Recent Development of Heterogeneous Catalysis in the Transesterification of Glycerol to Glycerol Carbonate
Abstract
1. Introduction
2. Heterogeneous Catalysis in the Transesterification of Glycerol to Glycerol Carbonate
2.1. Alkaline Earth Metal Oxides Catalyzed Transesterification of Glycerol
2.1.1. MgO Catalyzed Transesterification of Glycerol
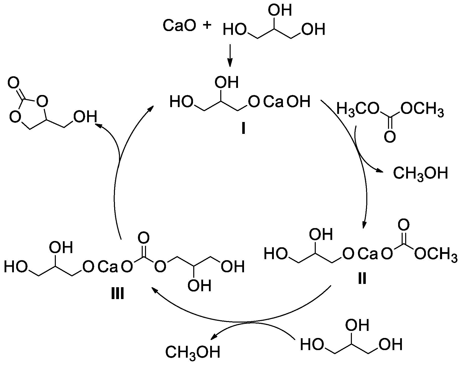
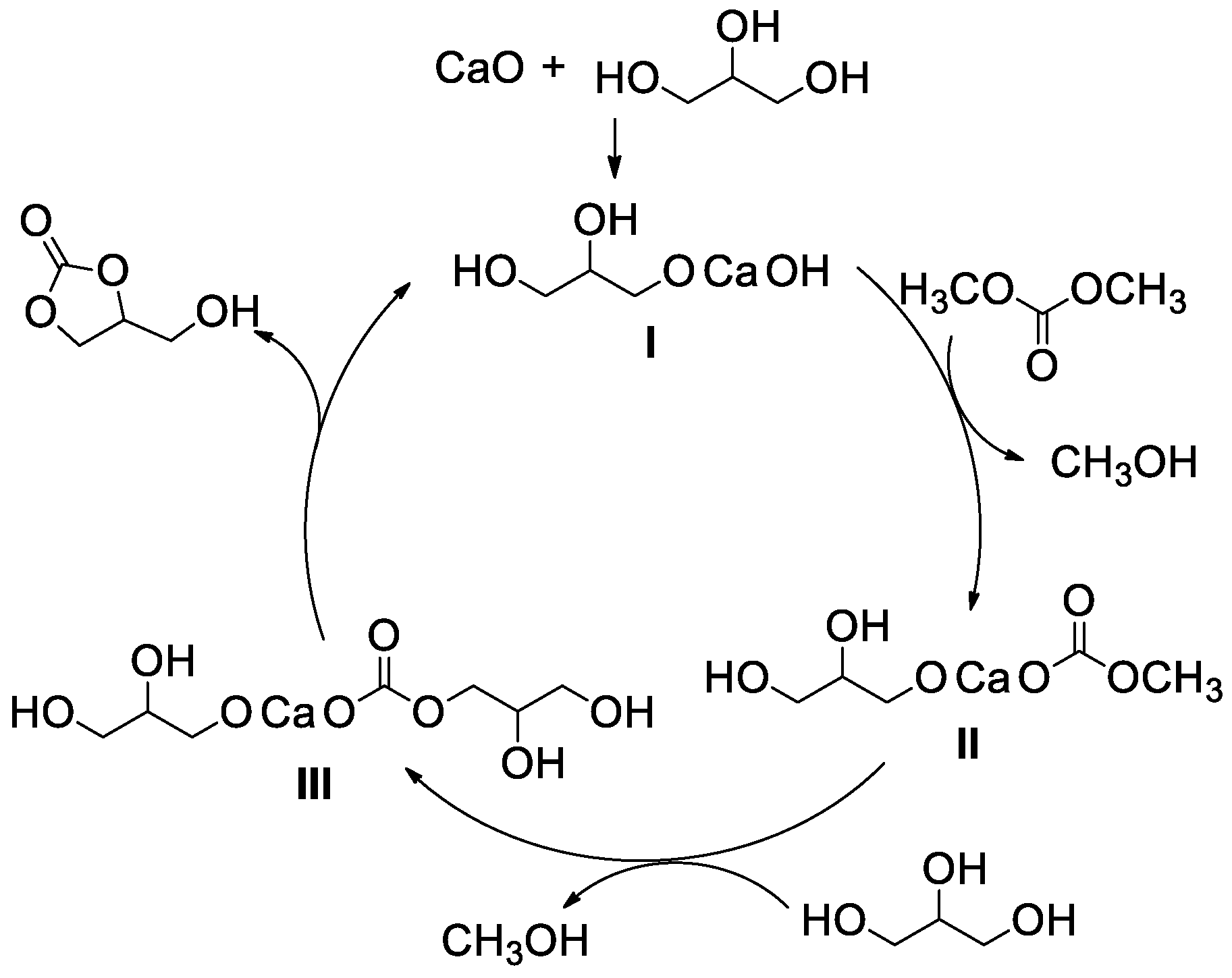
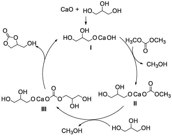
2.1.2. CaO-Catalyzed Transesterification of Glycerol
2.1.3. Mixed Oxides Catalyzed Transesterification of Glycerol
2.2. Hydrotalcite Catalyzed Transesterification of Glycerol
2.3. Other Inorganic Base Catalyzed Transesterification of Glycerol
2.3.1. NaAlO2 Catalyzed Transesterification of Glycerol
2.3.2. Na2SiO3-Catalyzed Transesterification of Glycerol
2.3.3. Zeolite/Clinoptilolite-Catalyzed Transesterification of Glycerol
2.3.4. Others
2.4. Heterogeneous Organocatalysis for Transesterification of Glycerol
3. Future Prospects of Heterogeneous Catalysis in the Transesterification of Glycerol
4. Conclusions
Funding
Conflicts of Interest
References
- Boey, P.-L.; Maniam, G.P.; Hamid, S.A. Performance of calcium oxide as a heterogeneous catalyst in biodiesel production: A review. Chem. Engin. J. 2011, 168, 15–22. [Google Scholar] [CrossRef]
- Babajide, O. Sustaining biodiesel production via value-added applications of glycerol. J. Energy 2013, 2013. [Google Scholar] [CrossRef]
- Mardhiah, H.H.; Ong, H.C.; Masjuki, H.H.; Lim, S.; Lee, H.V. A review on latest developments and future prospects of heterogeneous catalyst in biodiesel production from non-edible oils. Renew. Sustain. Energy Rev. 2017, 67, 1225–1236. [Google Scholar] [CrossRef]
- Abdullah, S.H.Y.S.; Hanapi, N.H.M.; Azid, A.; Umar, R.; Juahir, H.; Khatoon, H.; Endut, A. A review of biomass-derived heterogeneous catalyst for a sustainable biodiesel production. Renew. Sustain. Energy Rev. 2017, 70, 1040–1051. [Google Scholar] [CrossRef]
- Xu, C.; Xu, Q. Novel design for simultaneous production of biodiesel and glycerol carbonate from soybean oil. Ind. Eng. Chem. Res. 2018, 57, 16809–16816. [Google Scholar] [CrossRef]
- Nda-Umar, U.I.; Ramli, I.; Taufiq-Yap, Y.H.; Muhamad, E.N. An overview of recent research in the conversionof glycerol into biofuels, fuel additives and otherbio-based chemicals. Catalysts 2019, 9, 15–61. [Google Scholar] [CrossRef]
- Veluturla, S.; Archna, N.; Rao, D.S.; Hezil, N.; Indraja, I.S.; Spoorthi, S. Catalytic valorization of raw glycerol derived from biodiesel: A review. Biofuels 2018, 9, 305–314. [Google Scholar] [CrossRef]
- Zhou, C.H.; Zhao, H.; Tong, D.S.; Wu, L.M.; Yu, W.H. Recent advances in catalytic conversion of glycerol. Catal. Rev. 2013, 55, 369–453. [Google Scholar] [CrossRef]
- Dodekatos, G.; Schünemann, S.; Tüysüz, H. Recent advances in thermo-, photo-, and electrocatalytic glycerol oxidation. ACS Catal. 2018, 8, 6301–6333. [Google Scholar] [CrossRef]
- Chan-Thaw, C.E.; Campisi, S.; Wang, D.; Prati, L.; Villa, A. Selective oxidation of raw glycerol using supported AuPd nanoparticles. Catalysts 2015, 5, 131–144. [Google Scholar] [CrossRef]
- Huang, L.; Sun, J.-Y.; Cao, S.-H.; Zhan, M.; Ni, Z.-R.; Sun, H.-J.; Chen, Z.; Zhou, Z.-Y.; Sorte, E.G.; Tong, Y.J.; et al. Combined EC-NMR and in situ FTIR spectroscopic studies of glycerol electrooxidation on Pt/C, PtRu/C, and PtRh/C. ACS Catal. 2016, 6, 7686–7695. [Google Scholar] [CrossRef]
- Sun, D.; Yamada, Y.; Sato, S.; Ueda, W. Glycerol hydrogenolysis into useful C3 chemicals. Appl. Catal. B Environ. 2016, 193, 75–92. [Google Scholar] [CrossRef]
- Feng, J.; Zhang, Y.; Xiong, W.; Ding, H.; He, B. Hydrogenolysis of glycerol to 1,2-propanediol and ethylene glycol over Ru-Co/ZrO2 catalysts. Catalysts 2016, 6, 51–63. [Google Scholar] [CrossRef]
- Rosas, I.P.; Contreras, J.L.; Salmones, J.; Tapia, C.; Zeifert, B.; Navarrete, J.; Vázquez, T.; García, D.C. Catalytic dehydration of glycerol to acrolein over a catalyst of Pd/LaY zeolite and comparison with the chemical equilibrium. Catalysts 2017, 7, 73–101. [Google Scholar] [CrossRef]
- Sun, S.; He, M.; Dai, Y.; Li, X.; Liu, Z.; Yao, L. Catalytic acetalization: An efficient strategy for high-value utilization of biodiesel-derived glycerol. Catalysts 2017, 7, 184–194. [Google Scholar] [CrossRef]
- Ochoa-Gómez, J.R.; Gómez-Jiménez-Aberasturi, O.; Ramírez-López, C.; Belsué, M. A brief review on industrial alternatives for the manufacturing of glycerol carbonate, a green chemical. Org. Process Res. Dev. 2012, 16, 389–399. [Google Scholar] [CrossRef]
- Teng, W.K.; Ngoh, G.C.; Yusoff, R.; Aroua, M.K. A review on the performance of glycerol carbonate production via catalytic transesterification: effects of influencing parameters. Energy Convers. Manag. 2014, 88, 484–497. [Google Scholar] [CrossRef]
- Galadima, A.; Muraza, O. Sustainable production of glycerol carbonate from by-product in biodiesel plant. Waste Biom. Valor 2017, 8, 141–152. [Google Scholar] [CrossRef]
- Christy, S.; Noschese, A.; Lomelí-Rodriguez, M.; Greeves, N.; Lopez-Sanchez, J.A. Recent progress in the synthesis and applications of glycerol carbonate. Curr. Opin. Green Sustain. Chem. 2018, 14, 99–107. [Google Scholar] [CrossRef]
- Shaikh, A.-A.G.; Sivaram, S. Organic carbonates. Chem. Rev. 1996, 96, 951–976. [Google Scholar] [CrossRef]
- Kovvali, A.S.; Sirkar, K.K. Carbon dioxide separation with novel solvents as liquid membranes. Ind. Eng. Chem. Res. 2002, 41, 2287–2295. [Google Scholar] [CrossRef]
- Sonnati, M.O.; Amigoni, S.; de Givenchy, E.P.T.; Darmanin, T.; Choulet, O.; Guittard, F. Glycerol carbonate as a versatile building blockfor tomorrow: Synthesis, reactivity, propertiesand applications. Green Chem. 2013, 15, 283–306. [Google Scholar] [CrossRef]
- Fiorani, G.; Perosa, A.; Selva, M. Dimethyl carbonate: A versatile reagent for asustainable valorization of renewable. Green Chem. 2018, 20, 288–322. [Google Scholar] [CrossRef]
- Szőri, M.; Giri, B.R.; Wang, Z.; Dawood, A.E.; Viskolcz, B.; Farooq, A. Glycerol carbonate as fuel additive for sustainable future. Sustain. Energy Fuels 2018, 2, 2171–2178. [Google Scholar] [CrossRef]
- Parzuchowski, P.G.; Świderska, A.; Roguszewska, M.; Frączkowski, T.; Tryznowski, M. Amine functionalized polyglycerols obtained by copolymerization of cyclic carbonate monomers. Polymer 2018, 151, 250–260. [Google Scholar] [CrossRef]
- Vieville, C.; Yoo, J.W.; Pelet, S.; Mouloungui, Z. Synthesis of glycerol carbonate by direct carbonatation of glycerolin supercritical CO2 in the presence of zeolites and ion exchangeresins. Catal. Lett. 1998, 56, 245–247. [Google Scholar] [CrossRef]
- Li, H.; Gao, D.; Gao, P.; Wang, F.; Zhao, N.; Xiao, F.; Wei, W.; Sun, Y. The synthesis of glycerol carbonate from glycerol and CO2 over La2O2CO3–ZnO catalysts. Catal. Sci. Technol. 2013, 3, 2801–2809. [Google Scholar] [CrossRef]
- Su, X.; Lin, W.; Cheng, H.; Zhang, C.; Wang, Y.; Yu, X.; Wu, Z.; Zhao, F. Metal-free catalytic conversion of CO2 and glycerol to glycerol carbonate. Green Chem. 2017, 19, 1775–1781. [Google Scholar] [CrossRef]
- Hu, J.; Li, J.; Gu, Y.; Guan, Z.; Mo, W.; Ni, Y.; Li, T.; Li, G. Oxidative carbonylation of glycerol to glycerol carbonate catalyzed by PdCl2(phen)/KI. Appl. Catal. A Gen. 2010, 386, 188–193. [Google Scholar] [CrossRef]
- Mizuno, T.; Nakai, T.; Mihara, M. New synthesis of glycerol carbonate from glycerol using sulfur-assisted carbonylation with carbon monoxide. Heteroatom Chem. 2010, 21, 99–102. [Google Scholar] [CrossRef]
- Srinivas, M.; Raveendra, G.; Parameswaram, G.; Prasad, P.S.S.; Loridant, S.; Lingaiah, N. Understanding the surface and structural characteristics of tungsten oxide supported on tin oxide catalysts for the conversion of glycerol. J. Chem. Sci. 2015, 127, 897–908. [Google Scholar] [CrossRef]
- Aresta, M.; Dibenedetto, A.; Nocito, F.; Ferragin, C. Valorization of bio-glycerol: New catalytic materials for the synthesis of glycerol carbonate via glycerolysis of urea. J. Catal. 2009, 268, 106–114. [Google Scholar] [CrossRef]
- Climent, M.J.; Corma, A.; De Frutos, P.; Iborra, S.; Noy, M.; Velty, A.; Concepción, P. Chemicals from biomass: Synthesis of glycerol carbonate by transesterification and carbonylation with urea with hydrotalcite catalysts. the role of acid–base pairs. J. Catal. 2010, 269, 140–149. [Google Scholar] [CrossRef]
- Chaves, D.M.; Da Silva, M.J. A selective synthesis of glycerol carbonate from glycerol and urea over Sn(OH)2: A solid and recyclable in situ generated catalyst. New J. Chem. 2019, 43, 3698–3706. [Google Scholar] [CrossRef]
- Kumar, C.R.; Jagadeeswaraiah, K.; Prasad, P.S.S.; Lingaiah, N. Samarium-exchanged heteropoly tungstate: An efficient solid acid catalyst for the synthesis of glycerol carbonate from glycerol and benzylation of anisole. ChemCatChem 2012, 4, 1360–1367. [Google Scholar] [CrossRef]
- Guidi, S.; Calmanti, R.; Noè, M.; Perosa, A.; Selva, M. Thermal (catalyst-free) transesterification of diols and glycerol withdimethyl carbonate: A flexible reaction for batch and continuous-flow applications. ACS Sustain. Chem. Eng. 2016, 4, 6144–6151. [Google Scholar] [CrossRef]
- Ochoa-Gómez, J.R.; Gómez-Jiménez-Aberasturi, O.; Maestro-Madurga, B.; Pesquera-Rodríguez, A.; Ramírez-López, C.; Lorenzo-Ibarreta, L.; Torrecilla-Soria, J.; Villarán-Velasco, M.C. Synthesisof glycerol carbonate from glycerol and dimethyl carbonate bytransesterification: Catalyst screening and reaction optimization. Appl. Catal. A Gen. 2009, 366, 315–324. [Google Scholar] [CrossRef]
- Ishak, Z.I.; Sairi, N.A.; Alias, Y.; Aroua, M.K.T.; Yusoff, R. A review of ionic liquids as catalysts for transesterification reactions of biodiesel and glycerol carbonate production. Catal. Rev. 2017, 59, 44–93. [Google Scholar] [CrossRef]
- Ochoa-Gómez, J.R.; Gómez-Jiménez-Aberasturi, O.; Ramírez-López, C.; Maestro-Madurga, B. Synthesis of glycerol 1,2-carbonate by transesterification of glycerol with dimethyl carbonate using triethylamine as a facile separable homogeneous catalyst. Green Chem. 2012, 14, 3368–3376. [Google Scholar] [CrossRef]
- Nogueira, D.O.; de Souza, S.P.; Leão, R.A.C.; Miranda, L.S.M.; de Souza, R.O.M.A. Process intensification for tertiary amine catalyzed glycerol carbonate production: Translating microwave irradiation to a continuous-flow process. RSC Adv. 2015, 5, 20945–20950. [Google Scholar] [CrossRef]
- Du, Y.; Gao, J.; Kong, W.; Zhou, L.; Ma, L.; He, Y.; Huang, Z.; Jiang, Y. Enzymatic synthesis of glycerol carbonate using a lipaseimmobilized on magnetic organosilica nanoflowers as a catalyst. ACS Omega 2018, 3, 6642–6650. [Google Scholar] [CrossRef] [PubMed]
- Li, J.; Wang, T. Chemical equilibrium of glycerol carbonate synthesis from glycerol. J. Chem. Thermodyn. 2011, 43, 731–736. [Google Scholar] [CrossRef]
- Pan, S.; Zheng, L.; Nie, R.; Xia, S.; Chen, P.; Hou, Z. Transesterification of glycerol with dimethyl carbonate to glycerol carbonate over Na–based zeolites. Chin. J. Catal. 2012, 33, 1772–1777. [Google Scholar] [CrossRef]
- Bancquart, S.; Vanhove, C.; Pouilloux, Y.; Barrault, J. Glycerol transesterification with methyl stearate over solid basic catalysts: I. relationship between activity and basicity. Appl. Catal. A Gen. 2001, 218, 1–11. [Google Scholar] [CrossRef]
- Li, Y.; Shen, W. Morphology-dependent nanocatalysts: Rod-shaped oxides. Chem. Soc. Rev. 2014, 43, 1543–1574. [Google Scholar] [CrossRef] [PubMed]
- Ding, Y.; Zhang, G.; Wu, H.; Hai, B.; Wang, L.; Qian, Y. Nanoscale magnesium hydroxide and magnesium oxide powders: Control over size, shape, and structure via hydrothermal synthesis. Chem. Mater. 2001, 13, 435–440. [Google Scholar] [CrossRef]
- Bian, S.-W.; Baltrusaitis, J.; Galhotra, P.; Grassian, V.H. A template-free, thermal decomposition method to synthesize mesoporous MgO with a nanocrystalline framework and its application in carbon dioxide adsorption. J. Mater. Chem. 2010, 20, 8705–8710. [Google Scholar] [CrossRef]
- Zhang, X.; Zheng, Y.; Yang, H.; Wang, Q.; Zhang, Z. Controlled synthesis of mesocrystal magnesiumoxide parallelogram and its catalytic performance. CrystEngComm 2015, 17, 2642–2650. [Google Scholar] [CrossRef]
- Zhang, X.; Zheng, Y.; Yang, H.; Wang, Q.; Zhang, Z. Shape evolution of parallelogrammic magnesium oxalate controlled by phosphate species. RSC Adv. 2015, 5, 63034–63043. [Google Scholar] [CrossRef]
- Zheng, Y.; Zhang, X.; Wang, X.; Wang, Q.; Bai, Z.; Zhang, Z. Morphological and surface structural evolutions of MgO particles from parallelograms to rods. CrystEngComm 2016, 18, 2612–2616. [Google Scholar] [CrossRef]
- Takagaki, A.; Iwatani, K.; Nishimura, S.; Ebitani, K. Synthesis of glycerol carbonate from glycerol and dialkyl carbonates using hydrotalcite as a reusable heterogeneous base catalyst. Green Chem. 2010, 12, 578–581. [Google Scholar] [CrossRef]
- Chang, C.-W.; Gong, Z.-J.; Huang, N.-C.; Wang, C.-Y.; Yu, W.-Y. MgO nanoparticles confined in ZIF-8 as acid-base bifunctional catalysts for enhanced glycerol carbonate production from transesterification of glycerol and dimethyl carbonate. Catal. Today 2019. [Google Scholar] [CrossRef]
- Simanjuntak, F.S.H.; Lim, S.R.; Ahn, B.S.; Kim, H.S.; Lee, H. Surfactant-assisted synthesis of MgO: Characterization and catalyticactivity on the transesterification of dimethyl carbonate with glycerol. Appl. Catal. A Gen. 2014, 484, 33–38. [Google Scholar] [CrossRef]
- Bai, Z.; Zheng, Y.; Han, W.; Ji, Y.; Yan, T.; Tang, Y.; Chen, G.; Zhang, Z. Development of trapezoidal MgO catalyst for high-efficient transesterification of glycerol and dimethyl carbonate. CrystEngComm 2018, 20, 4090–4098. [Google Scholar] [CrossRef]
- Chizallet, C.; Lazare, S.; Bazer-Bachi, D.; Bonnier, F.; Lecocq, V.; Soyer, E.; Quoineaud, A.-A.; Bats, N. Catalysis of transesterification by a nonfunctionalized metal−organic framework: Acido-basicity at the external surface of ZIF-8 probed by FTIR and ab initio calculations. J. Am. Chem. Soc. 2010, 132, 12365–12377. [Google Scholar] [CrossRef]
- Zhou, X.; Zhang, H.P.; Wang, G.Y.; Yao, Z.G.; Tang, Y.R.; Zheng, S.S. Zeolitic imidazolate framework as efficient heterogeneous catalyst for the synthesis of ethyl methyl carbonate. J. Mol. Catal. A Chem. 2013, 366, 43–47. [Google Scholar] [CrossRef]
- Mc Guire, C.V.; Forgan, R.S. The surface chemistry of metal–organic frameworks. Chem. Commun. 2015, 51, 5199–5217. [Google Scholar] [CrossRef]
- Li, J.; Wang, T. On the deactivation of alkali solid catalysts for the synthesis of glycerol carbonate from glycerol and dimethyl carbonate. Reac. Kinet. Mech. Cat. 2011, 102, 113–126. [Google Scholar] [CrossRef]
- Kouzu, M.; Kasuno, T.; Tajika, M.; Yamanaka, S.; Hidaka, J. Active phase of calcium oxide used as solid base catalyst for transesterification of soybean oil with refluxing methanol. Appl. Catal. A Gen. 2008, 334, 357–365. [Google Scholar] [CrossRef]
- Granados, M.L.; Alonso, D.M.; Sádaba, I.; Mariscal, R.; Ocón, P. Leaching and homogeneous contribution in liquid phase reaction catalysed by solids: The case of triglycerides methanolysis using CaO. Appl. Catal. B Environ. 2009, 89, 265–272. [Google Scholar] [CrossRef]
- Simanjuntak, F.S.H.; Kim, T.K.S.; Lee, D.; Ahn, B.S.; Kim, H.S.; Lee, H. CaO-catalyzed synthesis of glycerol carbonate from glycerol and dimethylcarbonate: Isolation and characterization of an active Ca species. Appl. Catal. A Gen. 2011, 401, 220–225. [Google Scholar] [CrossRef]
- Hu, K.; Wang, H.; Liu, Y.; Yang, C. KNO3/CaO as cost-effective heterogeneous catalyst for the synthesis of glycerol carbonate from glycerol and dimethyl carbonate. J. Ind. Eng. Chem. 2015, 28, 334–343. [Google Scholar] [CrossRef]
- Tang, Y.; Xue, Y.; Li, Z.; Yan, T.; Zhou, R.; Zhang, Z. Heterogeneous synthesis of glycerol carbonate from glycerol and dimethyl carbonate catalyzed by LiCl/CaO. J. Saudi Chem. Soc. 2019, 23, 494–502. [Google Scholar] [CrossRef]
- Li, J.; Wang, T. Coupling reaction and azeotropic distillation for the synthesis of glycerol carbonate from glycerol and dimethyl carbonate. Chem. Eng. Process. 2010, 49, 530–535. [Google Scholar] [CrossRef]
- Wang, H.; Pang, L.; Yang, C.; Liu, Y. Production of glycerol carbonate via reactive distillation and extractive distillation: An experimental study. Chin. J. Chem. Eng. 2015, 23, 1469–1474. [Google Scholar] [CrossRef]
- Roschat, W.; Phewphong, S.; Kaewpuang, T.; Promarak, V. Synthesis of glycerol carbonate from transesterification of glycerolwith dimethyl carbonate catalyzed by CaO from natural sources asgreen and economical catalyst. Mater. Today Proc. 2018, 5, 13909–13915. [Google Scholar] [CrossRef]
- Khayoon, M.S.; Hameed, B.H. Mg1+xCa1−xO2 as reusable and efficient heterogeneous catalyst for the synthesis of glycerol carbonate via the transesterification of glycerol with dimethyl carbonate. Appl. Catal. A Gen. 2013, 466, 272–281. [Google Scholar] [CrossRef]
- Algoufi, Y.T.; Kabir, G.; Hameed, B.H. Synthesis of glycerol carbonate from biodiesel by-product glycerol over calcined dolomite. J. Taiwan Inst. Chem. Eng. 2017, 70, 179–187. [Google Scholar] [CrossRef]
- Liu, P.; Derchi, M.; Hensen, E.J.M. Synthesis of glycerol carbonate by transesterification of glycerol with dimethyl carbonate over MgAl mixed oxide catalysts. Appl. Catal. A Gen. 2013, 467, 124–131. [Google Scholar] [CrossRef]
- Fan, H.; Liu, X.; Chen, S. Synthesis of glycerol carbonate by transesterification of glycerol with dimethyl carbonate over Mg-Al mixed oxides supported on MCM-41. Adv. Mater. Res. 2014, 1008–1009, 319–322. [Google Scholar] [CrossRef]
- Malyaadri, M.; Jagadeeswaraiah, K.; Prasad, P.S.S.; Lingaiah, N. Synthesis of glycerol carbonate by transesterification of glycerol with dimethyl carbonate over Mg/Al/Zr catalysts. Appl. Catal. A Gen. 2011, 401, 153–157. [Google Scholar] [CrossRef]
- Manikandan, M.; Prabu, M.; Kumar, S.K.A.; Sangeetha, P.; Vijayaraghavan, R. Tuning the basicity of Cu-based mixed oxide catalysts towards the efficient conversion of glycerol to glycerol carbonate. Mol. Catal. 2018, 460, 53–62. [Google Scholar] [CrossRef]
- Zheng, L.; Xia, S.; Lu, X.; Hou, Z. Transesterification of glycerol with dimethyl carbonate over calcined Ca-Al hydrocalumite. Chin. J. Catal. 2015, 36, 1759–1765. [Google Scholar] [CrossRef]
- Lu, P.; Wang, H.; Hu, K. Synthesis of glycerol carbonate from glycerol and dimethyl carbonate over the extruded CaO-based catalyst. Chem. Eng. J. 2013, 228, 147–154. [Google Scholar] [CrossRef]
- Algoufi, Y.T.; Akpan, U.G.; Kabir, G.; Asif, M.; Hameed, B.H. Upgrading of glycerol from biodiesel synthesis with dimethyl carbonate on reusable Sr–Al mixed oxide catalysts. Energy Convs. Manag. 2017, 138, 183–189. [Google Scholar] [CrossRef]
- Liu, Z.; Wang, J.; Kang, M.; Yin, N.; Wang, X.; Tan, Y.; Zhu, Y. Structure-activity correlations of LiNO3/Mg4AlO5.5 catalysts for glycerol carbonate synthesis from glycerol and dimethyl carbonate. J. Ind. Eng. Chem. 2015, 21, 394–399. [Google Scholar] [CrossRef]
- Song, X.; Wu, Y.; Cai, F.; Pan, D.; Xiao, G. High-efficiency and low-cost Li/ZnO catalysts for synthesis of glycerol carbonate from glycerol transesterification: The role of Li and ZnO interaction. Appl. Catal. A Gen. 2017, 532, 77–85. [Google Scholar] [CrossRef]
- Li, Y.; Liu, J.; He, D. Catalytic synthesis of glycerol carbonate from biomass-based glycerol and dimethyl carbonate over Li-La2O3 Catalysts. Appl. Catal. A Gen. 2018, 564, 234–242. [Google Scholar] [CrossRef]
- Bai, R.; Wang, Y.; Wang, S.; Mei, F.; Li, T.; Li, G. Synthesis of glycerol carbonate from glycerol and dimethyl carbonate catalyzed by NaOH/γ-Al2O3. Fuel Process. Technol. 2013, 106, 209–214. [Google Scholar] [CrossRef]
- Sandesh, S.; Shanbhag, G.V.; Halgeri, A.B. Transesterification of glycerol to glycerol carbonate using KF/Al2O3 catalyst: The role of support and basicity. Catal. Lett. 2013, 143, 1226–1234. [Google Scholar] [CrossRef]
- Song, X.; Pan, D.; Wu, Y.; Cheng, P.; Wei, R.; Gao, L.; Zhang, J.; Xiao, G. Synthesis of glycerol carbonate over porous La-Zr based catalysts: The role of strong and super basic sites. J. Alloys Compd. 2018, 750, 828–837. [Google Scholar] [CrossRef]
- Varkolu, M.; Burri, D.R.; Kamaraju, S.R.R.; Jonnalagadda, S.B.; Van Zyl, W.E. Transesterification of glycerol with dimethyl carbonate over nanocrystalline ordered mesoporous MgO–ZrO2 solid base catalyst. J. Porous Mater. 2016, 23, 185–193. [Google Scholar] [CrossRef]
- Parameswaram, G.; Srinivas, M.; Babu, B.H.; Prasad, P.S.S.; Lingaiah, N. Transesterification of glycerol with dimethyl carbonate for the synthesis of glycerol carbonate over Mg/Zr/Sr mixed oxide base catalysts. Catal. Sci. Technol. 2013, 3, 3242–3249. [Google Scholar] [CrossRef]
- Devi, P.; Das, U.; Dalai, A.K. Production of glycerol carbonate using a novel Ti-SBA-15 catalyst. Chem. Eng. J. 2018, 346, 477–488. [Google Scholar] [CrossRef]
- Simanjuntak, F.S.H.; Widyaya, V.T.; Kim, C.S.; Ahn, B.S.; Kim, Y.J.; Lee, H. Synthesis of glycerol carbonate from glycerol and dimethyl carbonate using magnesium–lanthanum mixed oxide catalyst. Chem. Eng. Sci. 2013, 94, 265–270. [Google Scholar] [CrossRef]
- Kumar, P.; With, P.; Srivastava, V.C.; Gläser, R.; Mishra, I.M. Glycerol carbonate synthesis by hierarchically structured catalysts: Catalytic activity and characterization. Ind. Eng. Chem. Res. 2015, 54, 12543–12552. [Google Scholar] [CrossRef]
- Singh, D.; Reddy, B.; Ganesh, A.; Mahajani, S. Zinc/lanthanum mixed-oxide catalyst for the synthesis of glycerol carbonate by transesterification of glycerol. Ind. Eng. Chem. Res. 2014, 53, 18786–18795. [Google Scholar] [CrossRef]
- Parameswaram, G.; Rao, P.S.N.; Srivani, A.; Rao, G.N.; Lingaiah, N. Magnesia-ceria mixed oxide catalysts for the selective transesterification of glycerol to glycerol carbonate. Mol. Catal. 2018, 451, 135–142. [Google Scholar] [CrossRef]
- Wu, Y.; Song, X.; Zhang, J.; Li, S.; Yang, X.; Wang, H.; Wei, R.; Gao, L.; Zhang, J.; Xiao, G. Synthesis of glycerol carbonate from glycerol and diethyl carbonate over CeO2-CdO catalyst: The role of Ce4+ doped into CdO lattice. J. Taiwan Inst. Chem. Eng. 2018, 87, 131–139. [Google Scholar] [CrossRef]
- Wu, Y.; Song, X.; Cai, F.; Xiao, G. Synthesis of glycerol carbonate from glycerol and diethyl carbonate over Ce-NiO catalyst: The role of multiphase Ni. J. Alloys Compd. 2017, 720, 360–368. [Google Scholar] [CrossRef]
- Lim, S.R.; Lee, S.D.; Kim, H.S.; Simanjuntak, F.S.H.; Lee, H. Lanthanum oxide-catalyzed transesterification of dimethyl carbonate with glycerol: Effect of surfactant. Bull. Korean Chem. Soc. 2014, 35, 3163–3168. [Google Scholar] [CrossRef][Green Version]
- Kondawar, S.E.; Patil, C.R.; Rode, C.V. Tandem synthesis of glycidol via transesterification of glycerol with DMC over Ba-mixed metal oxide catalysts. ACS Sustain. Chem. Eng. 2017, 5, 1763–1774. [Google Scholar] [CrossRef]
- Alvarez, M.G.; Segarra, A.M.; Contreras, S.; Sueiras, J.E.; Medina, F.; Figueras, F. Enhanced use of renewable resources: Transesterification of glycerol catalyzed by hydrotalcite-like compounds. Chem. Eng. J. 2010, 161, 340–345. [Google Scholar] [CrossRef]
- Zheng, L.; Xia, S.; Hou, Z.; Zhang, M.; Hou, Z. Transesterification of glycerol with dimethyl carbonate over Mg-Al hydrotalcites. Chin. J. Catal. 2014, 35, 310–318. [Google Scholar] [CrossRef]
- Álvarez, M.G.; Frey, A.M.; Bitter, J.H.; Segarra, A.M.; de Jong, K.P.; Medin, F. On the role of the activation procedure of supported hydrotalcites for base catalyzed reactions: Glycerol to glycerol carbonate and self-condensation of acetone. Appl. Catal. B Environ. 2013, 134–135, 231–237. [Google Scholar] [CrossRef]
- Yadav, G.D.; Chandan, P.A. A green process for glycerol valorization to glycerol carbonate over heterogeneous hydrotalcite catalyst. Catal. Today 2014, 237, 47–53. [Google Scholar] [CrossRef]
- Álvarez, M.G.; Chimentão, R.J.; Figueras, F.; Medin, F. Tunable basic and textural properties of hydrotalcite derived materials for transesterification of glycerol. Appl. Clay Sci. 2012, 58, 16–24. [Google Scholar] [CrossRef]
- Álvarez, M.G.; Plíšková, M.; Segarra, A.M.; Medina, F.; Figueras, F. Synthesis of glycerol carbonates by transesterification of glycerol in a continuous system using supported hydrotalcites as catalysts. Appl. Catal. B Environ. 2012, 113–114, 212–220. [Google Scholar] [CrossRef]
- Liu, P.; Derchi, M.; Hensen, E.J.M. Promotional effect of transition metal doping on the basicity and activity of calcined hydrotalcite catalysts for glycerol carbonate synthesis. Appl. Catal. B Environ. 2014, 144, 135–143. [Google Scholar] [CrossRef]
- Hong, M.; Gao, L.; Xiao, G. An efficient and green transesterification of glycols into cyclic carbonates catalysed by KF/Ca–Mg–Al hydrotalcite. J. Chem. Res. 2014, 38, 679–681. [Google Scholar] [CrossRef]
- Kondawar, S.; Rode, C. Solvent-free glycerol transesterification with propylene carbonate to glycerol carbonate over a solid base catalyst. Energy Fuels 2017, 31, 4361–4371. [Google Scholar] [CrossRef]
- Zhang, X.; Wang, D.; Ma, J.; Wei, W. Fluorinated Mg–Al hydrotalcites derived basic catalysts for transesterification of glycerol with dimethyl carbonate. Catal. Lett. 2017, 147, 1181–1196. [Google Scholar] [CrossRef]
- Ramesh, S.; Debecker, D.P. Room temperature synthesis of glycerol carbonatecatalyzed by spray dried sodium aluminate microspheres. Catal. Commun. 2017, 97, 102–105. [Google Scholar] [CrossRef]
- Ramesh, S.; Devred, F.; van den Biggelaar, L.; Debecker, D.P. Hydrotalcite promoted by NaAlO2 as strongly basic catalysts withrecord activity in glycerol carbonate synthesis. ChemCatChem 2018, 10, 1398–1405. [Google Scholar] [CrossRef]
- Das, B.; Mohanty, K. A green and facile production of catalysts from waste red mud for the one-pot synthesis of glycerol carbonate from glycerol. J. Environ. Chem. Eng. 2019, 7, 102888–102898. [Google Scholar] [CrossRef]
- Wang, S.; Hao, P.; Li, S.; Zhang, A.; Guan, Y.; Zhang, L. Synthesis of glycerol carbonate from glycerol and dimethyl carbonate catalyzed by calcined silicates. Appl. Catal. A Gen. 2017, 542, 174–181. [Google Scholar] [CrossRef]
- Wang, S.; Xu, L.; Okoye, P.U.; Li, S.; Tian, C. Microwave-assisted transesterification of glycerol with dimethyl carbonate over sodium silicate catalyst in the sealed reaction system. Energy Convers. Manag. 2018, 164, 543–551. [Google Scholar] [CrossRef]
- Okoye, P.U.; Abdullah, A.Z.; Hameed, B.H. Glycerol carbonate synthesis from glycerol and dimethyl carbonate using trisodium phosphate. J. Taiwan Inst. Chem. Eng. 2016, 68, 51–58. [Google Scholar] [CrossRef]
- Algoufi, Y.T.; Hameed, B.H. Synthesis of glycerol carbonate by transesterification of glycerol with dimethyl carbonate over K-zeolite derived from coal fly ash. Fuel Process. Technol. 2014, 126, 5–11. [Google Scholar] [CrossRef]
- Khanday, W.A.; Okoye, P.U.; Hameed, B.H. Biodiesel byproduct glycerol upgrading to glycerol carbonate over lithium–oil palm ash zeolite. Energy Convers. Manag. 2017, 151, 472–480. [Google Scholar] [CrossRef]
- Mahdi, H.I.; Irawan, E.; Nuryoto, N.; Jayanudin, J.; Sulistyo, H.; Sediawan, W.B.; Muraza, O. Glycerol carbonate production from biodiesel waste over modified natural clinoptilolite. Waste Biomass Valor. 2016, 7, 1349–1356. [Google Scholar] [CrossRef]
- Okoye, P.U.; Wang, S.; Xu, L.; Li, S.; Wang, J.; Zhang, L. Promotional effect of calcination temperature on structural evolution, basicity, and activity of oil palm empty fruit bunch derived catalyst for glycerol carbonate synthesis. Energy Convers. Manag. 2019, 179, 192–200. [Google Scholar] [CrossRef]
- Xiang, M.; Wu, D. Transition metal-promoted hierarchical ETS-10 solid base for glycerol transesterification. RSC Adv. 2018, 8, 33473–33486. [Google Scholar] [CrossRef]
- Wang, Y.; Liu, C.; Sun, J.; Yang, R.; Dong, W. Ordered mesoporous BaCO3/C-catalyzed synthesis of glycerol carbonate from glycerol and dimethyl carbonate. Sci. China Chem. 2015, 58, 708–715. [Google Scholar] [CrossRef]
- Qing, Y.; Lu, H.; Liu, Y.; Liu, C.; Liang, B.; Jiang, W. Production of glycerol carbonate using crude glycerol frombiodiesel production with DBU as a catalyst. Chin. Chem. Eng. 2018, 26, 1912–1919. [Google Scholar] [CrossRef]
- Simanjuntak, F.S.H.; Choi, J.S.; Lee, G.; Lee, H.J.; Lee, S.D.; Cheong, M.; Kim, H.S.; Lee, H. Synthesis of glycerol carbonate from the transesterification of dimethyl carbonate with glycerol using DABCO and DABCO-anchored Merrifield resin. Appl. Catal. B Environ. 2015, 165, 642–650. [Google Scholar] [CrossRef]
- Wan, Y.; Lei, Y.; Lan, G.; Liu, D.; Li, G.; Bai, R. Synthesis of glycerol carbonate from glycerol and dimethyl carbonate over DABCO embedded porous organic polymer as a bifunctional and robust catalyst. Appl. Catal. A Gen. 2018, 562, 267–275. [Google Scholar] [CrossRef]
- Naik, P.U.; Petitjean, L.; Refes, K.; Picquet, M.; Plasseraud, L. Imidazolium-2-carboxylate as an efficient, expeditious and eco-friendly organocatalyst for glycerol carbonate synthesis. Adv. Synth. Catal. 2009, 351, 1753–1756. [Google Scholar] [CrossRef]
- Hervert, B.; McCarthy, P.D.; Palencia, H. Room temperature synthesis of glycerol carbonate catalyzed by N-heterocyclic carbenes. Tetrahedron Lett. 2014, 55, 133–136. [Google Scholar] [CrossRef]
- Stewart, J.A.; Drexel, R.; Arstad, B.; Reubsaet, E.; Weckhuysen, B.M.; Bruijnincx, P.C.A. Homogeneous and heterogenised masked N-heterocyclic carbenes for bio-based cyclic carbonate synthesis. Green Chem. 2016, 18, 1605–1618. [Google Scholar] [CrossRef]













| Entry | Catalyst | Transesterification Conditions | Yield (%) | Sel. (%) | Ref. | |||
|---|---|---|---|---|---|---|---|---|
| Preparation Conditions | Morphology | Cat./Gly. (wt. Ratio) | DMC/Gly. (mol Ratio) | T/°C; t/h; Sol. | ||||
| 1 | Commercial MgO | - | 0.54 | 5:1 | 100; 1; DMF | 10.0 | - | [51] |
| 2 | Commercial MgO; calcined at 400 °C | - | 0.54 | 5:1 | 100; 1; DMF | 9.0 | - | [51] |
| 3 | Commercial MgO | - | 0.04 | 4:1 | 75; 2; none | 61.6 | - | [52] |
| 4 | Mg(NO3)2·6H2O; calcined at 680 °C | Flake like | 0.05 | 2:1 | 90; 0.5; none | 11.1 | 92.5 | [53] |
| 5 | Mg(NO3)2·6H2O, KOH; calcined at 680 °C | Irregular | 0.05 | 2:1 | 90; 0.5; none | 16.0 | 89.8 | [53] |
| 6 | Mg(NO3)2·6H2O, surfactant, HNO3; calcined at 680 °C | Sphere like | 0.05 | 2:1 | 90; 0.5; none | 75.4 | 98.8 | [53] |
| 7 | Mg(NO3)2·6H2O, Na2CO3, 50 °C; calcined at 550 °C | Rod like | 0.03 | 3:1 | 70; 1; none | <6.5 | - | [54] |
| 8 | Mg(NO3)2·6H2O, Na2CO3, 70 °C; calcined at 550 °C | Spherical | 0.03 | 3:1 | 70; 1; EtOH | <6.5 | - | [54] |
| 9 | Mg(NO3)2·6H2O, Na2CO3, 70 °C; calcined at 550 °C | Flower like | 0.03 | 3:1 | 70; 1; EtOH | < 6.5 | - | [54] |
| 10 | Mg(NO3)2·6H2O, Na2CO3, 80 °C; calcined at 550 °C | Nest like | 0.03 | 3:1 | 70; 1; EtOH | < 6.5 | - | [54] |
| 11 | Mg(NO3)2·6H2O, Na2C2O4, 30 °C; calcined at 550 °C | Trapezoidal | 0.03 | 3:1 | 70; 1; EtOH | 93.0 2 | - | [54] |
| 12 | MgO@ZIF-8: Mg(NO3)2·6H2O, ZIF-8, NaOH; calcined at 370 °C in argon | - | 0.04 | 4:1 | 75; 2; none | 70.0 | - | [52] |

| Entry | Catalyst | Transesterification Conditions | Yield (%) | Sel. (%) | Ref. | |||
|---|---|---|---|---|---|---|---|---|
| Preparation Conditions | Morphology | Cat./Gly. (wt. Ratio) | DMC/Gly. (mol Ratio) | T/oC; t/h; Sol. | ||||
| 1 | CaO (uncalcined) | - | 0.06 | 5:1 | 75; 1.5; none | 64.0 | - | [37] |
| 2 | CaO; calcined at 900 °C | - | 0.06 | 5:1 | 75; 1.5; none | 91.1 | - | [37] |
| 3 | CaCO3; calcined at 600 °C | - | 0.06 | 5:1 | 75; 1.5; none | 32.6 | - | [37] |
| 4 | CaCO3; calcined at 900 °C | - | 0.06 | 5:1 | 75; 1.5; none | 90.6 | - | [37] |
| 5 1 | CaO (uncalcined) | - | 0.04 | 3.5:1 | 95; 1.5; none | 95.3 | - | [37] |
| 6 2 | CaO (uncalcined) | - | 0.01 | 1:1 | 120; 2; benzene | 98.2 | - | [64] |
| 7 | Commercial CaO | - | 0.02 | 2:1 | 75; 0.5; none | 90.2 | 98.9 | [61] |
| 8 | CaO; calcined at 900 °C | - | 0.02 | 2:1 | 75; 0.5; none | 94.0 | 99.7 | [61] |
| 9 3 | Ca(C3H7O3)(OCO2CH3) | - | 0.02 | 2:1 | 75; 0.5; none | 91.4 | 99.7 | [61] |
| 10 4 | Ca(C3H7O3)(OCO2CH3) | - | 0.02 | 2:1 | 75; 0.5; none | 41.8 | 90.4 | [57] |
| 115 | Ca(C3H7O3)(OCO2CH3) | - | 0.02 | 2:1 | 75; 0.5; none | 2.5 | 92.0 | [61] |
| 12 6 | KNO3/CaO | - | 0.06 | 3:1 | 70; 2; none | 85.2 | 85.8 | [62] |
| 13 7 | LiCl/CaO | - | 0.03 | 1:1 | 65; 1; EtOH | 94.2 | - | [63] |
| 14 8 | CaO | - | 0.01 | 1:1 | 85; 0.5; Benzene | 98.0 | - | [64] |
| 15 2 | CaO (uncalcined) | - | 0.03 | 4:1 | 85; -; none | 99.0 | - | [65] |
| 16 | CaO_egg | Plate like | 0.03 | 3:1 | 80; 2; none | 84.5 | - | [66] |
| 17 | CaO_gol | Plate like | 0.03 | 3:1 | 80; 2; none | 85.9 | - | [66] |
| 18 | CaO_coc | Rod like | 0.03 | 3:1 | 80; 2; none | 92.1 | - | [66] |

| Entry | Catalyst | Transesterification Conditions | Yield (%) | Sel. (%) | Ref. | |||
|---|---|---|---|---|---|---|---|---|
| Composition | Molar Ratio of M1/M2 | Cat./Gly. (wt. Ratio) | DMC/Gly. (mol Ratio) | T/°C; t/h; Sol. | ||||
| 1 | Mg1.2Ca0.8O2 | Mg/Ca 3:2 | 0.03 | 2:1 | 70; 1.5; none | 100 | - | [67] |
| 2 | CaO–MgO | Ca/Mg 1:1 | 0.06 | 3:1 | 75; 1.5; none | 94.0 | 96.9 | [68] |
| 3 | Mg–Al | Mg/Al 2:1 | 0.10 | 3:1 | 100; 5; none | 93.0 | 97 | [69] |
| 4 | Mg–Al | Mg/Al 3:1 | 0.03 | 3:1 | 100; 5; none | 92.5 | - | [70] |
| 5 | Mg/Al/Zr | Mg/Al/Zr 3:1:1 | 0.10 | 5:1 | 75; 1.5; none | 94.0 | - | [71] |
| 6 | Mg/Al/Cu | Mg/Al/Cu 2.4:1:0.6 | 0.15 | 5:1 | 90; 1.5; none | 91.2 | - | [72] |
| 7 | Ca–Al | Ca/Al 2:1 | 0.04 | 3:1 | 70; 3; none | 90.2 | 97 | [73] |
| 8 | Sr–Al | Sr/Al 0.5:1 | 0.03 | 2:1 | 70; 1; none | 100 | - | [75] |
| 9 | Li/Mg4AlO5.5 | Mg/Al 4:1 | 0.04 | 3:1 | 80; 1.5; none | 96.3 | 100 | [76] |
| 10 | Li–ZnO | Li/Zn 0.01:1 | 0.05 | 2:1 | 95; 4; none | 95.8 | - | [77] |
| 11 | NaOH/γ–Al2O3 | K/Al 1:1 | 0.03 | 2:1 | 78; 1; none | 96.9 | 99.0 | [79] |
| 12 | KF/α–Al2O3 | K/Al 3.8:1 | 0.05 | 2:1 | 75; 2; DMF | 95.8 | 99.8 | [80] |
| 13 | KF/La–Zr | La/Zr 5:4 | 0.01 | 2:1 | 80; 1; none | 91.7 | 99 | [81] |
| 14 | MgO–ZrO2 | Mg/Zr 1:2 | 0.15 | 5:1 | 70; 3; none | 88.0 | - | [82] |
| 15 | Mg/Zr/Sr | Mg/Zr/Sr 3:1:1 | 0.15 | 5:1 | 90; 1.5; none | 56.0 | - | [83] |
| 16 | Ti-SBA-15 | Si/Ti 4:1 | 0.055 | 5:1 | 87.5; 4; none | 82 | 87 | [84] |
| 17 | Mg–La | Mg/La 3:1 | 0.05 | 4:1 | 85; 1; none | 83.1 | - | [85] |
| 18 | Ca–La | Ca/La 3:1 | 0.108 | 5:1 | 90; 1.5; none | 74.0 | 78.0 | [86] |
| 19 | ZnO/La2O3 | Zn/La 4:1 | 0.005 | 6:1 | 150; 2; none | 95.7 | 97.2 | [87] |
| 20 | Li–La2O3 | Li/La 3.5:1 | 0.03 | 3:1 | 85; 3; none | 86.9 | 92.1 | [78] |
| 21 | MgO–CeO2 | Mg/Ce 3:1 | 0.15 | 5:1 | 90; 1.5; none | 86.0 | 100 | [88] |
| 22 1 | Ce0.7Cd0.3O | Ce/Cd 7:3 | 0.05 | 3:1 | 90; 3; none | 96.8 | 100 | [89] |
| 23 1 | Ce–Ni | Ce/Ni 0.2:1 | 0.05 | 3:1 | 85; 8; none | 85.6 | 90.9 | [90] |

| Entry | Catalyst | Transesterification conditions | Yield (%) | Sel. (%) | Ref. | |||
|---|---|---|---|---|---|---|---|---|
| Composition | Molar Ratio of Mn+ | Cat./Gly. (wt. Ratio) | DMC/Gly. (mol Ratio) | T/°C; t/h; Sol. | ||||
| 1 | Mg–Al HT | Mg/Al 5:1 | 0.10 | 5:1 | 100; 9; DMF | 98 | - | [51] |
| 2 | Mg–Al CHT: (calcined at 673 K) | Mg/Al 5:1 | 0.10 | 5:1 | 100; 9; DMF | 10 | - | [51] |
| 3 2 | Mg–Al CHT: (HTr4) | Mg/Al 4:1 | 0.16 | 17:1 | 130; 10; EtOH | 65 | - | [93] |
| 4 | Mg–Al CHT | Mg/Al 2:1 | 0.11 | 3:1 | 70; 3; MeOH | 65 | 97.1 | [94] |
| 5 2 | HT-CNFc | Mg/Al 2:1 | 0.35 | 17:1 | 130; 2; EtOH | 58 | 58 | [95] |
| 6 3 | CHT-HMS | Mg/Al 2:1 | 0.15 | 4:1 | 170; 2.5; MeOH | 84.3 | - | [96] |
| 7 | 0.2Ni-CHT | Mg/Al 2:1 | 0.10 | 3:1 | 100; 5; none | 95 | 100 | [99] |
| 8 | KF/Ca–Mg–Al HT | Ca/Mg/Al 1.5:1.5:1 | 0.05 | 3:1 | 80; 0.5; none | 99 | - | [100] |
| 9 4 | Ca-CHT | Ca/Mg/Al 3:3:1 | 0.09 | 1:1 | 160; 5; none | 84 | - | [101] |
| 10 | Mg–Al CHT: CHT-1.0F | Mg/Al 3:1 | 0.16 | 3:1 | 110; 3; none | 95.3 | 95.3 | [102] |

| Entry | Catalyst | Transesterification Conditions | Yield (%) | Sel. (%) | Ref. | ||
|---|---|---|---|---|---|---|---|
| Cat./Gly. (wt. ratio) | DMC/Gly. (mol Ratio) | T/°C; t/h; Sol. | |||||
| 1 | NaAlO2 | 0.03 | 2:1 | 30; 0.5; none | 94 | 100 | [103] |
| 2 | NaAlO2/Hydrotalcite | 0.03 | 2:1 | 90; 0.5; none | 93 | 100 | [104] |
| 3 | Red mud (RM-500) 1 | 0.125 | 3:1 | 90; 1.5; none | 92.0 | - | [105] |
| 4 | Na2SiO3 | 0.05 | 4:1 | 75; 2.5; none | 95.5 | 97.6 | [106] |
| 5 | Na2SiO3 | 0.05 | 4:1 | 95; 0.25; none | 94.3 | 97.5 | [107] |
| 6 1 | NaSiO3 | 0.01 | 4:1 | 95; 50 s; none | 94.2 | - | [107] |
| 7 | Na3PO4 | 0.03 | 2:1 | 70; 1; none | 99.5 | 99.5 | [108] |
| 8 | Na-based zeolite: Na1.88(Al2Si4.8O13.5) | 0.10 | 3:1 | 70; 4; MeOH | 80 | 99 | [43] |
| 9 | K-zeolite | 0.04 | 3:1 | 75; 1.5; none | 96 | - | [109] |
| 10 2 | Li–OPAZ | 0.02 | 2:1 | 70; 1.5; none | 98.1 | 100 | [110] |
| 11 3 | Dealuminated Cinoptilolite | 0.09 | 3:1 | 100; 0.25; H2O | 28 | - | [111] |
| 12 | K2Mg(SiO4) | 0.05 | 3:1 | 90; 0.75; none | 95.7 | - | [112] |
| 13 4 | Ni/METS-10 | 0.05 | 2:1 | 90; 2; none | 97.1 | - | [113] |
| 14 | BaCO3/C | 0.54 | 5:1 | 140; 2; DMF | 96.4 | 98.5 | [114] |
© 2019 by the author. Licensee MDPI, Basel, Switzerland. This article is an open access article distributed under the terms and conditions of the Creative Commons Attribution (CC BY) license (http://creativecommons.org/licenses/by/4.0/).
Share and Cite
Ji, Y. Recent Development of Heterogeneous Catalysis in the Transesterification of Glycerol to Glycerol Carbonate. Catalysts 2019, 9, 581. https://doi.org/10.3390/catal9070581
Ji Y. Recent Development of Heterogeneous Catalysis in the Transesterification of Glycerol to Glycerol Carbonate. Catalysts. 2019; 9(7):581. https://doi.org/10.3390/catal9070581
Chicago/Turabian StyleJi, Yue. 2019. "Recent Development of Heterogeneous Catalysis in the Transesterification of Glycerol to Glycerol Carbonate" Catalysts 9, no. 7: 581. https://doi.org/10.3390/catal9070581
APA StyleJi, Y. (2019). Recent Development of Heterogeneous Catalysis in the Transesterification of Glycerol to Glycerol Carbonate. Catalysts, 9(7), 581. https://doi.org/10.3390/catal9070581

