The Surface-Roughness Effects on Light Beam Interactions between the CsI Phosphor and Optical Sensing Materials
Abstract
1. Introduction
2. Materials and Methods
2.1. Evaluation of Diffuse Intensity Reflectance and Transmittance
2.2. The Case of Surface Smoothness
2.3. The Effect of Surface Roughness
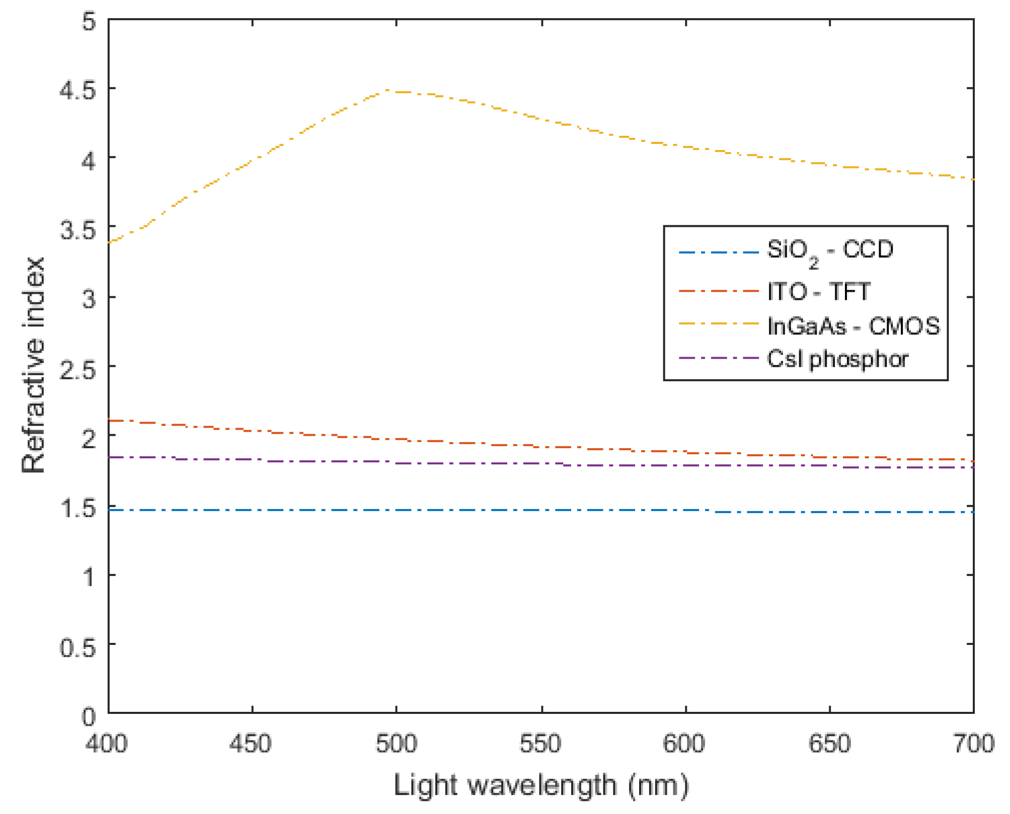
2.4. Set Up of Phosphor–Optical Detector Combinations
3. Results and Discussion
4. Conclusions
Author Contributions
Funding
Conflicts of Interest
References
- Granfors, P.R.; Albagli, D. Scintillator-based flat-panel x-ray imaging detectors. J. Soc. Inf. Disp. 2009, 17, 535–542. [Google Scholar] [CrossRef]
- Yaffe, M.J.; Rowlands, J.A. X-ray detectors for digital radiography. Phys. Med. Biol. 1997, 42, 1–39. [Google Scholar] [CrossRef] [PubMed]
- Gruner, S.M.; Tate, M.W.; Eikenberry, E.F. Charge-coupled device area x-ray detectors. Rev. Sci. Instrum. 2002, 73, 2816–2842. [Google Scholar] [CrossRef]
- Magnan, P. Detection of visible photons in CCD and CMOS: A comparative view. Nucl. Instrum. Methods Phys. Res. Sect. A 2003, 504, 199–212. [Google Scholar] [CrossRef]
- Bigas, M.; Cabruja, E.; Forest, J.; Salvi, J. Review of CMOS image sensors. Microelectron. J. 2006, 37, 433–451. [Google Scholar] [CrossRef]
- Fossum, E.R.; Ma, J.; Masoodian, S.; Anzagira, L.; Zizza, R. The quanta image sensor: Every photon counts. Sensors 2016, 16, 1260. [Google Scholar] [CrossRef] [PubMed]
- Michail, C.; Kalyvas, N.; Valais, I.; David, S.; Seferis, I.; Toutountzis, A.; Karabotsos, A.; Liaparinos, P.; Fountos, G.; Kandarakis, I. On the response of GdAlO3: Ce powder scintillators. J. Lumin. 2013, 144, 45–52. [Google Scholar] [CrossRef]
- Kalyvas, N.; Liaparinos, P.; Michail, C.; David, S.; Fountos, G.; Wojtowicz, M.; Zych, E.; Kandarakis, I. Studying the luminescence efficiency of Lu2O3: Eu nanophosphor material for digital X-ray imaging applications. Appl. Phys. A 2012, 106, 131–136. [Google Scholar] [CrossRef]
- Liaparinos, P. Examining phosphor material properties for imaging purposes: The role of the complex refractive index in the optical diffusion performance. Biomed. Phys. Eng. Express 2017, 3, 015006. [Google Scholar] [CrossRef]
- Liaparinos, P.F. Light beam interactions and emission performance in powder phosphor materials: The role of the binder. Nucl. Instrum. Methods Phys. Res. Sect. B 2018, 432, 5–12. [Google Scholar] [CrossRef]
- Liaparinos, P.F. LIGHTAWE—Case studies of LIGHT spread in powder materials: A montE carlo simulation tool for research and educational purposes. Appl. Phys. B 2019, 125, 151. [Google Scholar] [CrossRef]
- Liaparinos, P.; Kalyvas, N.; Katsiotis, E.; Kandarakis, I. Investigating the particle packing of powder phosphors for imaging instrumentation technology: An examination of Gd2O2S: Tb phosphor. JINST 2016, 11, P10001. [Google Scholar] [CrossRef]
- Liaparinos, P.F. Optical diffusion performance of nanophosphor-based materials for use in medical imaging. J. Biomed. Opt. 2012, 17, 126013. [Google Scholar] [CrossRef] [PubMed]
- Liaparinos, P.; Kandarakis, I. The imaging performance of compact Lu2O3: Eu phosphor screens: Monte Carlo simulation for applications in mammography. Med. Phys. 2009, 36, 1985–1997. [Google Scholar] [CrossRef]
- Schröder, S.; Duparré, A.; Coriand, L.; Tünnermann, A.; Penalver, D.H.; Harvey, J.E. Modeling of light scattering in different regimes of surface roughness. Opt. Express 2011, 19, 9820–9835. [Google Scholar] [CrossRef]
- Zhong, N.; Zhu, X.; Liao, Q.; Wang, Y.; Chen, R.; Sun, Y. Effects of surface roughness on optical properties and sensitivity of fiber-optic evanescent wave sensors. Appl. Opt. 2013, 52, 3937–3945. [Google Scholar] [CrossRef]
- Alves, H.P.; Nascimento, J.F.; Fontana, E.; Coêlho, I.J.S.; Martins Filho, J.F. Transition Layer and Surface Roughness Effects on the Response of Metal-based Fiber-optic Corrosion Sensors. J. Light. Technol. 2018, 36, 2597–2605. [Google Scholar] [CrossRef]
- Sequeira, F.; Cennamo, N.; Rudnitskaya, A.; Nogueira, R.; Zeni, L.; Bilro, L. D-Shaped POF Sensors for Refractive Index Sensing—The Importance of Surface Roughness. Sensors 2019, 19, 2476. [Google Scholar] [CrossRef]
- Agarwal, S.; Giri, P.; Prajapati, Y.K.; Chakrabarti, P. Effect of Surface Roughness on the Performance of Optical SPR Sensor for Sucrose Detection: Fabrication, Characterization, and Simulation Study. IEEE Sens. J. 2016, 16, 8865–8873. [Google Scholar] [CrossRef]
- Cahill, B. Laser-Based Fibre-Optic Sensor for Measurement of Surface Properties. Master’s Thesis, Dublin City University, Dublin, Ireland, 1998. [Google Scholar]
- Le Bosse, J.C.; Hansali, G.; Lopez, J.; Dumas, J.C. Characterisation of surface roughness by laser light scattering: Diffusely scattered intensity measurement. Wear 1999, 224, 236–244. [Google Scholar] [CrossRef]
- Cahill, B.; El Baradie, M.A. LED-based fibre-optic sensor for measurement of surface roughness. J. Mater. Process. Technol. 2001, 119, 299–306. [Google Scholar] [CrossRef]
- Liu, J.; Yamazaki, K.; Zhou, Y.; Matsumiya, S. A reflective fiber optic sensor for surface roughness in-process measurement. JMST 2002, 124, 515–522. [Google Scholar] [CrossRef]
- Feidenhans, N.A.; Hansen, P.E.; Pilný, L.; Madsen, M.H.; Bissacco, G.; Petersen, J.C.; Taboryski, R. Comparison of optical methods for surface roughness characterization. Meas. Sci. Technol. 2015, 26, 085208. [Google Scholar] [CrossRef]
- Mitsui, K. In-process sensors for surface roughness and their applications. Precis. Eng. 1986, 8, 212–220. [Google Scholar] [CrossRef]
- Bohren, C.F.; Huffman, D.R. Absorption and Scattering of Light by Small Particles; Wiley: New York, NY, USA, 1983. [Google Scholar]
- Born, M.; Wolf, E. Principles of Optics: Electromagnetic Theory of Propagation, Interference and Diffraction of Light, 6th ed.; Pergamon Press: Oxford, UK, 1986. [Google Scholar]
- Hecht, E. Optics, 2nd ed.; Addison-Wesley Publishing Company, Inc.: Boston, MA, USA, 1987. [Google Scholar]
- Badano, A.; Sempau, J. MANTIS: Combined x-ray, electron and optical Monte Carlo simulations of indirect radiation imaging systems. Phys. Med. Biol. 2006, 51, 1545–1561. [Google Scholar] [CrossRef] [PubMed]
- Roos, A.; Ronnow, D. Diffuse reflectance and transmittance spectra of an interference layer: 1. Model formulation and properties. Appl. Opt. 1994, 33, 7908–7917. [Google Scholar] [CrossRef]
- Bhushan, B. Chapter 2 Surface Roughness Analysis and Measurement Techniques. In Modern Tribology Handbook, 1st ed.; Taylor & Francis Group: Boca Raton, FL, USA, 2000. [Google Scholar]
- Peiponen, K.-E.; Tsuboi, T. Metal surface roughness and optical reflectance. Opt. Laser Technol. 1990, 22, 127–130. [Google Scholar] [CrossRef]
- Bennett, H.E.; Porteus, J.O. Relation between surface roughness and specular reflectance at normal incidence. JOSA 1961, 51, 123–129. [Google Scholar] [CrossRef]
- Kim, H.K.; Cunningham, I.A.; Yin, Z.; Cho, G. On the Development of Digital Radiography Detectors: A Review. Int. J. Precis. Eng. Manuf. 2006, 9, 86–100. [Google Scholar]
- Polyanskiy, M.N. Refractive Index Database. Available online: https://refractiveindex.info/ (accessed on 3 February 2020).
- Peixoto, A.C.; Silva, A.F. Smart devices: Micro-and nanosensors. Bioinspired Mater. Med. Appl. 2017, 297–329. [Google Scholar] [CrossRef]
- Filmetrics KLA Company. Available online: https://www.filmetrics.com/refractive-index-database (accessed on 3 February 2020).
- Dinges, H.W.; Burkhard, H.; Lösch, R.; Nickel, H.; Schlapp, W. Refractive indices of InAlAs and InGaAs/InP from 250 to 1900 nm determined by spectroscopic ellipsometry. Appl. Surf. Sci. 1992, 54, 477–481. [Google Scholar] [CrossRef]






| Light Wavelength: 550 nm | |||
|---|---|---|---|
| Surface Roughness (nm) | Transmission (t)-CsI/SiO2 | ||
| θ = 0° | θ = 15° | θ = 45° | |
| 10 | 0.01 | 0.00 | 0.00 |
| 25 | 0.04 | 0.02 | 0.01 |
| 50 | 0.14 | 0.08 | 0.04 |
| 75 | 0.28 | 0.17 | 0.09 |
| 100 | 0.44 | 0.29 | 0.15 |
| Transmission (t)-CsI/ITO | |||
| θ = 0° | θ = 15° | θ = 45° | |
| 10 | 0.00 | 0.00 | 0.00 |
| 25 | 0.01 | 0.00 | 0.00 |
| 50 | 0.02 | 0.01 | 0.01 |
| 75 | 0.05 | 0.03 | 0.01 |
| 100 | 0.08 | 0.05 | 0.02 |
| Transmission (t)-CsI/InGaAs | |||
| θ = 0° | θ = 15° | θ = 45° | |
| 10 | 0.28 | 0.17 | 0.09 |
| 25 | 0.87 | 0.69 | 0.43 |
| 50 | 1.00 | 0.99 | 0.89 |
| 75 | 1.00 | 1.00 | 0.99 |
| 100 | 1.00 | 1.00 | 1.00 |
© 2020 by the authors. Licensee MDPI, Basel, Switzerland. This article is an open access article distributed under the terms and conditions of the Creative Commons Attribution (CC BY) license (http://creativecommons.org/licenses/by/4.0/).
Share and Cite
Liaparinos, P.; David, S. The Surface-Roughness Effects on Light Beam Interactions between the CsI Phosphor and Optical Sensing Materials. Crystals 2020, 10, 174. https://doi.org/10.3390/cryst10030174
Liaparinos P, David S. The Surface-Roughness Effects on Light Beam Interactions between the CsI Phosphor and Optical Sensing Materials. Crystals. 2020; 10(3):174. https://doi.org/10.3390/cryst10030174
Chicago/Turabian StyleLiaparinos, Panagiotis, and Stratos David. 2020. "The Surface-Roughness Effects on Light Beam Interactions between the CsI Phosphor and Optical Sensing Materials" Crystals 10, no. 3: 174. https://doi.org/10.3390/cryst10030174
APA StyleLiaparinos, P., & David, S. (2020). The Surface-Roughness Effects on Light Beam Interactions between the CsI Phosphor and Optical Sensing Materials. Crystals, 10(3), 174. https://doi.org/10.3390/cryst10030174
