Abstract
With the increased demands of environmental protection, recycling/utilization of industrial byproducts has attracted much attention from both industry and academic communities. In this work, silicon carbide (SiC) was successfully synthesized from industrial waste silica fume (SF) during metallic silicon production. Following this, Ni nanoparticles with many defects were supported on the as-obtained SiC by conventional impregnation method. The results showed that defect-rich Ni nanoparticles were dispersed onto the surface of SiC. The as-obtained Ni/SF-SiC exhibited an enhanced metal-support interaction between Ni and SiC. Furthermore, the density functional theory (DFT) calculations showed that the H2 and CO adsorption energy on Ni vacancy (VNi) sites of Ni/SF-SiC were 1.84 and 4.88 eV, respectively. Finally, the Ni/SF-SiC performed high catalytic activity with CO conversion of 99.1% and CH4 selectivity of 85.7% at 350 °C, 0.1 MPa and a gas hourly space velocity (GHSV) of 18,000 mL·g−1·h−1. Moreover, Ni/SF-SiC processed good catalytic stability in the 50 h continuous reaction.
1. Introduction
Metallic silicon is also known as industrial silicon or crystalline silicon and is usually produced by reducing silicon dioxide from carbon in an electric furnace. It is mainly used as an additive for non-ferrous alloys or as a raw material for the production of semiconductor silicon and silicone. The amount of metallic silicon production capacity in China was 7.5 million tons in 2018. With growing demand for metallic silicon, the related industries have been burgeoning. It is inevitable that a large amount of silica fume is derived from metallic production (about 0.3 tons of silicon fume/ton of products). However, handling the problems of silica fume properly is not easy or smooth during the production. There is a large quantity of silica fume deserted in industrial disposal, which not only brings about resource wastage, but also results in serious pollution from the dust and powder [1,2].
Silica fume has excellent properties of pozzolanic, which is mainly used in concrete and refractory materials [3]. Recently, silica fume was widely used as support for the reaction of dry reforming of methane [4], or as silica source of producing mesoporous silicate materials (MCM-41, SAB-15, zeolite SSZ-13, etc.) and to synthesize SiC/Si3N4 powder [5,6,7]. A porous silicon nano-cluster was synthesized by using waste silica fume from the metallurgical grade silicon industry (MG-Si). This material was used in lithium ion batteries, showing excellent electrochemical properties [8]. However, further utilization of silica fume has seldom been realized, and therefore it is necessary to develop a new technique to produce materials beneficial to the economy and environment.
The present study concentrates on the synthesis of silicon carbide ceramic material, and then on successfully preparing a Ni/SF-SiC catalyst, using silica fume as the raw material. Considering that silica fume contains more than 97% of SiO2 and a small amount of SiC, silica fume has naturally become an ideal raw material for SiC production, as well as for its associated decrease of production cost. In recent years, with increased demand on natural gas, and the aspiration to strengthen national energy security and increase energy efficiency, the production of synthetic natural gas (SNG) from coal or biomass has aroused widespread concern [9,10,11,12,13]. Being a good potential material, SiC has extensive applications in many fields, especially working in harsh environments as a support due to its excellent properties including high heat conductivity, thermal stability, mechanical strength, and chemical inertness [14,15,16,17,18,19]. SiC has been applied to various reactions, including methane reforming and combustion, Fischer–Tropsch synthesis, isomerization and dehydrogenation, among others [20,21]. Therefore, making full use of the waste generated during industrial production not only achieves the maximum use of resources, but also makes a great contribution to the protection of the environment. Additionally, a Ni/SF-SiC catalyst with metal defects is a promising approach to enhance the catalytic activity of methanation.
2. Results and Discussion
The reactivity of Ni/SF-SiO2 and Ni/SF-SiC catalysts was tested at 250–550 °C at a GHSV 18,000 mL·g−1·h−1 and 0.1 MPa, as shown in Figure 1. With increasing test temperature, the catalytic performances of these catalysts were improved. There are some differences as the reaction temperature raised to 250 °C: The CH4 selectivity of Ni/SF-SiC was 84.1%, while Ni/SF-SiO2 was 0%. At 350 °C, the CO conversion of the catalyst Ni/SF-SiC achieved 99.1%, and the CO conversion of the catalyst Ni/SF-SiO2 was only 89.8%. Furthermore, the CH4 selectivity and yield for Ni/SF-SiC catalyst was 85.7% and 84.9% at 350 °C, respectively, but for Ni/SF-SiO2 catalyst, the CH4 selectivity and yield was only 75.0% and 67.4%, respectively. In addition, we researched the 50 h stability test for Ni/SF-SiO2 and Ni/SF-SiC at 350 °C, and the results are presented in Figure 1c. The reactivity and stability of Ni/SF-SiC are much better than Ni/SF-SiO2 [22]. When the temperature went beyond 400 °C, these catalysts decreased slightly in catalytic activity, because the catalyst Ni/SF-SiC was limited by thermodynamics in the strongly exothermic reaction. In a high temperature reaction, it is easy for the Ni/SF-SiO2 catalyst to be sintered and carbon deposited, which results in the decrease of catalyst activity [23,24,25]. In Table 1, we compared the CO catalytic performances of different catalysts, and the catalyst Ni/SF-SiC exhibited excellent performance.

Figure 1.
Catalytic performances of catalysts in CO methanation under different reaction temperatures at 0.1 MPa and GHSV of 18,000 mL·g−1·h−1: (a) CO Conversion, (b) CH4 Selectivity and (d) CH4 yield of Ni/SF-SiO2 and Ni/SF-SiC; (c) long-time stability test of Ni/SF-SiO2 and Ni/SF-SiC at 350 °C, 0.1 MPa and GHSV of 18000 mL·g−1·h−1.
Table 1.
The comparison of catalytic performance in different works.
The detailed information for components of the supports and catalysts were investigated by X-ray diffraction (XRD). In Figure 2, the diffraction peaks of SF-SiC and Ni/SF-SiC at 34.8°, 35.72°, 38.23°, 41.50°, 49.77°, 60.15°, 65.80°, 71.96°, 73.59° and 75.65° are related to distinct peaks of SiC (JCPDS 29-1131) [26]. In addition, SiC characteristic peaks at 2θ of 35.72°, 60.15° and 71.96° of the support, fresh and used Ni/SF-SiO2, were also clearly observed. Furthermore, the diffraction peak at 21.98° was attached to SiO2 (JCPDS 29-0085). For the above catalysts, the diffraction peaks at 44.50°, 51.84° and 76.37° belonged to face centered cubic Ni (JCPDS 04-0850) [27]. In the Ni/SF-SiC catalyst, the intensity of Ni diffraction peak was slightly weaker than the Ni/SF-SiC catalyst, revealing the higher dispersion of Ni species over the Ni/SF-SiC catalyst surfaces [28]. The mean size estimation of Ni crystallites is discussed by the Scherrer equation, and the results are shown in Table 2 [29,30]. Compared with the Ni/SF-SiO2 catalyst, the crystallite size of Ni in the Ni/SF-SiC catalyst did not change before and after the reaction, which shows the Ni/SF-SiC catalysts possesses an excellent anti-sintering property. However, in the used Ni/SF-SiO2 catalyst, the crystallite size of Ni particle was larger than the freshly reduced Ni/SF-SiO2 catalyst; this phenomenon can be ascribed mainly to the aggregation of Ni species of Ni/SF-SiO2, which further indicates that the Ni/SF-SiC catalyst has better anti-sintering and anti-aggregation properties than Ni/SF-SiO2 catalyst [21].
Figure 2.
Wide-angle XRD patterns of the support and the catalysts SF-SiO2, Ni/SF-SiO2, u-Ni/SF-SiO2, SF-SiC, Ni/SF-SiC, u-Ni/SF-SiC.
Table 2.
Physical and chemical properties of the catalysts and supports.
From the SEM and HRTEM images, the fine spherical particles of silica fume could clearly be observed, as shown in Figure 3a,c. The images of the as-prepared SF-SiC powder are shown in Figure 3b,d, which reveal that SF-SiC has porous and irregular particle morphologies. This is due to the large amount of heat released by magnesium thermal reaction, which seriously destroyed the morphology and structure of SF-SiO2. At the same time, the thermal effect greatly improved the values of specific surface areas and average pore volumes of SF-SiC, and such results can also be seen in Table 2. The larger specific areas of SF-SiC support may provide more attachment sites for the active component. Compared with the amorphous silica fume (Figure 3e), the HRTEM image (Figure 3f) shows that the SF-SiC has good crystallinity with distinct lattice fringes of 0.251 nm and 0.262 nm corresponding to the SiC (102) and (101) planes, respectively.
Figure 3.
SEM images of the samples: (a) SF-SiO2, (b) SF-SiC; HRTEM images of samples: (c,e) SF-SiO2; (d,f) SF-SiC.
In order to analyze and evaluate the distribution of Ni particles in the above catalysts, the SEM and HRTEM images of the freshly reduced catalysts Ni/SF-SiO2 and Ni/SF-SiC are shown in Figure 4. It can be clearly observed that small Ni particles were dispersed over the Ni/SF-SiO2 surface with aggregating phenomenon, as shown in Figure 4a. At the same time, the Ni particles can be clearly observed, which was caused by different contrast values in the images of Figure 4c,d. In comparison with Ni/SF-SiO2 (mean sizes of Ni particles, 12.6 nm), the smaller Ni particles uniformly distributed in Ni/SF-SiC (mean sizes of Ni particles, 10.9 nm), it is obvious that Ni particles have better dispersion in Ni/SF-SiC than Ni/SF-SiO2 [21,33,34]. The smaller Ni nanoparticles on Ni/SF-SiC could be attached to the stronger metal support interaction between Ni and SF-SiC, compared with Ni/SF-SiO2 [35]. Moreover, the smaller Ni particles are beneficial for a high methanation rate. From Figure 4e,f, the lattice spacing of ca. 0.176 nm and 0.203 nm correspond to the Ni (200) and (111) plane. In Figure 4f, many distortions can be clearly observed, which were related to the novel defects-rich structure. Meanwhile, the defect-rich structure was also present in Ni/SF-SiO2 catalysts (Figure 4e) [36]. The HRTEM element mapping of Ni/SF-SiO2 and Ni/SF-SiC are shown in Figure 4 and it can be clearly observed that the larger Ni particles were dispersed on spherical morphology of SF-SiO2 surface, but the smaller Ni nanoparticles were highly dispersed on the support of SF-SiC [37].
Figure 4.
SEM images of the samples: (a) Ni/SF-SiO2, (b) Ni/SF-SiC. HRTEM images of the reduced catalysts: (c,e) Ni/SF-SiO2 and (d,f) Ni/SF-SiC. HRTEM elemental mapping images of C, O, Si and Ni of (g) Ni/SF-SiO2 and (h) Ni/SF-SiC.
The N2 adsorption–desorption was employed to measure the physical properties of the catalysts, as shown in Table 2. Compared with SF-SiO2-support catalysts, the SF-SiC supporting catalysts show higher specific surface areas and pore volume, which should be attached to the influence of molten salt-mediated magnesiothermic reduction [14]. Figure 3 shows that the surface of SiO2 was smooth with a few pores. However, after loading Ni species, the specific surface areas and pore volume of Ni/SF-SiO2 were obviously increased, which may be attributed to the rough surface of Ni/SF-SiO2 produced by Ni particles loading and many holes produced among these Ni particles. However, the Ni precursors were introduced to the interior pore walls and the pore of the support was blocked, which explained that the specific surface areas and pore volume of Ni/SF-SiC were decreased. At the same time, this phenomenon also caused a slight change of average pore diameter in the Ni/SF-SiO2 and Ni/SF-SiC catalysts [38].
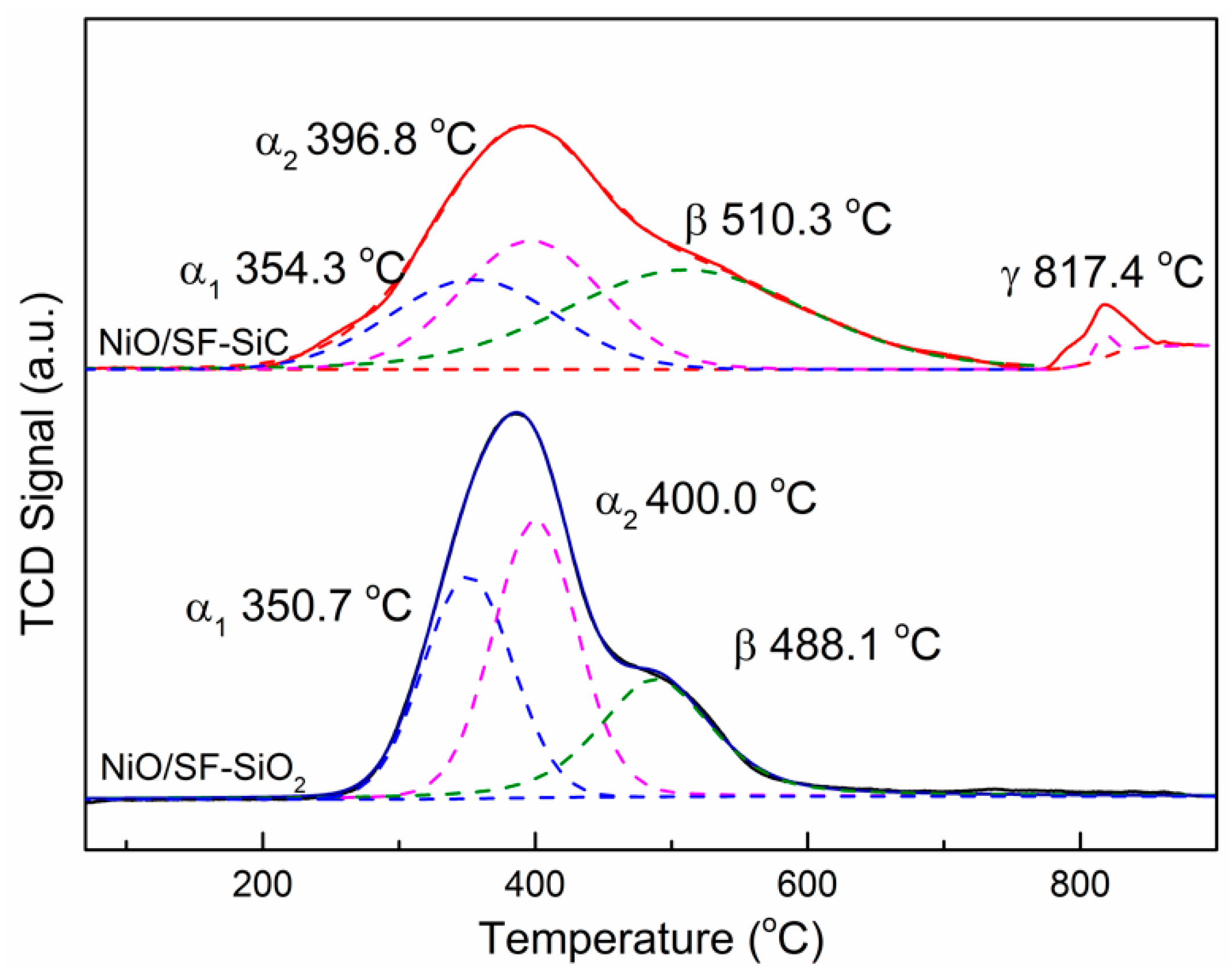
In Figure 5, based on the temperature programmed reduction (TPR) results, the curves of the two catalysts are similar. There was a strong peak with a shoulder peak in the NiO/SF-SiO2, the previous peak in the low temperature region was related to α-type NiO species and played a dominant role in nickel oxide species, which were assigned to the weaker interaction in Ni/SF-SiO2 [31], and another peak was corresponded to β-type NiO species, which had a stronger interaction with the SF-SiO2 [39,40]. In comparison with the NiO/SF-SiO2 catalyst, the spectrum of the NiO/SF-SiC also had a broader peak, and the peak at a higher temperature could be associated with the reduction of nickel silicate, implying the enhanced interaction between NiO and the support of SF-SiC [33,41]. In addition, the overlapping peaks of TPR profiles were fitted by the Gaussian function and classified into four peaks; the peak positions and the quantitative results of relative content are shown in Table 3. It can be seen that there were four peaks in the NiO/SF-SiC. However, there were just three reduction peaks in NiO/SF-SiO2, suggesting that the interaction between NiO and support was weaker. Compared with NiO/SF-SiO2, the fraction of β-type NiO species of NiO/SF-SiC was larger, implying a stronger interaction between NiO and support. By comparing the H2 consumption of the reduction peaks for the two catalysts, it can be found that more H2 was consumed in the NiO/SF-SiC catalyst.
Figure 5.
H2-TPR profiles of the as-prepared NiO/SF-SiO2 and NiO/SF-SiC catalysts.
Table 3.
Gaussian fitting analysis of H2 temperature programmed reduction (H2-TPR) patterns of different catalysts.
The two catalysts were characterized by the X-ray photoelectron spectroscopy (XPS), as illustrated in Figure 6. In Ni/SF-SiO2, the Ni 2p3/2 binding energy (BE) of 852.91 eV was related to metallic Ni0, while the Ni 2p3/2 BE 856.78 eV with the satellite peak of 861.02 eV and the Ni 2p1/2 BE of 870.0 and 879.49 eV were assigned to Ni2+ species, which correspond to the partially oxidized nickel species. Compared with Ni/SF-SiO2, the Ni 2p3/2 and 2p1/2 BEs (857.02, 861.50, 870.88 and 879.98 eV, respectively) of Ni2+ species of Ni/SF-SiC was improved. Furthermore, as for Ni/SF-SiO2, the spectrum of the Ni 2p3/2 and 2p1/2 shown peaks at 855.24 and 873.26 eV, respectively, which could be ascribed to Ni3+ defects species [42,43]. However, the BE of Ni3+ species (855.50 and 873.78 eV) of Ni/SF-SiC was increased. The numerous Ni3+ in the two catalysts was generated from Ni and O vacancies in the process of calcination for forming the NixOy species. The surfaces of Ni2+ were oxidized to Ni3+ for forming charge neutrality around the Ni and O vacancies, and the surface Ni3+ active sites, which may facilitate charge-transfer and enhance CO and H2 adsorption [42]. It is obvious that Ni2+ and Ni3+ species were playing a dominate role in Ni/SF-SiO2 and Ni/SF-SiC. Compared with Ni/SF-SiO2 (852.91 eV), the binding energy of Ni0 in Ni/SF-SiC (853.43 eV) was shifted to a higher binding energy, which is associated to the enhanced metal-support interactions between Ni and SF-SiC. From Table 4, there were about 5.2% of Ni elements on the Ni/SF-SiC surface, and that of Ni/SF-SiO2 was 4.7%, which indicates that Ni was easily exposed to the surface of Ni/SF-SiC. In addition, the radio of Ni0/Ni and Ni3+/Ni was about 11.2% and 31.0% for Ni/SF-SiC, respectively, which was higher than for Ni/SF-SiO2 at 11.0% and 27.0%, demonstrating that the Ni species of Ni/SF-SiC were easily oxidized due to their good dispersion and smaller Ni nanoparticles, and there were more vacancies in Ni/SF-SiC.
Figure 6.
Ni 2p (a), O 1s (b), Si 2p (c) and C 1s (d) XPS spectra of the freshly reduced Ni/SF-SiO2 and Ni/SF-SiC.
Table 4.
Elemental analysis of Ni, O, Si, and C elements content by X-ray photoelectron spectroscopy (XPS).
In Figure 6b, the O 1s spectra of Ni/SF-SiO2 and Ni/SF-SiC catalysts could be distinguished into four sub-peaks: The weakly binding energy peaks (OI and OII) were related to the surface lattice oxygen and the adsorbed oxygen [44], respectively; the higher binding energy (OIII and OIV) corresponded to the defects with a low oxygen coordination and the metal-oxygen bonds, respectively [45]. The binding energy of O 1s of Ni/SF-SiC was higher than Ni/SF-SiO2, demonstrating that the stronger metal-support interactions between Ni and SF-SiC [21]. For the catalysts, the presence of Ni3+ and OIII could further promote the activity of reactive sites in methanation [45]. In Figure 6c, the Si 2p binding energy of 100.7 eV and 103.0 eV were attributed to the Si–C and Si–O bond in Ni/SF-SiC, respectively. There is only an Si–O bond in Ni/SF-SiO2 [46]. In Figure 6d, the spectrum C 1s of Ni/SF-SiC (282.7, 285.0, 288.8 eV) corresponded to C–Si, C–C and C=O, respectively [47].
The SEM and HRTEM images of the used Ni/SF-SiO2 and used Ni/SF-SiC catalysts are shown in Figure 7. Compared with the freshly Ni/SF-SiO2, Ni particles had some agglomeration in the used Ni/SF-SiO2 (see Figure 3), and Ni particles of used Ni/SF-SiO2 were larger than fresh Ni/SF-SiO2 catalyst for the Ni particles migrated. Furthermore, the migration of Ni particles was caused by the weaker interaction between Ni species and SF-SiO2. In contrast, Ni particles were still keeping good dispersion over the used Ni/SF-SiC, and the mean size of Ni particles in u-Ni/SF-SiO2 and u-Ni/SF-SiC was 18.9 and 12.3 nm, respectively. In the Ni/SF-SiO2 catalyst, the particles sizes of Ni species were larger, as compared with the freshly Ni/SF-SiO2 (see Table 2). The Ni particles of Ni/SF-SiC catalysts always remained smaller, illustrating the stronger anti-sintering and higher Ni dispersion characteristics of Ni/SF-SiC than Ni/SF-SiO2 [23].
Figure 7.
SEM images of the samples: (a) Used Ni/SF-SiO2, (b) used Ni/SF-SiC. HRTEM images of (c) used Ni/SF-SiO2 and (d) used Ni/SF-SiC.
The Vienna ab initio simulation package (VASP) was employed for the first-principles calculations [48,49]. The generalized gradient approximation was in the Perdew–Burke–Ernzerhof (PBE) form [50]. Chemisorption of CO and H2 on the surface of catalyst to ensure that the C–O and H–H bonds were sufficiently activated is the necessary prerequisite to a high-performance methanation catalyst [51]. Therefore, the adsorption of CO and H2 on Ni- and Nivac-based catalysts was investigated. Two stable adsorption configurations were taken into account, as shown in Figure 8. For the Ni-CO and Nivac-CO configuration, both two C atoms interacts with metal atom, forming C–Ni bonds (Figure 8a,c). For the Ni-H2 and Nivac-H2 structure, only one Ni atom interact with two H atoms, forming Ni–H bonds (Figure 8b,d). From the above adsorption structure, the calculated binding energy (Eb) of CO and H2 on defect-free Ni and Nivac are presented in Figure 8. The adsorption energy (absolute value) of CO and H2 in Nivac was 1.84 and 4.88 eV respectively, which were significantly larger than that of CO and H2 on defect-free Ni (1.83 and 4.76 eV, respectively.), indicating that the vacancies in the Ni structure were more favorable for adsorbing CO and H2 molecules [52,53]. Accordingly, the defect-rich Ni catalysts were superior to the defect-free Ni catalysts in the methanation.
Figure 8.
First-principles study of surface CO and H2 adsorption on different sites. Top and side views of the structures of (a) Ni and (c) Ni vacancies with CO adsorption, (b) Ni, (d) Ni vacancies with H2 adsorption. DFT-calculated adsorption energies (Eb) of CO and H2 molecules on the surfaces of Ni and Ni vacancies are also presented, respectively. Blue, red, gray and white balls represent the Ni, O, C, and H atoms, respectively.
3. Materials and Methods
3.1. Preparation of Catalysts
The details for waste silica fume (Hesheng Silicon Industry Co., Ltd., Xinjiang, China) tested by X-ray fluorescence (XRF) were as follows: (wt %) SiO2 97.55, CaO 0.81, K2O 0.43, Al2O3 0.42, MgO 0.31, SiO3 0.12, Na2O 0.11, Fe2O3 0.08, P2O5 0.06, and others 0.11. The waste silica fume (5 g) was mixed with 1.3 g of Acetylene black and 6.4 g Mg powder with 2.79 g NaCl and 3.56 g KCl, and transferred to a graphite boat. The mixture powders were calcined at a temperature of 1100 °C for 3 h in argon atmosphere. The heating rate from room temperature to 700 °C was 10 °C/min, and from 700 °C to 1100 °C was 5 °C/min. The resulting solid was exposed to 2 M aqueous HCl for 3 h to remove magnesium and magnesium oxide. The solution was subsequently filtered and washed repeatedly with water and then dried in an oven overnight at 100 °C. Additionally, the synthesized samples were heat-treated in air at 700 °C for 3 h to remove residual carbon. Moreover, in order to remove unreacted SiO2, the product was immersed in the solution of NaOH and HF, respectively, and this was followed by washing thoroughly by repeated centrifugation. The final production was SF-SiC.
This work employed impregnation method to synthesize the catalysts: 2 g SF-SiC nano material was immersed in the aqueous solution of Ni(NO3)2·6H2O (1.1235 g, Shanghai Macklin Biochemical Co., Ltd., Shanghai, China, AR, >98%) and stirred for 12 h at 80 °C, then dried for 12 h at 80 °C and calcined at 550 °C for 3 h at the rate of 10 °C/min [31]. The obtained catalyst was NiO/SF-SiC. The wasted silica fume was prepared into catalyst NiO/SF-SiO2 in the same way.
3.2. Physical Characterization of the Synthesized Samples
The chemical composition of waste silica fume was analyzed by using X-ray fluorescence (XRF, XRF-1800). The powers were characterized by X-ray diffraction (XRD, Bruker D8 Advance X-ray diffractometer with Cu Kαradiation (λ = 1.5406 Å) operated at 40 kv and 40 mA). H2 temperature programmed reduction (H2-TPR) was tested by AutoChemII2920 from room temperature to 900 °C at the rate of 10 °C/min with a gas (10 vol.% H2/Ar) flow of 30 mL/min at 900 °C. The surface chemical composition was studied by an X-ray photoelectron spectroscopy (XPS) conducted on a Thermo Scientific Escalab 250Xi. The Micromeritics ASAP 2460 BET apparatus was used to measure the Brunauer–Ennett–Teller (BET) specific surface area and Barrett–Joyner–Halenda (BHJ) pore structure of the catalysts. The microscopic feature of the catalysts was researched by field emission scanning electron microscope (SEM) (S-4800, Hitachi, Tokyo, Japan) and transmission electron microscopy (TEM) (TecaiG2F20, FEI, 200 kV). Energy dispersed spectroscopy (EDS) (Tecnai G2 F20 S-TWIN (200 KV) was conducted to determine the elemental distribution.
3.3. CO Methanation Performance Test of Powdered Catalyst
The reactivity of the catalysts was tested in a fixed bed reactor (Tianjin Tianda Tianrui Petrochemical Equipment Manufacturing Co., Ltd., Tianjin, China.) at atmospheric pressure with a stainless steel tubular microreactor (a 66 cm long with an inner diameter of 10 mm). The 0.217 g catalyst was placed in the middle of the reaction tube, and before the feed syngas H2/CO with a volume ratio of 3:1 was introduced to the reactor, the catalyst was reduced in 60 mL/min H2 at 500 °C for 2 h. Then, the CO methanation performance tested in the temperature region of 250–550 °C at intervals of 50 °C, at a synthesis gas (Beijing AP BAIF Gases Industry CO., Ltd., Beijing, China.) flow rate of 65 mL/min and a weight space velocity of 18,000 mL·g−1·h−1. The composition of effluent gases was analyzed by gas chromatography (GC-2014C, SHIMADZU CO., Ltd., Beijing, China.) with TDX-01 column. We also conducted 50 h lifetime tests for Ni/SF-SiO2 and Ni/VMT-SiC catalysts at 350 °C with all other parameters adopting the testing values. The CO conversion, CH4 selectivity and yield are defined as follows:
CO conversion: Xco (%) = [CO]in − [CO]out/[CO]in × 100%
CH4 selectivity: SCH4 (%) = [CH4]out/[CO]in − [CO]out × 100%
CH4 yield: YCH4 = [CH4]out/[CO]in × 100%
Here, [CO]in is the moles of CO in the feed stream, [CO]out is the moles of CO in the effluent gas; [CH4]out is the moles of CH4 in the effluent gas.
4. Conclusions
A large quantity of silica fume is deserted in industrial disposal with the development of the metallic silicon industry, which brings about resources wasting, and results in serious pollution by the dust and powder. In this work, silicon carbide ceramics were successfully synthesized using waste silica fume, and we prepared defect-rich Ni/SF-SiO2 and Ni/SF-SiC catalysts by conventional impregnation method. The presence of Ni vacancies enhanced the adsorption energy of CO and H2, which significantly improved the catalytic performance for methanation. Compared to the Ni/SF-SiO2 counterpart, the Ni/SF-SiC catalyst exhibited a higher reactivity and stronger anti-sintering, which could be related to the excellent thermal conductivity of SF-SiC and the good dispersion and stronger metal-support interaction in the Ni/SF-SiC catalyst. Therefore, making full use of the “garbage” generated in the industrial production process, turning waste into treasure, not only achieves the maximum use of resources, but also makes a great contribution to the protection of the environment.
Author Contributions
F.Y., G.G. and J.Z. designed and administered the experiments; Q.S. performed experiments; Q.S., X.Z., J.L., X.R., H.Z., M.Z. and B.D. collected and analyzed data. All authors discussed the data and wrote the manuscript.
Funding
The research was funded by [Major Science and Technology Project of Xinjiang Bingtuan] grant number [2017AA007], [the National Natural Science Foundation of China] grant number [21403144, 11464038, 11764034], [the Program for Changjiang Scholars and Innovative Research Team in University] grant number [IRT_15R46].
Acknowledgments
The work was supported by Major Science and Technology Project of Xinjiang Bingtuan (No. 2017AA007), the National Natural Science Foundation of China (Grant Nos. 21403144, 11464038, 11764034), and the Program for Changjiang Scholars and Innovative Research Team in University (No. IRT_15R46).
Conflicts of Interest
The authors declare no conflict of interest.
References
- Li, Q.; Wang, C.-A.; Tie, S. Synthesis of bamboo-like SiC whiskers from waste silica fume. Cryst. Res. Technol. 2014, 49, 290–297. [Google Scholar] [CrossRef]
- Moen, M.; Halvorsen, T.; Mørk, K.; Velken, S. Recycling of silicon metal powder from industrial powder waste streams. Met. Powder Rep. 2017, 72, 182–187. [Google Scholar] [CrossRef]
- Zhong, Y.; Shaw, L.L.; Manjarres, M.; Zawrah, M.F. Synthesis of Silicon Carbide Nanopowder Using Silica Fume. J. Am. Ceram. Soc. 2010, 93, 3159–3167. [Google Scholar] [CrossRef]
- Danghyan, V.; Novoa, S.C.; Mukasyan, A.; Wolf, E.E. Pressure dilution, a new method to prepare a stable Ni/fumed silica catalyst for the dry reforming of methane. Appl. Catal. B Environ. 2018, 234, 178–186. [Google Scholar] [CrossRef]
- Ji, H.; Huang, Z.; Chen, K.; Li, W.; Gao, Y.; Fang, M.; Liu, Y.G.; Wu, X. Synthesis of Si3N4 powder with tunable α/β-Si3N4 content from waste silica fume using carbothermal reduction nitridation. Powder Technol. 2014, 252, 51–55. [Google Scholar] [CrossRef]
- Wang, Y.; Chen, J.; Lei, X.; Ren, Y.; Wu, J. Preparation of high silica microporous zeolite SSZ-13 using solid waste silica fume as silica source. Adv. Powder Technol. 2018, 29, 1112–1118. [Google Scholar] [CrossRef]
- Kumar, P.; Mal, N.; Oumi, Y.; Yamana, K.; Sano, T. Mesoporous materials prepared using coal fly ash as the silicon and aluminium source. J. Mater. Chem. 2001, 11, 3285–3290. [Google Scholar] [CrossRef]
- Zhang, T.; Hu, L.; Liang, J.; Han, Y.; Lu, Y.; Zhu, Y.; Qian, Y. Porous silicon nano-aggregate from silica fume as an anode for high-energy lithium-ion batteries. RSC Adv. 2016, 6, 30577–30581. [Google Scholar] [CrossRef]
- Li, P.; Zhu, M.; Tian, Z.; Han, Y.; Zhang, Y.; Zhou, T.; Kang, L.; Dan, J.; Guo, X.; Yu, F.; et al. Two-Dimensional Layered Double Hydroxide Derived from Vermiculite Waste Water Supported Highly Dispersed Ni Nanoparticles for CO Methanation. Catalysts 2017, 7, 79. [Google Scholar] [CrossRef]
- Li, P.; Yu, F.; Altaf, N.; Zhu, M.; Li, J.; Dai, B.; Wang, Q. Two-Dimensional Layered Double Hydroxides for Reactions of Methanation and Methane Reforming in C1 Chemistry. Materials 2018, 11, 221. [Google Scholar] [CrossRef]
- Liu, Q.; Qiao, Y.; Tian, Y.; Gu, F.; Zhong, Z.; Su, F. Ordered Mesoporous Ni–Fe–Al Catalysts for CO Methanation with Enhanced Activity and Resistance to Deactivation. Ind. Eng. Chem. Res. 2017, 56, 9809–9820. [Google Scholar] [CrossRef]
- Bian, Z.; Xin, Z.; Meng, X.; Tao, M.; Lv, Y.; Gu, J. Effect of Citric Acid on the Synthesis of CO Methanation Catalysts with High Activity and Excellent Stability. Ind. Eng. Chem. Res. 2017, 56, 2383–2392. [Google Scholar] [CrossRef]
- Zhang, M.; Li, P.; Zhu, M.; Tian, Z.; Dan, J.; Li, J.; Dai, B.; Yu, F. Ultralow-weight loading Ni catalyst supported on two-dimensional vermiculite for carbon monoxide methanation. Chin. J. Chem. Eng. 2018, 26, 1873–1878. [Google Scholar] [CrossRef]
- Tan, C.; Liu, J.; Zhang, H.; Wang, J.; Li, S.; Song, J.; Zhang, Y.; Zhang, S. Low temperature synthesis of 2H-SiC powders via molten-salt-mediated magnesiothermic reduction. Ceram. Int. 2017, 43, 2431–2437. [Google Scholar] [CrossRef]
- Gao, P.-C.; Lei, Y.; Pérez, A.F.; Rajoua, K.; Zitoun, D.; Favier, F. New topotactic synthetic route to mesoporous silicon carbide. J. Mater. Chem. 2011, 21, 15798–15805. [Google Scholar] [CrossRef]
- Wang, H.; Gao, S.; Peng, S.; Zhou, X.; Zhang, H.; Zhou, X.; Li, B. KD-S SiCf/SiC composites with BN interface fabricated by polymer infiltration and pyrolysis process. J. Adv. Ceram. 2018, 7, 169–177. [Google Scholar] [CrossRef]
- Ma, Q.; Cai, L. Fabrication and oxidation resistance of mullite/yttrium silicate multilayer coatings on C/SiC composites. J. Adv. Ceram. 2017, 6, 360–367. [Google Scholar] [CrossRef]
- Magnani, G.; Galvagno, S.; Sico, G.; Portofino, S.; Freda, C.; Burresi, E. Sintering and mechanical properties of β-SiC powder obtained from waste tires. J. Adv. Ceram. 2016, 5, 40–46. [Google Scholar] [CrossRef]
- Fu, C.; Yang, Y.; Huang, Z.; Liu, G.; Zhang, H.; Jiang, F.; Wei, Y.; Jiao, Z. Investigation on the laser ablation of SiC ceramics using micro-Raman mapping technique. J. Adv. Ceram. 2016, 5, 253–261. [Google Scholar] [CrossRef]
- Zhang, G.; Peng, J.; Sun, T.; Wang, S. Effects of the oxidation extent of the SiC surface on the performance of Ni/SiC methanation catalysts. Chin. J. Catal. 2013, 34, 1745–1755. [Google Scholar] [CrossRef]
- Jin, G.; Gu, F.; Liu, Q.; Wang, X.; Jia, L.; Xu, G.; Zhong, Z.; Su, F. Highly stable Ni/SiC catalyst modified by Al2O3 for CO methanation reaction. RSC Adv. 2016, 6, 9631–9639. [Google Scholar] [CrossRef]
- Yu, Y.; Jin, G.-Q.; Wang, Y.-Y.; Guo, X.-Y. Synthetic natural gas from CO hydrogenation over silicon carbide supported nickel catalysts. Fuel Process. Technol. 2011, 92, 2293–2298. [Google Scholar] [CrossRef]
- Li, J.; Zhu, Q.; Peng, W.; Zhang, Q.; Luo, G.; Wei, F. Novel hierarchical Ni/MgO catalyst for highly efficient CO methanation in a fluidized bed reactor. AIChE J. 2017, 63, 2141–2152. [Google Scholar] [CrossRef]
- Zhao, A.; Ying, W.; Zhang, H.; Ma, H.; Fang, D. Ni–Al2O3 catalysts prepared by solution combustion method for syngas methanation. Catal. Commun. 2012, 17, 34–38. [Google Scholar] [CrossRef]
- Chen, D.; Christensen, K.; Ochoafernandez, E.; Yu, Z.; Totdal, B.; Latorre, N.; Monzon, A.; Holmen, A. Synthesis of carbon nanofibers: Effects of Ni crystal size during methane decomposition. J. Catal. 2005, 229, 82–96. [Google Scholar] [CrossRef]
- Zhang, G.; Sun, T.; Peng, J.; Wang, S.; Wang, S. A comparison of Ni/SiC and Ni/Al2O3 catalyzed total methanation for production of synthetic natural gas. Appl. Catal. A Gen. 2013, 462–463, 75–81. [Google Scholar] [CrossRef]
- Liu, Q.H.; Dong, X.F.; Lin, W.M. Highly selective CO methanation over amorphous Ni–Ru–B/ZrO2 catalyst. Chin. Chem. Lett. 2009, 20, 889–892. [Google Scholar] [CrossRef]
- Liu, S.-S.; Jin, Y.-Y.; Han, Y.; Zhao, J.; Ren, J. Highly stable and coking resistant Ce promoted Ni/SiC catalyst towards high temperature CO methanation. Fuel Process. Technol. 2018, 177, 266–274. [Google Scholar] [CrossRef]
- Zhao, B.; Chen, Z.; Chen, Y.; Ma, X. Syngas methanation over Ni/SiO2 catalyst prepared by ammonia-assisted impregnation. Int. J. Hydrogen Energy 2017, 42, 27073–27083. [Google Scholar] [CrossRef]
- Tao, M.; Meng, X.; Lv, Y.; Bian, Z.; Xin, Z. Effect of impregnation solvent on Ni dispersion and catalytic properties of Ni/SBA-15 for CO methanation reaction. Fuel 2016, 165, 289–297. [Google Scholar] [CrossRef]
- Li, P.; Zhu, M.; Dan, J.; Kang, L.; Lai, L.; Cai, X.; Zhang, J.; Yu, F.; Tian, Z.; Dai, B. Two-dimensional porous SiO2 nanomesh supported high dispersed Ni nanoparticles for CO methanation. Chem. Eng. J. 2017, 326, 774–780. [Google Scholar] [CrossRef]
- Gao, J.; Jia, C.; Li, J.; Zhang, M.; Gu, F.; Xu, G.; Zhong, Z.; Su, F. Ni/Al2O3 catalysts for CO methanation: Effect of Al2O3 supports calcined at different temperatures. J. Energy Chem. 2013, 22, 919–927. [Google Scholar] [CrossRef]
- Li, P.; Wen, B.; Yu, F.; Zhu, M.; Guo, X.; Han, Y.; Kang, L.; Huang, X.; Dan, J.; Ouyang, F.; et al. High efficient nickel/vermiculite catalyst prepared via microwave irradiation-assisted synthesis for carbon monoxide methanation. Fuel 2016, 171, 263–269. [Google Scholar] [CrossRef]
- Yu, Y.; Jin, G.; Wang, Y.; Guo, X. Synthesis of natural gas from CO methanation over SiC supported Ni–Co bimetallic catalysts. Catal. Commun. 2013, 31, 5–10. [Google Scholar] [CrossRef]
- Yan, X.; Yuan, C.; Bao, J.; Li, S.; Qi, D.; Wang, Q.; Zhao, B.; Hu, T.; Fan, L.; Fan, B. Ni-based catalyst with enhanced Ni-support interaction for highly efficient CO methanation. Catal. Sci. Technol. 2018, 8, 3474–3483. [Google Scholar] [CrossRef]
- Xie, J.; Zhang, H.; Li, S.; Wang, R.; Sun, X.; Zhou, M.; Zhou, J.; Lou, X.W.; Xie, Y. Defect-rich MoS2 ultrathin nanosheets with additional active edge sites for enhanced electrocatalytic hydrogen evolution. Adv. Mater. 2013, 25, 5807–5813. [Google Scholar] [CrossRef] [PubMed]
- Chen, X.; Jin, J.; Sha, G.; Li, C.; Zhang, B.; Su, D.; Williams, C.T.; Liang, C. Silicon–nickel intermetallic compounds supported on silica as a highly efficient catalyst for CO methanation. Catal. Sci. Technol. 2014, 4, 53–61. [Google Scholar] [CrossRef]
- Lakshmanan, P.; Kim, M.S.; Park, E.D. A highly loaded Ni@SiO2 core–shell catalyst for CO methanation. Appl. Catal. A Gen. 2016, 513, 98–105. [Google Scholar] [CrossRef]
- Zhang, M.; Li, P.; Tian, Z.; Zhu, M.; Wang, F.; Li, J.; Dai, B.; Yu, F.; Qiu, H.; Gao, H. Clarification of Active Sites at Interfaces between Silica Support and Nickel Active Components for Carbon Monoxide Methanation. Catalysts 2018, 8, 293. [Google Scholar] [CrossRef]
- Cai, W.-J.; Qian, L.-P.; Yue, B.; He, H.-Y. Rh doping effect on coking resistance of Ni/SBA-15 catalysts in dry reforming of methane. Chin. Chem. Lett. 2014, 25, 1411–1415. [Google Scholar] [CrossRef]
- García-Vargas, J.M.; Valverde, J.L.; de Lucas-Consuegra, A.; Gómez-Monedero, B.; Sánchez, P.; Dorado, F. Precursor influence and catalytic behaviour of Ni/CeO2 and Ni/SiC catalysts for the tri-reforming process. Appl. Catal. A Gen. 2012, 431–432, 49–56. [Google Scholar]
- Zhao, Y.; Jia, X.; Chen, G.; Shang, L.; Waterhouse, G.I.; Wu, L.Z.; Tung, C.H.; O’Hare, D.; Zhang, T. Ultrafine NiO Nanosheets Stabilized by TiO2 from Monolayer NiTi-LDH Precursors: An Active Water Oxidation Electrocatalyst. J. Am. Chem. Soc. 2016, 138, 6517–6524. [Google Scholar] [CrossRef]
- Sasi, B.; Gopchandran, K.G. Nanostructured mesoporous nickel oxide thin films. Nanotechnology 2007, 18, 115613. [Google Scholar] [CrossRef]
- Zhang, M.; Yu, F.; Li, J.; Chen, K.; Yao, Y.; Li, P.; Zhu, M.; Shi, Y.; Wang, Q.; Guo, X. High CO Methanation Performance of Two-Dimensional Ni/MgAl Layered Double Oxide with Enhanced Oxygen Vacancies via Flash Nanoprecipitation. Catalysts 2018, 8, 363. [Google Scholar] [CrossRef]
- Wang, Y.; Xie, C.; Zhang, Z.; Liu, D.; Chen, R.; Wang, S. In Situ Exfoliated, N-Doped, and Edge-Rich Ultrathin Layered Double Hydroxides Nanosheets for Oxygen Evolution Reaction. Adv. Funct. Mater. 2018, 28, 1703363. [Google Scholar] [CrossRef]
- Adhikari, S.; Eswar, N.K.; Sangita, S.; Sarkar, D.; Madras, G. Investigation of nano Ag-decorated SiC particles for photoelectrocatalytic dye degradation and bacterial inactivation. J. Photochem. Photobiol. A Chem. 2018, 357, 118–131. [Google Scholar] [CrossRef]
- Hao, J.-Y.; Wang, Y.-Y.; Tong, X.-L.; Jin, G.-Q.; Guo, X.-Y. Photocatalytic hydrogen production over modified SiC nanowires under visible light irradiation. Int. J. Hydrogen Energy 2012, 37, 15038–15044. [Google Scholar] [CrossRef]
- Kresse, G.; Furthmüller, J. Efficient iterative schemes for ab initio total-energy calculations using a plane-wave basis set. Phys. Rev. B Condens. Matter 1996, 54, 11169–11186. [Google Scholar] [CrossRef]
- Kresse, G.; Furthmüller, J. Efficiency of ab-initio total energy calculations for metals and semiconductors using a plane-wave basis set. Comp. Mater. Sci. 1996, 6, 15–50. [Google Scholar] [CrossRef]
- Perdew, J.P.; Burke, K.; Ernzerhof, M. Generalized Gradient Approximation Made Simple. Phys. Rev. Lett. 1998, 77, 3865–3868. [Google Scholar] [CrossRef]
- Ling, C.; Bai, X.; Ouyang, Y.; Du, A.; Wang, J. Single Molybdenum Atom Anchored on N-Doped Carbon as a Promising Electrocatalyst for Nitrogen Reduction into Ammonia at Ambient Conditions. J. Phys. Chem. C 2018, 122, 16842–16847. [Google Scholar] [CrossRef]
- Liu, Y.; Cheng, H.; Lyu, M.; Fan, S.; Liu, Q.; Zhang, W.; Zhi, Y.; Wang, C.; Xiao, C.; Wei, S.; et al. Low overpotential in vacancy-rich ultrathin CoSe2 nanosheets for water oxidation. J. Am. Chem. Soc. 2014, 136, 15670–15675. [Google Scholar] [CrossRef] [PubMed]
- Yan, D.; Li, Y.; Huo, J.; Chen, R.; Dai, L.; Wang, S. Defect Chemistry of Nonprecious-Metal Electrocatalysts for Oxygen Reactions. Adv. Mater. 2017, 29, 1606459. [Google Scholar] [CrossRef] [PubMed]
© 2019 by the authors. Licensee MDPI, Basel, Switzerland. This article is an open access article distributed under the terms and conditions of the Creative Commons Attribution (CC BY) license (http://creativecommons.org/licenses/by/4.0/).








