Bismuth Oxide Faceted Structures as a Photocatalyst Produced Using an Atmospheric Pressure Plasma Jet
Abstract
1. Introduction
2. Results and Discussion
2.1. Average Thickness and Cover Ratio
2.2. X-ray Diffraction (XRD)
2.3. X-ray Photoelectron Spectroscopy (XPS)
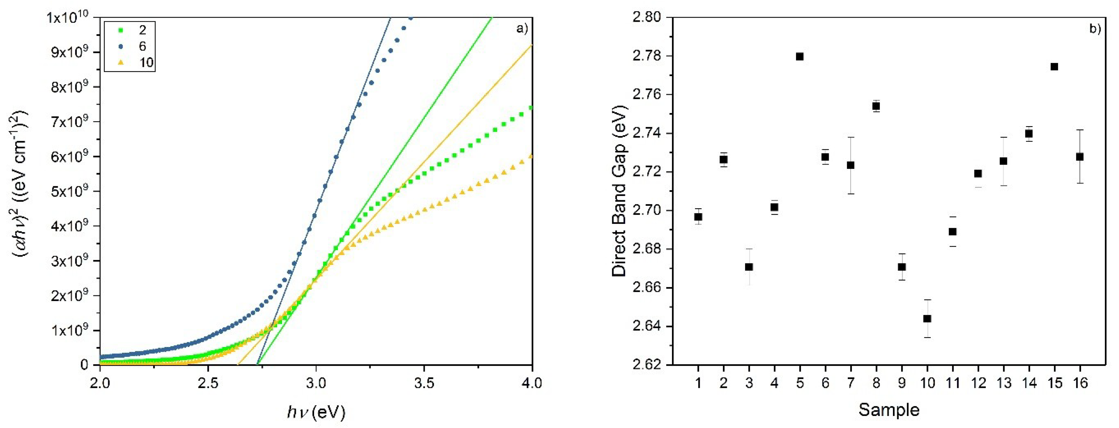
2.4. Optical Characterization
2.5. Photocatalytic Performance Test
3. Materials and Methods
3.1. Coating Process
3.2. Characterization
3.3. Photocatalytic Test
4. Conclusions
Author Contributions
Funding
Acknowledgments
Conflicts of Interest
References
- Schlesinger, M.; Weber, M.; Schulze, S.; Hietschold, M.; Mehring, M. Metastable β-Bi2O3 Nanoparticles with Potential for Photocatalytic Water Purification Using Visible Light Irradiation. ChemistryOpen 2013, 2, 146–155. [Google Scholar] [CrossRef] [PubMed]
- Drache, M.; Roussel, P.; Wignacourt, J.-P. Structures and oxide mobility in Bi-Ln-O materials: Heritage of Bi2O3. Chem. Rev. 2007, 107, 80–96. [Google Scholar] [CrossRef] [PubMed]
- Ho, C.-H.; Chan, C.-H.; Huang, Y.-S.; Tien, L.-C.; Chao, L.-C. The study of optical band edge property of bismuth oxide nanowires α-Bi2O3. Opt. Express 2013, 21, 11965–11972. [Google Scholar] [CrossRef] [PubMed]
- Ambare, R.C.; Shinde, P.; Nakate, U.T.; Lokhande, B.J.; Mane, R.S. Sprayed bismuth oxide interconnected nanoplate supercapacitor electrode materials. Appl. Surf. Sci. 2018, 453, 214–219. [Google Scholar] [CrossRef]
- Iljinas, A.; Burinskas, S.; Dudonis, J. Synthesis of Bismuth Oxide Thin Films Deposited by Reactive Magnetron Sputtering. Acta Phys. Pol. A 2011, 120, 60–62. [Google Scholar] [CrossRef]
- Zhou, Y.; Dong, F.; Jin, S. (Eds.) Bismuth—Advanced Applications and Defects Characterization; IntechOpen Limited: London, UK, 2018; ISBN 978-1-78923-262-2. [Google Scholar]
- Qiu, Y.; Yang, M.; Fan, H.; Zuo, Y.; Shao, Y.; Xu, Y.; Yang, X.; Yang, S. Nanowires of α- and β-Bi2O3: Phase-selective synthesis and application in photocatalysis. CrystEngComm 2011, 13, 1843–1850. [Google Scholar] [CrossRef]
- Xu, Z.; Tabata, I.; Hirogaki, K.; Hisada, K.; Wang, T.; Wang, S.; Hori, T. Nontraditional template synthesis of microjagged bismuth oxide: A highly efficient visible light responsive photocatalyst. Catal. Sci. Technol. 2011, 1, 397–400. [Google Scholar] [CrossRef]
- Oudghiri-Hassani, H.; Rakass, S.; Al Wadaani, F.T.; Al-ghamdi, K.J.; Omer, A.; Messali, M.; Abboudi, M. Synthesis, characterization and photocatalytic activity of α-Bi2O3 nanoparticles. J. Taibah Univ. Sci. 2018, 9, 508–512. [Google Scholar] [CrossRef]
- Iyyapushpam, S.; Nishanthi, S.T.; Pathinettam Padiyan, D. Synthesis of room temperature bismuth oxide and its photocatalytic activity. Mater. Lett. 2012, 86, 25–27. [Google Scholar] [CrossRef]
- Ratova, M.; Marcelino, R.; de Souza, P.; Amorim, C.; Kelly, P. Reactive Magnetron Sputter Deposition of Bismuth Tungstate Coatings for Water Treatment Applications under Natural Sunlight. Catalysts 2017, 7, 283. [Google Scholar] [CrossRef]
- Yan, Y.; Zhou, Z.; Cheng, Y.; Qiu, L.; Gao, C.; Zhou, J. Template-free fabrication of α- and β-Bi2O3 hollow spheres and their visible light photocatalytic activity for water purification. J. Alloy. Compd. 2014, 605, 102–108. [Google Scholar] [CrossRef]
- Khan, M.M.; Adil, S.F.; Al-Mayouf, A. Metal oxides as photocatalysts. J. Saudi Chem. Soc. 2015, 19, 462–464. [Google Scholar] [CrossRef]
- Liu, G.; Li, S.; Lu, Y.; Zhang, J.; Feng, Z.; Li, C. Controllable synthesis of α-Bi2O3 and γ-Bi2O3 with high photocatalytic activity by α-Bi2O3 → γ-Bi2O3 → α-Bi2O3 transformation in a facile precipitation method. J. Alloy. Compd. 2016, 689, 787–799. [Google Scholar] [CrossRef]
- Chen, R.; Shen, Z.-R.; Wang, H.; Zhou, H.-J.; Liu, Y.-P.; Ding, D.-T.; Chen, T.-H. Fabrication of mesh-like bismuth oxide single crystalline nanoflakes and their visible light photocatalytic activity. J. Alloy. Compd. 2011, 509, 2588–2596. [Google Scholar] [CrossRef]
- Köhler, R.; Ohms, G.; Militz, H.; Viöl, W. Atmospheric Pressure Plasma Coating of Bismuth Oxide Circular Droplets. Coatings 2018, 8, 312. [Google Scholar] [CrossRef]
- Ilschner, B.; Haefer, R.A. Oberflächen- und Dünnschicht-Technologie; Springer: Berlin/Heidelberg, Germany, 1987; ISBN 978-3-540-16723-5. [Google Scholar]
- Medina, J.C.; Bizarro, M.; Gomez, C.L.; Depablos-Rivera, O.; Mirabal-Rojas, R.; Monroy, B.M.; Fonseca-Garcia, A.; Perez-Alvarez, J.; Rodil, S.E. Sputtered bismuth oxide thin films as a potential photocatalytic material. Catal. Today 2016, 266, 144–152. [Google Scholar] [CrossRef]
- Kumari, L.; Lin, J.-H.; Ma, Y.-R. One-dimensional Bi(2)O(3) nanohooks: Synthesis, characterization and optical properties. J. Phys. Condens. Matter 2007, 19, 406204. [Google Scholar] [CrossRef] [PubMed]
- Uchida, K.; Ayame, A. Dynamic XPS measurements on bismuth molybdate surfaces. Surf. Sci. 1996, 357–358, 170–175. [Google Scholar] [CrossRef]
- Zhang, X.; Qin, J.; Xue, Y.; Yu, P.; Zhang, B.; Wang, L.; Liu, R. Effect of aspect ratio and surface defects on the photocatalytic activity of ZnO nanorods. Sci. Rep. 2014, 4, 4596. [Google Scholar] [CrossRef] [PubMed]
- Ishfaq, M.; Rizwan Khan, M.; Bhopal, M.F.; Nasim, F.; Ali, A.; Bhatti, A.S.; Ahmed, I.; Bhardwaj, S.; Cepek, C. 1.5 MeV proton irradiation effects on electrical and structural properties of TiO2/n-Si interface. J. Appl. Phys. 2014, 115, 174506. [Google Scholar] [CrossRef]
- Ansari, S.A.; Khan, M.M.; Ansari, M.O.; Kalathil, S.; Lee, J.; Cho, M.H. Band gap engineering of CeO2 nanostructure using an electrochemically active biofilm for visible light applications. RSC Adv. 2014, 4, 16782–16791. [Google Scholar] [CrossRef]
- Dharmadhikari, V.S.; Sainkar, S.R.; Badrinarayan, S.; Goswami, A. Characterisation of thin films of bismuth oxide by X-ray photoelectron spectroscopy. J. Electron Spectrosc. Relat. Phenom. 1982, 25, 181–189. [Google Scholar] [CrossRef]
- Wittstock, G.; Strübing, A.; Szargan, R.; Werner, G. Glucose oxidation at bismuth-modified platinum electrodes. J. Electroanal. Chem. 1998, 444, 61–73. [Google Scholar] [CrossRef]
- Abdullah, E.A.; Abdullah, A.H.; Zainal, Z.; Hussein, M.Z.; Ban, T.K. Bismuth Basic Nitrate as a Novel Adsorbent for Azo Dye Removal. E-J. Chem. 2012, 9, 1885–1896. [Google Scholar] [CrossRef]
- Yang, S.Y.; Liu, L.; Jia, Z.X.; Fu, W.W.; Jia, D.M.; Luo, Y.F. Study on the structure-properties relationship of natural rubber/SiO2 composites modified by a novel multi-functional rubber agent. Express Polym. Lett. 2014, 8, 425–435. [Google Scholar] [CrossRef]
- Alessio Verni, G.; Long, B.; Gity, F.; Lanius, M.; Schüffelgen, P.; Mussler, G.; Grützmacher, D.; Greer, J.; Holmes, J.D. Oxide removal and stabilization of bismuth thin films through chemically bound thiol layers. Rsc Adv. 2018, 8, 33368–33373. [Google Scholar] [CrossRef]
- Barrera-Mota, K.; Bizarro, M.; Castellino, M.; Tagliaferro, A.; Hernández, A.; Rodil, S.E. Spray deposited β-Bi2O3 nanostructured films with visible photocatalytic activity for solar water treatment. Photochem. Photobiol. Sci. 2015, 14, 1110–1119. [Google Scholar] [CrossRef]
- Xu, J.-J.; Chen, M.-D.; Fu, D.-G. Preparation of bismuth oxide/titania composite particles and their photocatalytic activity to degradation of 4-chlorophenol. Trans. Nonferrous Met. Soc. China 2011, 21, 340–345. [Google Scholar] [CrossRef]
- Liu, Y.; Wang, Z.; Huang, B.; Zhang, X.; Qin, X.; Dai, Y. Enhanced photocatalytic degradation of organic pollutants over basic bismuth (III) nitrate/BiVO4 composite. J. Colloid Interface Sci. 2010, 348, 211–215. [Google Scholar] [CrossRef]
- Cheng, H.; Huang, B.; Lu, J.; Wang, Z.; Xu, B.; Qin, X.; Zhang, X.; Dai, Y. Synergistic effect of crystal and electronic structures on the visible-light-driven photocatalytic performances of Bi(2)O(3) polymorphs. Phys. Chem. Chem. Phys. 2010, 12, 15468–15475. [Google Scholar] [CrossRef]
- Sun, Y.; Zhang, Z.; Xie, A.; Xiao, C.; Li, S.; Huang, F.; Shen, Y. An ordered and porous N-doped carbon dot-sensitized Bi2O3 inverse opal with enhanced photoelectrochemical performance and photocatalytic activity. Nanoscale 2015, 7, 13974–13980. [Google Scholar] [CrossRef] [PubMed]
- Wang, Y.; Jiang, L.; Chen, J.; Liu, F.; Lai, Y. Realization of nanostructured N-doped p-type Bi2O3 thin films. Mater. Lett. 2017, 193, 228–231. [Google Scholar] [CrossRef]
- Hajra, P.; Shyamal, S.; Mandal, H.; Sariket, D.; Maity, A.; Kundu, S.; Bhattacharya, C. Synthesis of oxygen deficient bismuth oxide photocatalyst for improved photoelectrochemical applications. Electrochim. Acta 2019, 299, 357–365. [Google Scholar] [CrossRef]
- Yang, X.; Lian, X.; Liu, S.; Jiang, C.; Tian, J.; Wang, G.; Chen, J.; Wang, R. Visible light photoelectrochemical properties of β-Bi2O3 nanoporous films: A study of the dependence on thermal treatment and film thickness. Appl. Surf. Sci. 2013, 282, 538–543. [Google Scholar] [CrossRef]
- Akaltun, Y.; Yıldırım, M.A.; Ateş, A.; Yıldırım, M. The relationship between refractive index-energy gap and the film thickness effect on the characteristic parameters of CdSe thin films. Opt. Commun. 2011, 284, 2307–2311. [Google Scholar] [CrossRef]
- Selvamani, T.; Anandan, S.; Granone, L.; Bahnemann, D.W.; Ashokkumar, M. Phase-controlled synthesis of bismuth oxide polymorphs for photocatalytic applications. Mater. Chem. Front. 2018, 2, 1664–1673. [Google Scholar] [CrossRef]
- Sirota, B.; Reyes-Cuellar, J.; Kohli, P.; Wang, L.; McCarroll, M.E.; Aouadi, S.M. Bismuth oxide photocatalytic nanostructures produced by magnetron sputtering deposition. Thin Solid Films 2012, 520, 6118–6123. [Google Scholar] [CrossRef]
- Iyyapushpam, S.; Nishanthi, S.T.; Pathinettam Padiyan, D. Enhanced photocatalytic degradation of methyl orange by gamma Bi2O3 and its kinetics. J. Alloy. Compd. 2014, 601, 85–87. [Google Scholar] [CrossRef]
- Gujar, T.P.; Shinde, V.R.; Lokhande, C.D. The influence of oxidation temperature on structural, optical and electrical properties of thermally oxidized bismuth oxide films. Appl. Surf. Sci. 2008, 254, 4186–4190. [Google Scholar] [CrossRef]
- Salim, E.T.; Al-Douri, Y.; Al Wazny, M.S.; Fakhri, M.A. Optical properties of Cauliflower-like Bi2O3 nanostructures by reactive pulsed laser deposition (PLD) technique. Sol. Energy 2014, 107, 523–529. [Google Scholar] [CrossRef]
- Iljinas, A.; Marcinauskas, L. Formation of bismuth oxide nanostructures by reactive plasma assisted thermal evaporation. Thin Solid Films 2015, 594, 192–196. [Google Scholar] [CrossRef]
- Al-Kahtani, A.A. Photocatalytic Degradation of Rhodamine B Dye in Wastewater Using Gelatin/CuS/PVA Nanocomposites under Solar Light Irradiation. J. Biomater. Nanobiotechnol. 2017, 8, 66–82. [Google Scholar] [CrossRef]
- Hou, J.; Yang, C.; Wang, Z.; Zhou, W.; Jiao, S.; Zhu, H. In situ synthesis of α–β phase heterojunction on Bi2O3 nanowires with exceptional visible-light photocatalytic performance. Appl. Catal. B Environ. 2013, 142–143, 504–511. [Google Scholar] [CrossRef]
- Iyyapushpam, S.; Nishanthi, S.T.; Pathinettam Padiyan, D. Photocatalytic degradation of methyl orange using α-Bi2O3 prepared without surfactant. J. Alloy. Compd. 2013, 563, 104–107. [Google Scholar] [CrossRef]
- Wallenhorst, L.M.; Loewenthal, L.; Avramidis, G.; Gerhard, C.; Militz, H.; Ohms, G.; Viöl, W. Topographic, optical and chemical properties of zinc particle coatings deposited by means of atmospheric pressure plasma. Appl. Surf. Sci. 2017, 410, 485–493. [Google Scholar] [CrossRef]
- Rietveld, H.M. A profile refinement method for nuclear and magnetic structures. J. Appl. Crystallogr. 1969, 2, 65–71. [Google Scholar] [CrossRef]
- Toby, B.H.; von Dreele, R.B. GSAS-II: The genesis of a modern open-source all purpose crystallography software package. J. Appl. Crystallogr. 2013, 46, 544–549. [Google Scholar] [CrossRef]










| Sample | C 1s | N 1s | O 1s | Si 2p | Bi 4f |
|---|---|---|---|---|---|
| 1 | 29.6 | 1.3 | 43.0 | 3.2 | 23.0 |
| 2 | 22.5 | 1.3 | 48.9 | 3.0 | 24.3 |
| 3 | 32.6 | 1.6 | 42.1 | 0.0 | 23.7 |
| 4 | 20.9 | 1.8 | 51.0 | 6.5 | 19.8 |
| 5 | 16.7 | 2.4 | 53.2 | 4.8 | 22.9 |
| 6 | 22.4 | 5.0 | 49.9 | 1.8 | 20.9 |
| 7 | 22.3 | 4.1 | 49.3 | 4.3 | 20.1 |
| 8 | 23.4 | 3.7 | 46.9 | 0.7 | 25.3 |
| 9 | 24.1 | 2.4 | 47.5 | 0.0 | 25.9 |
| 10 | 25.4 | 0.3 | 46.2 | 0.0 | 28.1 |
| 11 | 27.0 | 0.8 | 43.7 | 1.4 | 27.2 |
| 12 | 21.5 | 1.2 | 47.1 | 0.6 | 29.7 |
| 13 | 27.8 | 2.5 | 45.8 | 2.1 | 22.0 |
| 14 | 26.9 | 1.9 | 45.6 | 0.5 | 25.1 |
| 15 | 26.7 | 1.8 | 45.4 | 2.8 | 23.3 |
| 16 | 28.1 | 1.9 | 45.2 | 5.2 | 19.7 |
| Sample No. | PP (%) | qP (L/min) | v (mm/s) | qD (m3/h) | vD (mm/h) |
|---|---|---|---|---|---|
| 1 | 80 | 30 | 100 | 2.2 | 50 |
| 2 | 100 | 60 | 100 | 2.2 | 50 |
| 3 | 100 | 30 | 40 | 2.2 | 50 |
| 4 | 80 | 60 | 40 | 2.2 | 50 |
| 5 | 80 | 60 | 100 | 4.3 | 50 |
| 6 | 80 | 30 | 40 | 4.3 | 50 |
| 7 | 100 | 30 | 100 | 4.3 | 50 |
| 8 | 100 | 60 | 40 | 4.3 | 50 |
| 9 | 100 | 60 | 40 | 2.2 | 100 |
| 10 | 80 | 30 | 40 | 2.2 | 100 |
| 11 | 100 | 30 | 100 | 2.2 | 100 |
| 12 | 80 | 60 | 100 | 2.2 | 100 |
| 13 | 100 | 30 | 40 | 4.3 | 100 |
| 14 | 80 | 60 | 40 | 4.3 | 100 |
| 15 | 100 | 60 | 100 | 4.3 | 100 |
| 16 | 80 | 30 | 100 | 4.3 | 100 |
© 2019 by the authors. Licensee MDPI, Basel, Switzerland. This article is an open access article distributed under the terms and conditions of the Creative Commons Attribution (CC BY) license (http://creativecommons.org/licenses/by/4.0/).
Share and Cite
Köhler, R.; Siebert, D.; Kochanneck, L.; Ohms, G.; Viöl, W. Bismuth Oxide Faceted Structures as a Photocatalyst Produced Using an Atmospheric Pressure Plasma Jet. Catalysts 2019, 9, 533. https://doi.org/10.3390/catal9060533
Köhler R, Siebert D, Kochanneck L, Ohms G, Viöl W. Bismuth Oxide Faceted Structures as a Photocatalyst Produced Using an Atmospheric Pressure Plasma Jet. Catalysts. 2019; 9(6):533. https://doi.org/10.3390/catal9060533
Chicago/Turabian StyleKöhler, Robert, Dominik Siebert, Leif Kochanneck, Gisela Ohms, and Wolfgang Viöl. 2019. "Bismuth Oxide Faceted Structures as a Photocatalyst Produced Using an Atmospheric Pressure Plasma Jet" Catalysts 9, no. 6: 533. https://doi.org/10.3390/catal9060533
APA StyleKöhler, R., Siebert, D., Kochanneck, L., Ohms, G., & Viöl, W. (2019). Bismuth Oxide Faceted Structures as a Photocatalyst Produced Using an Atmospheric Pressure Plasma Jet. Catalysts, 9(6), 533. https://doi.org/10.3390/catal9060533

