An Unsymmetrical Trinickel Metal Complex with 4-Sulfobenzoate Axial Ligand: [Ni3(dpa)4(4-sb)(H2O)]×3H2O
Abstract
: An unsymmetrical trinickel metal complex, [Ni3(dpa)4(4-sb)(H2O)]·3H2O (1), where dpa is a 2,2′-dipyridylamine anion and 4-sb is 4-sulfobenzoate dianion, was synthesized and characterized by X-ray crystallography, IR, elemental analysis, fluorescence, and cyclic voltammetry. The molecular structure of 1 is a cluster with a linear trimer. The extended structure is a 3D architecture assembled by hydrogen bonds. The 4-sulfobenzoate axial replacement leads to the change of Ni-Ni distances, the shift of the fluorescence emission, and the reversible one-electron reduction process without oxidation process.1. Introduction
Nearly 30 trinickel metal complexes with 2,2′-dipyridylamine (dpa) ligands have been prepared since 1991 [1]. However, only two complexes with different axial ligands were reported, [Ni3(dpa)4(CH3CN)] (PF6)(2CH2Cl2) (2) and [Ni3(dpa)4(Cl)(ClO4)].CH2Cl2 (3) [2,3]. Complex 2 was unexpectedly obtained from re-crystallization of [Ni3(dpa)4(CH3CN)2]] (PF6)2 in dichloromethane [2]. Complex 3 was synthesized by control of the ratio of starting materials and reaction time [3]. Axial ligands in trinickel complexes can largely influence the structural parameters and properties [4], for example complex 2 has an unusual magnetic property; therefore synthesis of new unsymmetrical trinickel complexes can provide more examples to help understand the influence of structures on their properties. Herein, we report a new unsymmetrical trinickel complex with the 4-sulfobenzoate (4-sb) ligand, namely [Ni3(dpa)4(4-sb)(H2O)]·3H2O (1).
2. Results and Discussions
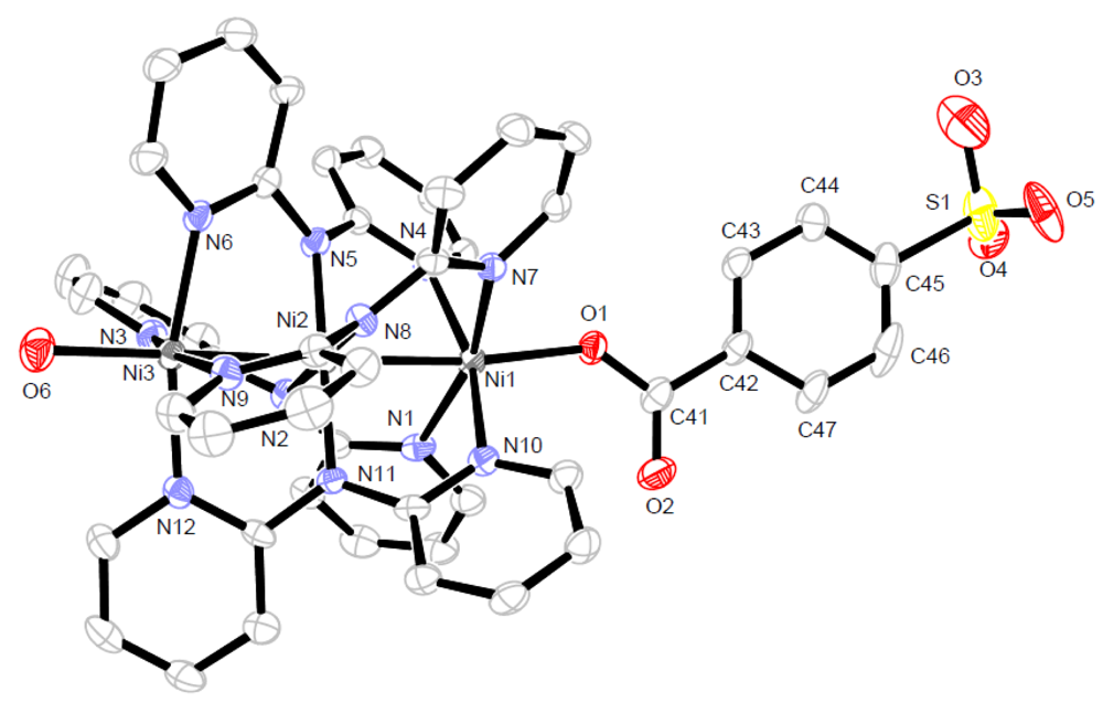
The unusual character of complex 1 is an unsymmetrical trinickel complex. The molecular structure of 1 is shown in Figure 1 and selected bond lengths and angles are listed in Table 1. The trinickel unit of [Ni3(dpa)4]2+ is wrapped by four dpa ligands. The two axial sites of the [Ni3(dpa)4]2+ are occupied by the 4-sb ligand and water molecule, respectively. The Ni-Ni distances [2.424(1) and 2.427(1) Å] in 1 are longer than those of the [Ni3(dpa)4(H2O)2]2+ moiety [2.390 Å and 2.392 Å] [5], and significantly longer than those of 2 [2.340(1) and 2.355(1) Å] and 3 [2.370(2) and 2.421(2) Å], indicating the 4-sb axial ligand lengthens the Ni-Ni distances. The Ni-Ni distances are also longer than those in complex with caroxylate ligands of [Ni3(dpa)4(L1)2]·(H2O)·C2H5OH (4) [2.4162(4) Å] (L1 = 3-(2-hydroxyl-phenyl)-acrylate) [6]. In complexes 2 and 3, Ni-Ni distances are different; while in complex 1 the unsymmetrical axial coordination does not lead to the extinct difference of Ni-Ni distances. The lengths of trinickel linear species in 1-3 are 4.851 Å, 4.791 Å, and 4.694 Å, respectively. In the trinickel core [Ni3(dpa)4]2+, the average Ni-N distance for two terminal Ni ions is 2.089 Å and the average central Ni-N distance is 1.904 Å. These average Ni-N distances are very similar to those of other trinickel metal complexes [7-10], illustrating that the axial ligands only tune the Ni-Ni distances through the self-adjustment of the structural parameters of the helix.
The two axial ligands of 4-sb and water have potential hydrogen bonding ability, therefore the extended hydrogen bonding structure is a 3D architecture (Figure 2).
The fluorescent spectrum of 1 shows emission bands at 413 nm, 438 nm, 453 nm and 470 nm (λex = 220 nm) in the solid state at room temperature (Figure 3). The maximal peak is at 413 nm. Comparison of emission bands between 1 and ligands suggests that the origin of these emissions is mainly caused by dpa– and 4-sb2– ligands and their emission strength is stronger than those of free ligands. The strongest peaks in 1, [Ni3(dpa)4Cl2] (421 nm, 452 nm, 470 nm) [11], and [Ni3(dpa)4(Cl)(ClO4)] (CH2Cl2) (417 nm, 453 nm, and 470 nm) are somewhat different and shifted, illustrating that different axial ligands truly affect the fluorescent properties.
The electrochemical spectrum of 1 in DMSO solution with 0.1 M TBAP as the supporting electrolyte is shown in Figure 4. We noted that there is no oxidation process for 1 in the measurement range of 1.2∼–1.2 V and a reversible one-electron reduction process was found according to the explanation of Cotton and his co-workers [12]. The reduction site is at −0.85 V and the E1/2 is −0.726 V. The electrochemical behavior of 1 is different from those of other trinickel complexes such as [Ni3(dpa)4Cl2] and [Ni3(dpa)4(ClO4)(Cl)]·2CH2Cl2. Such unusual property was also found in the trinickel complexes with di(2-pyrazyl)amine ligands of [Ni3(dpza)4Cl2] and [Ni3(dpza)4(NCS)2] [13].
3. Experimental Section
3.1. Materials and synthesis
2,2′-Dipyridylamine (Hdpa), [Ni3(dpa)4Cl2], and [Ni3(dpa)4(ClO4)2] were prepared according to previous reports [1,3,4]. Other chemicals used in the experiments were obtained from commercial sources. IR spectrum was recorded by a Nicolet Nexus 470 infrared spectrophotometer in KBr pellet. Elemental analyses for C, H, and N were done on a Flash EA 1112 analyzer. The fluorescent spectrum was determined using a Shimadzu RF-50 spectrometer on a powdered sample in the solid state at room temperature. Cyclic voltammogram was carried out on a CHI 600C potentiostat and the detailed operation and experimental conditions were described in our previous reports [1,3,4].
Complex 1 was prepared by the use of a three layered-solution technique. In a slender tube with a diameter of 0.8 cm, the bottom layer was 6 mL of aqueous solution containing 4-sulfobenzoic acid potassium (0.05 mol/L) and AgNO3 (0.05 mol/L), the middle layer was 6 mL of CH3OH-H2O with a volume ratio of 1:1, and the upper layer was 6 mL of methanol containing [Ni3(dpa)4(ClO4)2] (0.0125 mol/L). Two weeks later, dark purple block crystals were obtained. Yield: 56%. Anal. Calc for C47H44N12Ni3O9S (Mr = 1129.13): C: 50.00, H: 3.94, N: 14.88%; found C: 50.83, H: 3.65, N: 14.59%. IR (KBr pellet, cm−1): 3427 m, 1604 s, 1550 m, 1469 s, 1425 s, 1383 w, 1358 s, 1313 m, 1284 w, 1265 w, 1240 w, 1179 w, 1155 m, 1113 w, 1035 w, 1012 m, 927 w, 894 w, 870 w, 840 w, 765 m, 739 m, 702 w, 671 w, 639 w. TG analysis for 1 showed that the first-step weight loss was observed from room temperature to 167 °C. The weight loss of 6.88% corresponds to the release of four H2O molecules (calculated 6.38%). Complex 1 began to decompose at 380 °C.
So far, there is no common strategy to prepare unsymmetrical trinickel complexes. In the formation of 1, AgNO3 is necessary because its absence does not lead to complex 1, instead a symmetric complex with two same axial ligands. The addition of other salts such as copper salt also could not precipitate the complex 1.
3.2. Crystallographic determination
Data collection for a suitable crystal of complex 1 were carried out using a Bruker SMART APEX CCD detector with graphite-monochromatized Mo-Kα radiation (λ = 0.71073 Å). The data frames were integrated by the SAINT program [14]. Empirical absorption correction was done by the SADABS program [15]. The structure was solved by the Patterson method and successive Fourier synthesis, and refined by the full-matrix least squares method on F2. All non-hydrogen atoms were anisotropically refined. Hydrogen atoms on carbon atoms were placed in calculated positions and refined as riding, with C-H = 0.93 Å and Uiso(H) = 1.2 Ueq(C). All of the programs used are included in the WinGX Suite version 1.70 [16]. The drawings of the molecule were realized with the help of ORTEP-3 for Windows [17].
Further details of the crystal structure investigation may be obtained free of charge from http://www.ccdc.cam.ac.uk/conts/retrieving.html, or from the Cambridge Crystallographic Data Centre, 12 Union Road, Cambridge CB2 1EZ, UK; fax: (+44) 1223 336 033; or E-Mail: deposit@ccdc.cam.ac.uk. upon quoting the 796463 CCDC number. Detailed crystallographic data and structure refinements of complex 1 are listed in Table 2.
4. Conclusions
In conclusion, an unsymmetrical trinickel metal complex [Ni3(dpa)4(4-sb)(H2O)]·(3H2O) (1) was synthesized. The axial ligands influence the Ni-Ni distances, fluorescence properties and the cyclic voltammogram of 1. The maximal emission peak in 1 is shifted compared with those of [Ni3(dpa)4Cl2] and [Ni3(dpa)4(ClO4)(Cl)]·2CH2Cl2. The cyclic voltammogram is largely different from those of other trinickel complexes such as [Ni3(dpa)4Cl2] and [Ni3(dpa)4(ClO4)(Cl)]·2CH2Cl2.




| Ni1-Ni2 | 2.427(1) | Ni1-N1 | 2.109(7) |
| Ni2-Ni3 | 2.424(1) | Ni1-N4 | 2.088(6) |
| Ni1-N7 | 2.110(7) | Ni1-N10 | 2.074(6) |
| Ni1-O1 | 2.036(5) | Ni2-N2 | 1.904(7) |
| Ni2-N8 | 1.909(6) | Ni2-N11 | 1.906(6) |
| Ni2-N5 | 1.895(6) | Ni3-N3 | 2.072(5) |
| Ni3-N6 | 2.059(5) | Ni3-N12 | 2.099(7) |
| Ni3-N9 | 2.099(7) | Ni3-O6 | 2.061(7) |
| N1-Ni1-N4 | 87.5(2) | N1-Ni1- N7 | 163.8(3) |
| N1-Ni1- N10 | 90.4(2) | N1-Ni1- O1 | 103.7(3) |
| N4-Ni1-N7 | 89.3(2) | N4-Ni1-N10 | 164.4(2) |
| N4-Ni1-O1 | 92.5(2) | N7-Ni1-N10 | 88.3(2) |
| N7-Ni1-O1 | 92.3(2) | N10-Ni1-O1 | 103.1(2) |
| N2-Ni2-N5 | 89.5(3) | N2Ni2-N8 | 178.6(3) |
| N2-Ni2-N11 | 90.2(3) | N5-Ni2-N8 | 89.4(3) |
| N5-Ni2-N11 | 179.4(3) | N8-Ni2-N11 | 90.9(3) |
| N3-Ni3-N6 | 88.3(3) | N3-Ni3-Ni9 | 165.8(3) |
| N3-Ni3-N12 | 91.6(3) | N3-Ni3-O6 | 97.8(3) |
| N6-Ni3-N9 | 89.4(3) | N6-Ni3-N12 | 165.6(2) |
| N6-Ni3-O6 | 97.8(3) | N9-Ni3-N12 | 87.2(3) |
| N9-Ni3-O6 | 96.4(3) | N12-Ni3-O6 | 96.5(3) |
| Ni1-Ni2-Ni3 | 178.13(6) |
| Formula | C47H44Nx2Ni3O9S |
| Mr | 1129.13 |
| Crystal color/shape | Dark purple/block |
| Crystal size/mm | 0.30 × 0.30 × 0.25 |
| Space group | Orthorhombic, Pbcn |
| a/Å | 15.4384(12) |
| b/Å | 22.3183(16) |
| c/Å | 31.781(2) |
| α/° | 90 |
| β/° | 90 |
| γ/° | 90 |
| V/Å3 | 10950.4(13) |
| Z | 8 |
| D/g.cm−3 | 1.370 |
| T/K | 295(2) |
| μ/mm−1 | 1.121 |
| θ range/° | 3.2∼25.1 |
| Measured reflections | 67491 |
| Unique reflections | 9942 |
| Observed reflections | 5213 |
| F(000) | 4688 |
| R1 and wR2 (I > 2σ(I)) | 0.074, 0.203 |
| R1 and wR2 (all data) | 0.151, 0.260 |
| Number of variables | 669 |
| GOF | 0.972 |
| Largest difference peak and hole/e·Å-3 | 1.019, -0.462 |
Acknowledgments
This work was supported by the Zhejiang Provincial Natural Science Foundation of China (grant No. Z407036), the National Natural Science Foundation of China (grant No. 20573092).
References
- Zhang, J.; Zhu, L.G. Synthesis, Structures, and Properties of Three Coordination Compounds Based on Trinickel Clusters Extended by Phenyldicarboxylate Ligands. CrystEngComm 2011, 13, 553–560. [Google Scholar]
- Cotton, F.A.; Murillo, C.A.; Wang, Q.S.; Young, M.D. Unusual Magnetism of an Unsymmetrical Trinickel Chain. Eur. J. Inorg. Chem. 2008, 5257–5256. [Google Scholar]
- Miao, X.H.; Zhu, L.G. Synthesis, Structure, and Cyclic Voltammetric Property of Metal String Complex [Ni3(dpa)4(ClO4)(Cl)].CH2Cl2. Z. Anorg. Allg. Chem. 2010, 636, 878–881. [Google Scholar]
- Miao, X.H.; Zhu, L.G. Influence of Axial Ligands and Anions on the Ni-Ni Distances in Trinickel String Complexes: Synthesis, Structure, and Properties of [Ni3(dpa)4(CH3CN)2].(ClO4)2.(CH3CN).H2O. J. Coord. Chem. 2010, 63, 3816–3823. [Google Scholar]
- Li, H.; Lee, G.H.; Peng, S.M. The First One-dimensional Coordination Polymer Containing O-H…F-Ni Hydrogen Bonding: Crystal Structure of [Ni3(dpa)4F2] [Ni3(dpa)4(H2O)2] (BF4)2.2CH3OH. Inorg. Chem. Commun. 2003, 6, 1–4. [Google Scholar]
- Li, H.; Yan, J.; Xu, Y.Y.; Gao, W.G.; Lee, G.H.; Peng, S.M. Hydrogen-bonded Assemblies of Trinuclear Metal String Complexes. J. Coord. Chem. 2007, 60, 2731–2738. [Google Scholar]
- Berry, J.F.; Cotton, F.A.; Daniels, L.M.; Murillo, C.A. A Trinickel Dipyridylamido Complex with Metal-Metal Bonding Interaction: Prelude to Polynickel Molecular Wires and Devices? J. Am. Chem. Soc. 2002, 124, 3212–3213. [Google Scholar]
- Cotton, F.A.; Chao, H.; Li, Z.; Murillo, C.A.; Wang, Q.S. Effect of Axial Anthracene Ligands on the Luminescence of Trinickel Molecular Wires. J. Organomet. Chem. 2008, 693, 1412–1419. [Google Scholar]
- Clerac, R.; Cotton, F.A.; Dunbar, K.R.; Murillo, C.A.; Pascual, I.; Wang, X.P. Further Study of the Linear Trinickel(II) Complex of Dipyridylamide. Inorg. Chem. 1999, 38, 2655–2657. [Google Scholar]
- Peng, C.H.; Wang, C.C.; Lee, H.C.; Lo, W.C.; Lee, G.H.; Peng, S.M. Two Polymeric Linear Tri-nickel(II) Complexes: [Ni3(dpa)4(C4O4Me)]n(BF4)n and [Ni3(dpa)4(N3)]n(PF6)n Synthesis, Structural Characterization and Magnetic Properties. J. Chin. Chem. Soc. 2001, 48, 987–996. [Google Scholar]
- Berry, J.F.; Cotton, F.A.; Daniels, L.M.; Murillo, C.A.; Wang, X.P. Oxidation of Ni3(dpa)4Cl2 and Cu3(dpa)4Cl2: Nickel-Nickel Bonding Interaction, but No Copper-Copper Bonds. Inorg. Chem. 2003, 42, 2418–2427. [Google Scholar]
- Berry, J.F.; Cotton, F.A.; Murillo, C.A. Making Connections with Molecular Wires: Extending Tri-nickel Chains with Axial Cyanide, Dicyanamide, and Phenylacetylide Ligands. Dalton Trans. 2003, 3015–3021. [Google Scholar]
- Ismayilov, R.H.; Wang, W.Z.; Lee, G.H.; Wang, R.R.; Liu, I.P.C.; Yeh, C.Y.; Peng, S.M. New Versatile Ligand Family, Prazine-Modulated Oligo-α-Pyridylamino Ligands, from Coordination Polymer to Extended Metal Atom Chains. Dalton Trans. 2007, 2898–2907. [Google Scholar]
- Bruker Analytical X-ray Instruments, Inc. SAINT; Bruker Analytical X-ray Instruments, Inc.: Madison, WI, USA, 2002. [Google Scholar]
- Bruker Advanced X-ray Solution, Inc. SADABS; Version 2.05; Bruker Advanced X-ray Solution, Inc.: Madison, WI, USA, 2000. [Google Scholar]
- Farrugia, L.J. WINGX, A Windows Program for Crystal Structure Analysis; University of Glasgow: Glasgow, Great Britain, 1998. [Google Scholar]
- Farrugia, L.J. ORTEP-3 for Windows—A Version of ORTEP-III with a Graphical User Interface. J. Appl. Cryst. 1997, 30, 565–565. [Google Scholar]
© 2011 by the authors; licensee MDPI, Basel, Switzerland. This article is an open access article distributed under the terms and conditions of the Creative Commons Attribution license (http://creativecommons.org/licenses/by/3.0/).
Share and Cite
Zheng, X.-F.; Zhu, L.-G. An Unsymmetrical Trinickel Metal Complex with 4-Sulfobenzoate Axial Ligand: [Ni3(dpa)4(4-sb)(H2O)]×3H2O. Crystals 2011, 1, 120-127. https://doi.org/10.3390/cryst1030120
Zheng X-F, Zhu L-G. An Unsymmetrical Trinickel Metal Complex with 4-Sulfobenzoate Axial Ligand: [Ni3(dpa)4(4-sb)(H2O)]×3H2O. Crystals. 2011; 1(3):120-127. https://doi.org/10.3390/cryst1030120
Chicago/Turabian StyleZheng, Xiao-Feng, and Long-Guan Zhu. 2011. "An Unsymmetrical Trinickel Metal Complex with 4-Sulfobenzoate Axial Ligand: [Ni3(dpa)4(4-sb)(H2O)]×3H2O" Crystals 1, no. 3: 120-127. https://doi.org/10.3390/cryst1030120
APA StyleZheng, X.-F., & Zhu, L.-G. (2011). An Unsymmetrical Trinickel Metal Complex with 4-Sulfobenzoate Axial Ligand: [Ni3(dpa)4(4-sb)(H2O)]×3H2O. Crystals, 1(3), 120-127. https://doi.org/10.3390/cryst1030120
