Fabrication of Au Nanoparticle-Decorated MoS2 Nanoslices as Efficient Electrocatalysts for Electrochemical Detection of Dopamine
Abstract
:1. Introduction
2. Results and Discussion
2.1. Characterization of Materials
2.1.1. Morphological Characterization
2.1.2. Electrochemical characterization
2.2. The Elextrochemical Behaviors of DA
2.3. Condition Optimization for Electrochemical Detection of DA
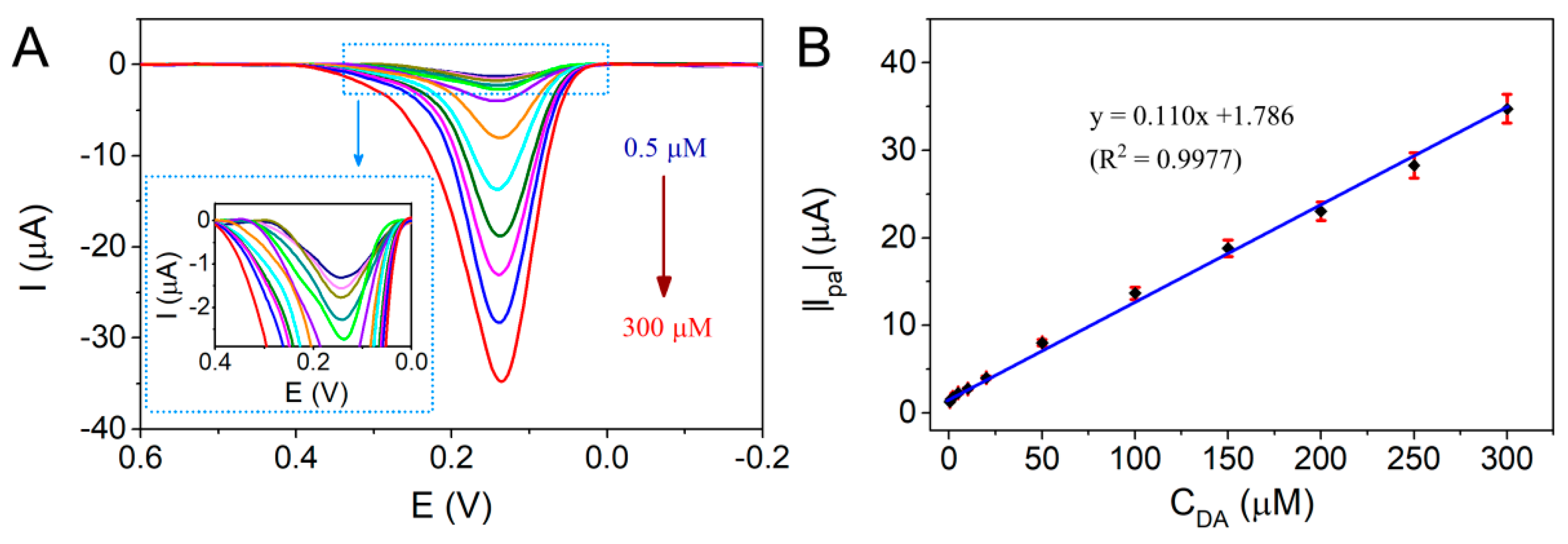
2.4. Electrochemical Detection of DA
2.5. Selectivity of the Eectrochemical Sensor
2.6. Reproducibility and Stability of the Electrochemical Sensor
2.7. Real Sample Analysis
3. Materials and Methods
3.1. Reagents and Apparatus
3.1.1. Reagents
3.1.2. Apparatus
3.2. Fbrication of Modified Electrodes
3.3. Electrochemical Measurements
4. Conclusions
Supplementary Materials
Author Contributions
Funding
Conflicts of Interest
References
- Oh, J.W.; Yoon, Y.W.; Heo, J.; Yu, J.; Kim, H.; Kim, T.H. Electrochemical detection of nanomolar dopamine in the presence of neurophysiological concentration of ascorbic acid and uric acid using charge-coated carbon nanotubes via facile and green preparation. Talanta 2016, 147, 453–459. [Google Scholar] [CrossRef] [PubMed]
- Rezaei, B.; Boroujeni, M.K.; Ensafi, A.A. Fabrication of DNA, o-phenylenediamine, and gold nanoparticle bioimprinted polymer electrochemical sensor for the determination of dopamine. Biosens. Bioelectron. 2015, 66, 490–496. [Google Scholar] [CrossRef] [PubMed]
- Zhao, Y.; Zhou, J.; Jia, Z.; Huo, D.; Liu, Q.; Zhong, D.; Hu, Y.; Yang, M.; Bian, M.; Hou, C. In-situ growth of gold nanoparticles on a 3D-network consisting of a MoS2/rGO nanocomposite for simultaneous voltammetric determination of ascorbic acid, dopamine and uric acid. Mikrochim. Acta 2019, 186, 92. [Google Scholar] [CrossRef] [PubMed]
- Gu, X.; Jiang, G.; Jiang, G.; Chen, T.; Zhan, W.; Li, X.; Wu, S.; Tian, S. Detection of dopamine on a mercapto-terminated hexanuclear Fe(III) cluster modified gold electrode. Talanta 2015, 137, 189–196. [Google Scholar] [CrossRef] [PubMed]
- Pruneanu, S.; Biris, A.R.; Pogacean, F.; Socaci, C.; Coros, M.; Rosu, M.C.; Watanabe, F.; Biris, A.S. The influence of uric and ascorbic acid on the electrochemical detection of dopamine using graphene-modified electrodes. Electrochim. Acta 2015, 154, 197–204. [Google Scholar] [CrossRef]
- Canevari, T.C.; Nakamura, M.; Cincotto, F.H.; de Melo, F.M.; Toma, H.E. High performance electrochemical sensors for dopamine and epinephrine using nanocrystalline carbon quantum dots obtained under controlled chronoamperometric conditions. Electrochim. Acta 2016, 209, 464–470. [Google Scholar] [CrossRef]
- Yang, T.; Chen, H.; Ge, T.; Wang, J.; Li, W.; Jiao, K. Highly sensitive determination of chloramphenicol based on thin-layered MoS2/polyaniline nanocomposite. Talanta 2015, 144, 1324–1328. [Google Scholar] [CrossRef]
- Bergman, J.; Mellander, L.; Wang, Y.; Cans, A.-S. Co-detection of dopamine and glucose with high temporal resolution. Catalysts 2018, 8, 34. [Google Scholar] [CrossRef]
- Mazloum-Ardakani, M.; Abolhasani, M.; Mirjalili, B.F.; Sheikh-Mohseni, M.A.; Dehghani-Firouzabadi, A.; Khoshroo, A. Electrocatalysis of dopamine in the presence of uric acid and folic acid on modified carbon nanotube paste electrode. Chin. J. Catal. 2014, 35, 201–209. [Google Scholar] [CrossRef]
- Huang, K.-J.; Zhang, J.-Z.; Liu, Y.-J.; Wang, L.-L. Novel electrochemical sensing platform based on molybdenum disulfide nanosheets-polyaniline composites and Au nanoparticles. Sens. Actuators B 2014, 194, 303–310. [Google Scholar] [CrossRef]
- Qi, S.; Zhao, B.; Tang, H.; Jiang, X. Determination of ascorbic acid, dopamine, and uric acid by a novel electrochemical sensor based on pristine graphene. Electrochim. Acta 2015, 161, 395–402. [Google Scholar] [CrossRef]
- Li, Y.; Lin, H.; Peng, H.; Qi, R.; Luo, C. A glassy carbon electrode modified with MoS2 nanosheets and poly(3,4-ethylenedioxythiophene) for simultaneous electrochemical detection of ascorbic acid, dopamine and uric acid. Microchim. Acta 2016, 183, 2517–2523. [Google Scholar] [CrossRef]
- Zhu, C.; Zeng, Z.; Li, H.; Li, F.; Fan, C.; Zhang, H. Single-layer MoS2-based nanoprobes for homogeneous detection of biomolecules. J. Am. Chem. Soc. 2013, 135, 5998–6001. [Google Scholar] [CrossRef] [PubMed]
- Yang, T.; Chen, H.; Jing, C.; Luo, S.; Li, W.; Jiao, K. Using poly(m-aminobenzenesulfonic acid)-reduced MoS2 nanocomposite synergistic electrocatalysis for determination of dopamine. Sens. Actuators B 2017, 249, 451–457. [Google Scholar] [CrossRef]
- Chia, X.; Pumera, M. Characteristics and performance of two-dimensional materials for electrocatalysis. Nat. Catal. 2018, 1, 909–921. [Google Scholar] [CrossRef]
- Yang, L.; Liu, D.; Huang, J.; You, T. Simultaneous determination of dopamine, ascorbic acid and uric acid at electrochemically reduced graphene oxide modified electrode. Sens. Actuators B 2014, 193, 166–172. [Google Scholar] [CrossRef]
- Taylor, I.M.; Robbins, E.M.; Catt, K.A.; Cody, P.A.; Happe, C.L.; Cui, X.T. Enhanced dopamine detection sensitivity by PEDOT/graphene oxide coating on in vivo carbon fiber electrodes. Biosens. Bioelectron. 2017, 89, 400–410. [Google Scholar] [CrossRef] [PubMed]
- Chen, H.-Y.; Wang, J.; Meng, L.; Yang, T.; Jiao, K. Thin-layered MoS2/polyaniline nanocomposite for highly sensitive electrochemical detection of chloramphenicol. Chin. Chem. Lett. 2016, 27, 231–234. [Google Scholar] [CrossRef]
- Pramoda, K.; Moses, K.; Maitra, U.; Rao, C.N.R. Superior performance of a MoS2-RGO composite and a borocarbonitride in the electrochemical detection of dopamine, uric acid and adenine. Electroanalysis 2015, 27, 1892–1898. [Google Scholar] [CrossRef]
- Hun, X.; Wang, S.; Wang, S.; Zhao, J.; Luo, X. A photoelectrochemical sensor for ultrasensitive dopamine detection based on single-layer NanoMoS2 modified gold electrode. Sens. Actuators B 2017, 249, 83–89. [Google Scholar] [CrossRef]
- Yadav, D.K.; Ganesan, V.; Sonkar, P.K.; Gupta, R.; Rastogi, P.K. Electrochemical investigation of gold nanoparticles incorporated zinc based metal-organic framework for selective recognition of nitrite and nitrobenzene. Electrochim. Acta 2016, 200, 276–282. [Google Scholar] [CrossRef]
- Lin, P.; Chai, F.; Zhang, R.; Xu, G.; Fan, X.; Luo, X. Electrochemical synthesis of poly(3,4-ethylenedioxythiophene) doped with gold nanoparticles, and its application to nitrite sensing. Microchim. Acta 2016, 183, 1235–1241. [Google Scholar] [CrossRef]
- Chen, H.; Yang, T.; Liu, F.; Li, W. Electrodeposition of gold nanoparticles on Cu-based metal-organic framework for the electrochemical detection of nitrite. Sens. Actuators B 2019, 286, 401–407. [Google Scholar] [CrossRef]
- Wang, Y.; Wang, L.; Chen, H.; Hu, X.; Ma, S. Fabrication of highly sensitive and stable hydroxylamine electrochemical sensor based on gold nanoparticles and metal-metalloporphyrin framework modified electrode. ACS Appl. Mater. Interfaces 2016, 8, 18173–18181. [Google Scholar] [CrossRef] [PubMed]
- Rezaei, B.; Havakeshian, E.; Ensafi, A.A. Decoration of nanoporous stainless steel with nanostructured gold via galvanic replacement reaction and its application for electrochemical determination of dopamine. Sens. Actuators B 2015, 213, 484–492. [Google Scholar] [CrossRef]
- Khan, M.Z.H.; Liu, X.Q.; Tang, Y.F.; Zhu, J.H.; Hu, W.P.; Liu, X.H. A glassy carbon electrode modified with a composite consisting of gold nanoparticle, reduced graphene oxide and poly(L-arginine) for simultaneous voltammetric determination of dopamine, serotonin and L-tryptophan. Microchim. Acta 2018, 185, 439. [Google Scholar] [CrossRef] [PubMed]
- Li, C.; Chen, X.J.; Zhang, Z.; Tang, J.L.; Zhang, B.L. Gold nanoparticle-DNA conjugates enhanced determination of dopamine by aptamer-based microcantilever array sensor. Sens. Actuators B 2018, 275, 25–30. [Google Scholar] [CrossRef]
- Mei, X.R.; Wei, Q.P.; Long, H.Y.; Yu, Z.M.; Deng, Z.J.; Meng, L.C.; Wang, J.; Luo, J.T.; Lin, C.T.; Ma, L.; et al. Long-term stability of Au nanoparticle-anchored porous boron-doped diamond hybrid electrode for enhanced dopamine detection. Electrochim. Acta 2018, 271, 84–91. [Google Scholar] [CrossRef]
- Yang, T.; Chen, H.; Qiu, Z.; Yu, R.; Luo, S.; Li, W.; Jiao, K. Direct vibrio DNA sensing adopting highly stable graphene-flavin mononucleotide aqueous dispersion modified interface. ACS Appl. Mater. Interfaces 2018, 10, 4540–4547. [Google Scholar] [CrossRef]
- Hu, L.; Ren, Y.; Yang, H.; Xu, Q. Fabrication of 3D hierarchical MoS2/polyaniline and MoS2/C architectures for lithium-ion battery applications. ACS Appl. Mater. Interfaces 2014, 6, 14644–14652. [Google Scholar] [CrossRef]
- Yao, Y.; Wen, Y.; Xu, J.; Zhang, L.; Duan, X. Application of commercial poly(3,4-ethylenedioxy-thiophene):poly(styrene sulfonate) for electrochemical sensing of dopamine. J. Serb. Chem. Soc. 2013, 78, 1397–1411. [Google Scholar] [CrossRef]
- Wang, P.; Li, Y.; Huang, X.; Wang, L. Fabrication of layer-by-layer modified multilayer films containing choline and gold nanoparticles and its sensing application for electrochemical determination of dopamine and uric acid. Talanta 2007, 73, 431–437. [Google Scholar] [CrossRef] [PubMed]
- Zhang, M.; Gong, K.; Zhang, H.; Mao, L. Layer-by-layer assembled carbon nanotubes for selective determination of dopamine in the presence of ascorbic acid. Biosens. Bioelectron. 2005, 20, 1270–1276. [Google Scholar] [CrossRef] [PubMed]
- Hammami, A.; Sahli, R.; Raouafi, N. Indirect amperometric sensing of dopamine using a redox-switchable naphthoquinone-terminated self-assembled monolayer on gold electrode. Microchim. Acta 2016, 183, 1137–1144. [Google Scholar] [CrossRef]
- Ma, L.; Zhang, Q.; Wu, C.; Zhang, Y.; Zeng, L. PtNi bimetallic nanoparticles loaded MoS2 nanosheets: Preparation and electrochemical sensing application for the detection of dopamine and uric acid. Anal. Chim. Acta 2019, 1055, 17–25. [Google Scholar] [CrossRef] [PubMed]
- Fritzen-Garcia, M.B.; Monteiro, F.F.; Cristofolini, T.; Acuña, J.J.S.; Zanetti-Ramos, B.G.; Oliveira, I.R.W.; Soldi, V.; Pasa, A.A.; Creczynski-Pasa, T.B. Characterization of horseradish peroxidase immobilized on PEGylated polyurethane nanoparticles and its application for dopamine detection. Sens. Actuators B 2013, 182, 264–272. [Google Scholar] [CrossRef]
- Zhang, Q.L.; Feng, J.X.; Wang, A.J.; Wei, J.; Lv, Z.Y.; Feng, J.J. A glassy carbon electrode modified with porous gold nanosheets for simultaneous determination of dopamine and acetaminophen. Microchim. Acta 2015, 182, 589–595. [Google Scholar] [CrossRef]
- Wang, J.; Yang, B.B.; Zhong, J.T.; Yan, B.; Zhang, K.; Zhai, C.Y.; Shiraishi, Y.; Du, Y.K.; Yang, P. Dopamine and uric acid electrochemical sensor based on a glassy carbon electrode modified with cubic Pd and reduced graphene oxide nanocomposite. J. Colloid Interface Sci. 2017, 497, 172–180. [Google Scholar] [CrossRef] [PubMed]
- Yang, R.; Zhao, J.; Chen, M.; Yang, T.; Luo, S.; Jiao, K. Electrocatalytic determination of chloramphenicol based on molybdenum disulfide nanosheets and self-doped polyaniline. Talanta 2015, 131, 619–623. [Google Scholar] [CrossRef] [PubMed]





| Electrode | Detection Method | Linear Range (μM) | Detection Limit (μM) | Reference |
|---|---|---|---|---|
| 3D-MoS2/rGO 1/Au@GCE | DPV | 0.3–198.3 | 0.11 | [3] |
| MoS2/PEDOT 2/GCE | DPV | 1–80 | 0.52 | [12] |
| PABSA-rMoS2 3/CPE | DPV | 1–50 | 0.22 | [14] |
| GO 4/GCE | DPV | 1–15 | 0.27 | [36] |
| porous AuNSs 5/GCE | DPV | 2–298 | 0.28 | [37] |
| Pd/rGO 1/GCE | DPV | 0.45–421 | 0.18 | [38] |
| MoS2/Au/CPE | DPV | 0.5–300 | 0.076 | This work |
| Sample No. | DA Added (μM) | DA Found (μM) | Recovery (%) | RSD (%) |
|---|---|---|---|---|
| 1 | 0 | Not found | – | – |
| 2 | 10 | 9.63 ± 0.42 | 96.3 ± 4.2 | 4.2 |
| 3 | 20 | 20.8 ± 0.62 | 104 ± 3.1 | 3.5 |
| 4 | 40 | 38.9 ± 1.45 | 97.3 ± 3.6 | 3.8 |
© 2019 by the authors. Licensee MDPI, Basel, Switzerland. This article is an open access article distributed under the terms and conditions of the Creative Commons Attribution (CC BY) license (http://creativecommons.org/licenses/by/4.0/).
Share and Cite
Chen, H.; Chen, H.; Hong, R. Fabrication of Au Nanoparticle-Decorated MoS2 Nanoslices as Efficient Electrocatalysts for Electrochemical Detection of Dopamine. Catalysts 2019, 9, 653. https://doi.org/10.3390/catal9080653
Chen H, Chen H, Hong R. Fabrication of Au Nanoparticle-Decorated MoS2 Nanoslices as Efficient Electrocatalysts for Electrochemical Detection of Dopamine. Catalysts. 2019; 9(8):653. https://doi.org/10.3390/catal9080653
Chicago/Turabian StyleChen, Huaiyin, Huaijin Chen, and Ruoyu Hong. 2019. "Fabrication of Au Nanoparticle-Decorated MoS2 Nanoslices as Efficient Electrocatalysts for Electrochemical Detection of Dopamine" Catalysts 9, no. 8: 653. https://doi.org/10.3390/catal9080653
APA StyleChen, H., Chen, H., & Hong, R. (2019). Fabrication of Au Nanoparticle-Decorated MoS2 Nanoslices as Efficient Electrocatalysts for Electrochemical Detection of Dopamine. Catalysts, 9(8), 653. https://doi.org/10.3390/catal9080653

