Cr3C2-NiCr Coating for the Protection of API Steel Corrosion in Concentrated Sodium Chloride Solution
Abstract
1. Introduction
2. Experimental Procedures
2.1. Materials and Solutions
2.2. Electrochemical Techniques
2.3. Surface Characterization
3. Results and Discussion
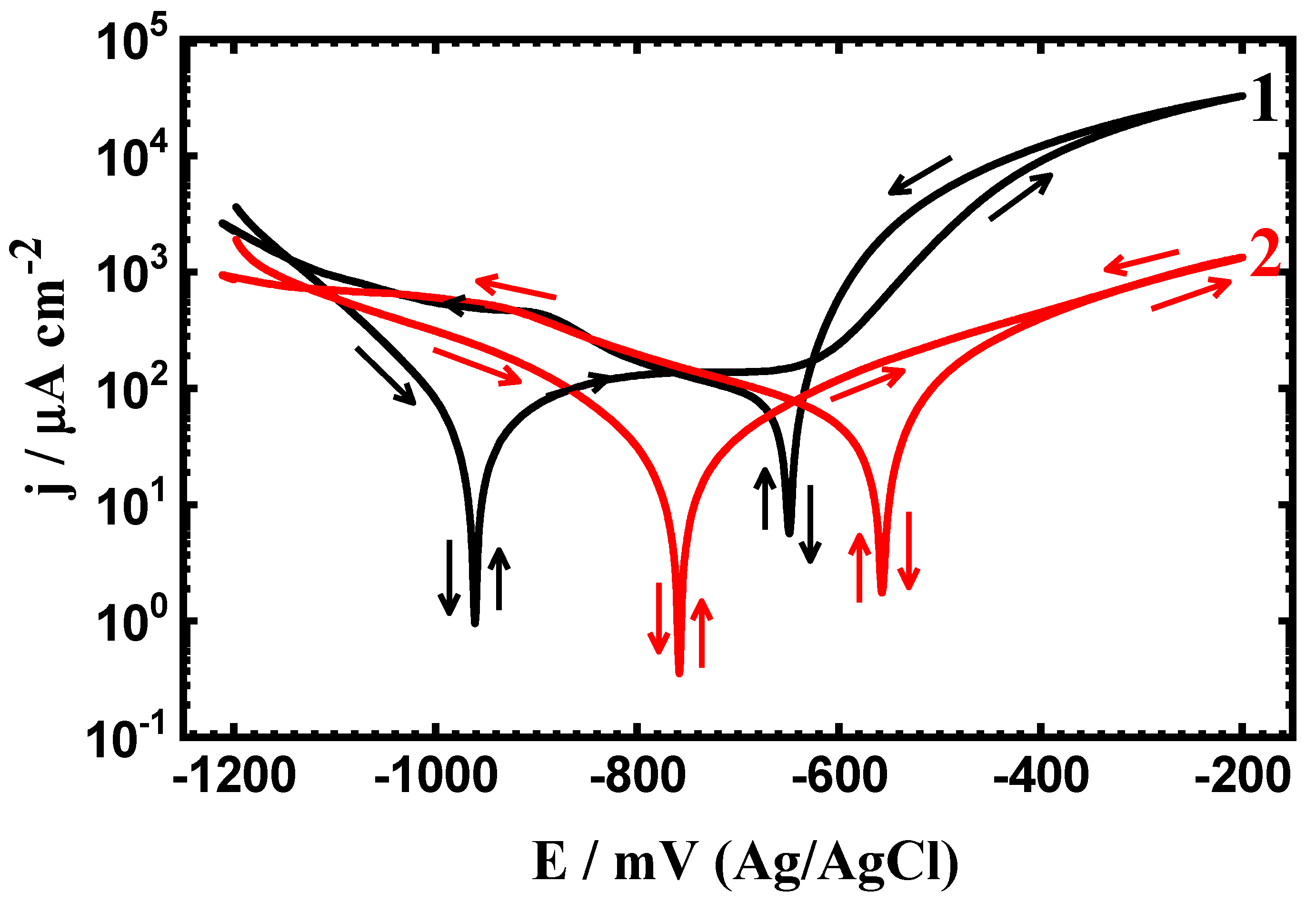
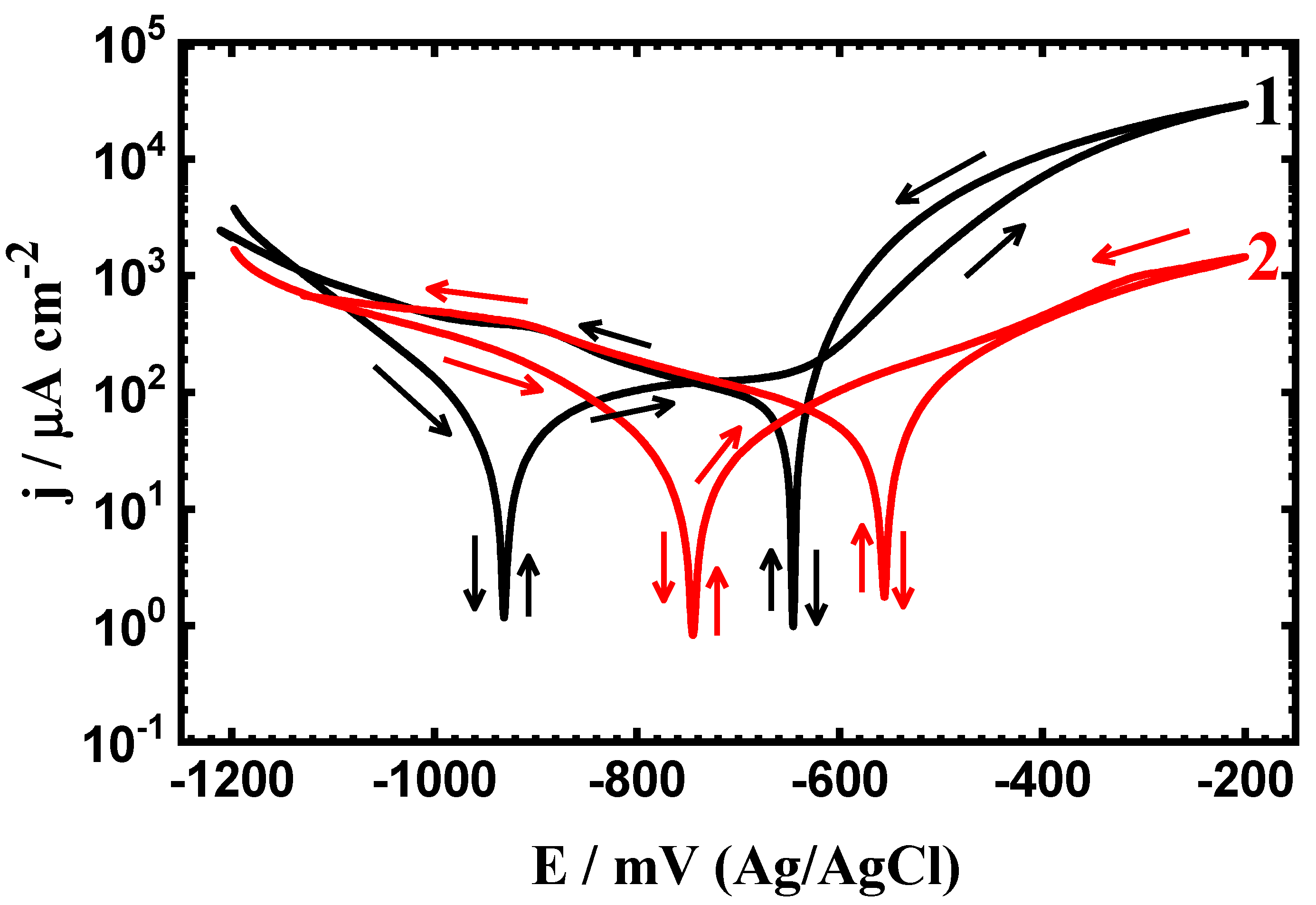
3.1. Potentiodynamic Cyclic Polarization (PCP) Measurements
3.2. EIS Measurements
3.3. Chronoamperometric Current-Time Experiments
3.4. Surface Analysis
4. Conclusions
Author Contributions
Funding
Acknowledgments
Conflicts of Interest
References
- Sherif, E.S.; Almajid, A.A.; Khalil, K.A.; Junaedi, H.; Latief, F.H. Electrochemical studies on the corrosion behavior of API X65 pipeline steel in chloride solutions. Int. J. Electrochem. Sci. 2013, 8, 9360–9370. [Google Scholar]
- Alizadeh, M.; Bordbar, S. The influence of microstructure on the protective properties of the corrosion product layer generated on the welded API X70 steel in chloride solution. Corros. Sci. 2013, 70, 170–179. [Google Scholar] [CrossRef]
- Zhao, M.C.; Yang, K.; Shan, Y.Y. Comparison on strength and toughness behaviors of microalloyed pipeline steels with acicular ferrite and ultrafine ferrite. Mater. Lett. 2003, 57, 1496–1500. [Google Scholar] [CrossRef]
- Yakubtsov, I.A.; Poruks, P.; Boyd, J.D. Microstructure and mechanical properties of bainitic low carbon high strength plate steels. Mater. Sci. Eng. A 2008, 480, 109–116. [Google Scholar] [CrossRef]
- Sherif, E.S.M.; Almajid, A.A. Anodic dissolution of API X70 pipeline steel in Arabian Gulf seawater after different exposure intervals. J. Chem. 2014, 2014, 7. [Google Scholar] [CrossRef]
- Guenbour, A.; Hajji, M.A.; Jallouli, E.M.; Bachir, A. Ben Study of corrosion-erosion behaviour of stainless alloys in industrial phosphoric acid medium. Appl. Surf. Sci. 2006, 253, 2362–2366. [Google Scholar] [CrossRef]
- Sherif, E.S.M.; Almajid, A.A. Electrochemical corrosion behavior of API X-70 5L grade steel in 4.0 wt. % sodium chloride solutions after different immersion periods of time. Int. J. Electrochem. Sci. 2015, 10, 34–45. [Google Scholar]
- Hegazy, M.A.; Ahmed, H.M.; El-Tabei, A.S. Investigation of the inhibitive effect of p-substituted 4-(N,N,N-dimethyldodecylammonium bromide)benzylidene-benzene-2-yl-amine on corrosion of carbon steel pipelines in acidic medium. Corros. Sci. 2011, 53, 671–678. [Google Scholar] [CrossRef]
- Hernández-Espejel, A.; Domínguez-Crespo, M.A.; Cabrera-Sierra, R.; Rodríguez-Meneses, C.; Arce-Estrada, E.M. Investigations of corrosion films formed on API-X52 pipeline steel in acid sour media. Corros. Sci. 2010, 52, 2258–2267. [Google Scholar] [CrossRef]
- Bellaouchou, A.; Kabkab, B.; Guenbour, A.; Ben Bachir, A. Corrosion inhibition under heat transfer of 904L stainless steel in phosphoric acid by benzotriazole. Prog. Org. Coat. 2001, 41, 121–127. [Google Scholar] [CrossRef]
- Hemmingsen, T.; Hovdan, H.; Sanni, P.; Aagotnes, N.O. The influence of electrolyte reduction potential on weld corrosion. Electrochim. Acta 2002, 47, 3949–3955. [Google Scholar] [CrossRef]
- Sherif, E.S.M.; Seikh, A.H. Effects of grain refinement on the corrosion behaviour of microalloyed steel in sulphuric acid solutions. Int. J. Electrochem. Sci. 2012, 8, 7567–7578. [Google Scholar]
- Sherif, E.S.M.; El Rayes, M.M. Corrosion behavior of API 2H and API 4F steels in freely aerated 4.0% sodium chloride solutions. Int. J. Electrochem. Sci. 2015, 10, 7493–7504. [Google Scholar]
- Ma, F.Y.; Wang, W.H. Fatigue crack propagation estimation of SUS 630 shaft based on fracture surface analysis under pitting corrosion condition. Mater. Sci. Eng. A 2006, 430, 1–8. [Google Scholar] [CrossRef]
- Kwok, C.T.; Fong, S.L.; Cheng, F.T.; Man, H.C. Pitting and galvanic corrosion behavior of laser-welded stainless steels. J. Mater. Process. Technol. 2006, 176, 168–178. [Google Scholar] [CrossRef]
- Jiang, X.; Zheng, Y.G.; Ke, W. Effect of flow velocity and entrained sand on inhibition performances of two inhibitors for CO2 corrosion of N80 steel in 3% NaCl solution. Corros. Sci. 2005, 47, 2636–2658. [Google Scholar] [CrossRef]
- Hardie, D.; Charles, E.A.; Lopez, A.H. Hydrogen embrittlement of high strength pipeline steels. Corros. Sci. 2006, 48, 4378–4385. [Google Scholar] [CrossRef]
- Sherif, E.S.M.; Seikh, A.H. Anodic dissolution in sulfuric acid pickling solutions of the API pipeline X70 grade steel. Int. J. Electrochem. Sci. 2015, 10, 209–222. [Google Scholar]
- Fan, L.; Tang, F.; Reis, S.T.; Chen, G.; Koenigstein, M.L. Corrosion resistances of steel pipes internally coated with enamel. Corrosion 2017, 73, 1335–1345. [Google Scholar] [CrossRef]
- Fan, L.; Reis, S.T.; Chen, G.; Koenigstein, M.L. Corrosion resistance of pipeline steel with damaged enamel coating and cathodic protection. Coatings 2018, 8, 185. [Google Scholar] [CrossRef]
- Chatha, S.S.; Sidhu, H.S.; Sidhu, B.S. Characterization and corrosion-erosion behaviour of carbide based thermal spray coatings. J. Miner. Mater. Charact. Eng. 2012, 11, 569–586. [Google Scholar]
- Tillmann, W.; Vogli, E.; Baumann, I.; Kopp, G.; Weihs, C. Desirability-based multi-criteria optimization of HVOF spray experiments to manufacture fine structured wear-resistant 75Cr3C2-25(NiCr20) coatings. J. Therm. Spray Technol. 2010, 19, 392–408. [Google Scholar] [CrossRef]
- Thi, H.P.; Van, T.N.; Thu, Q.L.; Nguyen, T.A.; Thi, L.P.; Quoc, C.L.; Bich, T.D. A study on Erosion and corrosion behavior of Cr3C2-NiCr cermet coatings. Vietnam J. Sci. Technol. 2018, 56, 42–49. [Google Scholar]
- Zavareh, M.A.; Sarhan, A.A.D.M.; Zavareh, P.A.; Basirum, W.J. Electrochemical corrosion behavior of carbon steel pipes coated with a protective ceramic layer using plasma and HVOF thermal spray techniques for oil and gas. Ceram. Int. 2016, 42, 3397–3406. [Google Scholar] [CrossRef]
- Sherif, E.S.M.; Abdo, H.S.; Latief, F.H.; Alharthi, N.H.; Abedin, S.Z. El Fabrication of Ti-Al-Cu new alloys by inductive sintering, characterization, and corrosion evaluation. J. Mater. Res. Technol. 2019, 8, 4302–4311. [Google Scholar] [CrossRef]
- Verma, C.; Quraishi, M.A.; Lgaz, H.; Olasunkanmi, L.O.; Sherif, E.S.M.; Salghi, R.; Ebenso, E.E. Adsorption and anticorrosion behaviour of mild steel treated with 2-((1H-indol-2-yl)thio)-6-amino-4-phenylpyridine-3,5-dicarbonitriles in a hydrochloric acid solution: Experimental and computational studies. J. Mol. Liq. 2019, 283, 491–506. [Google Scholar] [CrossRef]
- Alharthi, N.; Sherif, E.S.M.; Abdo, H.S.; Alharbi, H.F.; Misiolek, W.Z. Effect of extrusion welding locations on the corrosion of AM30 alloy extrudate. J. Mater. Res. Technol. 2019, 8, 2280–2289. [Google Scholar] [CrossRef]
- Sherif, E.S.M.; Abdo, H.S.; Zein El Abedin, S. Electrochemical corrosion behavior of Fe64/Ni36 and Fe55/Ni45 alloys in 4.0% sodium chloride solutions. Int. J. Electrochem. Sci. 2017, 12, 1600–1611. [Google Scholar] [CrossRef]
- Sherif, E.S.M.; Erasmus, R.M.; Comins, J.D. In situ Raman spectroscopy and electrochemical techniques for studying corrosion and corrosion inhibition of iron in sodium chloride solutions. Electrochim. Acta 2010, 55, 3657–3663. [Google Scholar] [CrossRef]
- Latief, F.H.; Sherif, E.S.M.; Almajid, A.A.; Junaedi, H. Fabrication of exfoliated graphite nanoplatelets-reinforced aluminum composites and evaluating their mechanical properties and corrosion behavior. J. Anal. Appl. Pyrolysis 2011, 92, 485–592. [Google Scholar] [CrossRef]
- Jones, D.A. Principles and Prevention of Corrosion, 2nd ed.; Prentice Hall, Inc.: Upper Saddle River, NJ, USA, 1996. [Google Scholar]
- Sherif, E.S.M.; Potgieter, J.H.; Comins, J.D.; Cornish, L.; Olubambi, P.A.; Machio, C.N. Effects of minor additions of ruthenium on the passivation of duplex stainless-steel corrosion in concentrated hydrochloric acid solutions. J. Appl. Electrochem. 2009, 39, 1385–1392. [Google Scholar] [CrossRef]
- Nabawy, A.M.; Khalil, K.A.; Al-Ahmari, A.M.; Sherif, E.S.M. Melt processing and characterization of Al-SiC nanocomposite, Al, and Mg foam materials. Metals (Basel) 2016, 6, 110. [Google Scholar] [CrossRef]
- Sherif, E.S.M.; Abdo, H.S.; Almajed, A.A. Corrosion behavior of cast Iron in freely aerated stagnant arabian gulf seawater. Materials 2015, 8, 2127–2138. [Google Scholar] [CrossRef]
- Mansfeld, F.; Lin, S.; Kim, K.; Shih, H. Pitting and surface modification of SIC/Al. Corros. Sci. 1987, 27, 997. [Google Scholar] [CrossRef]
- Alharthi, N.; Sherif, E.S.M.; Abdo, H.S.; El Abedin, S.Z. Effect of Nickel Content on the Corrosion Resistance of Iron-Nickel Alloys in Concentrated Hydrochloric Acid Pickling Solutions. Adv. Mater. Sci. Eng. 2017, 6, 1–8. [Google Scholar] [CrossRef]














| Sample/ Time | βc/ mVdec−1 | ECorr/ mV | βa/ mVdec−1 | jCorr/ µAcm−2 | EProt/ mV | PE/ % | RCorr/ mmpy |
|---|---|---|---|---|---|---|---|
| API-2H steel (1 h) | 120 | −928 | 220 | 47 ± 0.35 | −616 | - | 0.5452 |
| Coated API-2H steel (1 h) | 110 | −756 | 225 | 28 ± 0.28 | −405 | 40.43 | 0.3248 |
| API-2H steel (24 h) | 125 | −958 | 225 | 42 ± 0.32 | −623 | - | 0.4872 |
| Coated API-2H steel (24 h) | 115 | −765 | 230 | 23 ± 0.27 | −340 | 45.24 | 0.2900 |
| API-2H steel (48 h) | 125 | −965 | 230 | 38 ± 0.30 | −627 | - | 0.4408 |
| Coated API-2H steel (48 h) | 110 | −770 | 235 | 18 ± 0.25 | −315 | 52.63 | 0.2088 |
| Sample/Time | RS/ (Ω cm2) | Q | RP/ (Ω cm2) | W/ () | |
|---|---|---|---|---|---|
| YQ/S*s^n | n | ||||
| API-2H steel (1 h) | 4.55 | 0.000214 | 0.90 | 2267 | 0.1867 |
| Coated API-2H steel (24 h) | 4.73 | 0.000205 | 0.91 | 2619 | 0.1293 |
| API-2H steel (24 h) | 4.62 | 0.000194 | 0.91 | 2516 | 0.1086 |
| Coated API-2H steel (24 h) | 4.78 | 0.000184 | 0.91 | 2834 | 0.1038 |
| API-2H steel (48 h) | 4.74 | 0.000175 | 0.91 | 2746 | 0.1061 |
| Coated API-2H steel (48 h) | 4.96 | 0.000171 | 0.91 | 3309 | 0.1018 |
© 2020 by the authors. Licensee MDPI, Basel, Switzerland. This article is an open access article distributed under the terms and conditions of the Creative Commons Attribution (CC BY) license (http://creativecommons.org/licenses/by/4.0/).
Share and Cite
Sherif, E.-S.M.; El Rayes, M.M.; Abdo, H.S. Cr3C2-NiCr Coating for the Protection of API Steel Corrosion in Concentrated Sodium Chloride Solution. Crystals 2020, 10, 249. https://doi.org/10.3390/cryst10040249
Sherif E-SM, El Rayes MM, Abdo HS. Cr3C2-NiCr Coating for the Protection of API Steel Corrosion in Concentrated Sodium Chloride Solution. Crystals. 2020; 10(4):249. https://doi.org/10.3390/cryst10040249
Chicago/Turabian StyleSherif, El-Sayed M., Magdy M. El Rayes, and Hany S. Abdo. 2020. "Cr3C2-NiCr Coating for the Protection of API Steel Corrosion in Concentrated Sodium Chloride Solution" Crystals 10, no. 4: 249. https://doi.org/10.3390/cryst10040249
APA StyleSherif, E.-S. M., El Rayes, M. M., & Abdo, H. S. (2020). Cr3C2-NiCr Coating for the Protection of API Steel Corrosion in Concentrated Sodium Chloride Solution. Crystals, 10(4), 249. https://doi.org/10.3390/cryst10040249

