid-Crystalline Monomers, Composed of a Zwitterionic Compound and a Protic Ionic Liquid. Crystals 2020, 10, 276. https://doi.org/10.3390/cryst10040276
Cao S, Yoshio M, Seki A. Ion-Conductive Nanostructured Polymer Films Formed by Photopolymerization of Lyotropic Columnar Liquid-Crystalline Monomers, Composed of a Zwitterionic Compound and a Protic Ionic Liquid. Crystals. 2020; 10(4):276. https://doi.org/10.3390/cryst10040276
Chicago/Turabian StyleCao, Siyu, Masafumi Yoshio, and Atsushi Seki. 2020. "Ion-Conductive Nanostructured Polymer Films Formed by Photopolymerization of Lyotropic Columnar Liquid-Crystalline Monomers, Composed of a Zwitterionic Compound and a Protic Ionic Liquid" Crystals 10, no. 4: 276. https://doi.org/10.3390/cryst10040276
APA StyleCao, S., Yoshio, M., & Seki, A. (2020). Ion-Conductive Nanostructured Polymer Films Formed by Photopolymerization of Lyotropic Columnar Liquid-Crystalline Monomers, Composed of a Zwitterionic Compound and a Protic Ionic Liquid. Crystals, 10(4), 276. https://doi.org/10.3390/cryst10040276

