RETRACTED: Transient Operation: A Catalytic Chemoselective Hydrogenation of 2-Methyl-3-Butyn-2-ol via a Cooperative Pd and Radiofrequency Heating Directed Kinetic Resolution
Abstract
1. Introduction
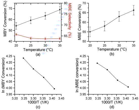
2. Results and Discussion
3. Materials and Methods
Author Contributions
Funding
Conflicts of Interest
References
- Hansen, H.A.; Olsen, J.L.; Jensen, S.; Hansen, O.; Quaade, U.J. Rate enhancement in microfabricated chemical reactors under fast forced temperature oscillations. Catal. Commun. 2006, 7, 272–275. [Google Scholar] [CrossRef]
- Brandner, J.J.; Emig, G.; Liauw, M.A.; Schubert, K. Fast temperature cycling in microstructure devices. Chem. Eng. J. 2004, 101, 217–224. [Google Scholar] [CrossRef]
- Jensen, S.; Olsesn, J.L.; Thorsteinsson, S.; Hansen, O.; Quaade, U.J. Forced thermal cycling of catalytic reactions: Experiments and modelling. Catal. Commun. 2007, 8, 1985–1990. [Google Scholar] [CrossRef]
- Luther, M.; Brandner, J.J.; Kiwi-Minsker, L.; Renken, A.; Schubert, K. Forced periodic temperature cycling of chemical reactions in microstructure devices. Chem. Eng. Sci. 2008, 63, 4955–4961. [Google Scholar] [CrossRef]
- Luther, M.; Brandner, J.J.; Schubert, K.; Renken, A.; Kiwi-Minsker, L. Novel design of a microstructured reactor allowing fast temperature oscillations. Chem. Eng. J. 2008, 135, S254–S258. [Google Scholar] [CrossRef]
- Sotowa, K.-I.; Shiraishi, N.; Iguchi, Y.; Sugiayama, S. Forced temperature cycling of a catalyst layer and its application to propylene oxidation. Chem. Eng. Sci. 2008, 63, 2690–2695. [Google Scholar] [CrossRef]
- Nakano, T.; Sakurai, M.; Kameyama, H. Operating temperature conditions for periodic temperature cycling in a microreactor. J. Chem. Eng. Jpn. 2012, 45, 89–93. [Google Scholar] [CrossRef]
- Stolte, J.; Özkan, L.; Thüne, P.C.; Niemantsverdriet, J.W.; Backx, A.C.P.M. Pulsed activation in heterogeneous catalysis. Appl. Therm. Eng. 2013, 57, 180–187. [Google Scholar] [CrossRef]
- Sakurai, M.; Oku, H.; Kameyama, H. Parametric study of periodic temperature cycling using microreactor. J. Chem. Eng. Jpn. 2014, 47, 207–211. [Google Scholar] [CrossRef]
- Kumar, S.; Lange, J.-P.; Van Rossum, G.; Kersten, S.R.A. Bio-oil fractionation by temperature-swing extraction: Principle and application. Biomass Bioenergy 2015, 83, 96–104. [Google Scholar] [CrossRef]
- Ajbar, A.; Elnashaie, S.S.E.H. Controlling chaos by periodic perturbations in nonisothermal fluidized-bed reactor. AIChE J. 1996, 42, 3008–3019. [Google Scholar] [CrossRef]
- Silveston, P.L.; Hudgins, R.R. Periodic temperature forcing of catalytic reactions. Chem. Eng. Sci. 2004, 59, 4043–4053. [Google Scholar] [CrossRef]
- Brandner, J.J.; Silveston, P.L.; Hudgins, R.R. Chapter 16—Temperature modulation. In Periodic Operation of Chemical Reactors; Silveston, P.L., Hudgins, R.R., Eds.; Butterworth-Heinemann: Oxford, UK, 2013; pp. 435–462. [Google Scholar]
- Bonrath, W.; Medlock, J.; Schutz, J.; Wustenberg, B.; Netscher, T. Hydrogenation in the vitamins and fine chemicals industry—An overview. Hydrogenation 2012, 76. [Google Scholar] [CrossRef]
- Yilmaz, B.; Müller, U. Catalytic applications of zeolites in chemical industry. Top. Catal. 2009, 52, 888–895. [Google Scholar] [CrossRef]
- IBISWorld. Basic Pharmaceutical Product Manufacturing in the UK; IBISWorld: Los Angeles, CA, USA, 2018. [Google Scholar]
- Hudgins, R.R.; Silveston, P.L. Chapter 2—Hydrogenation processes. In Periodic Operation of Chemical Reactors; Silveston, P.L., Hudgins, R.R., Eds.; Butterworth-Heinemann: Oxford, UK, 2013; pp. 23–47. [Google Scholar]
- Liprandi, D.A.; Cagnola, E.A.; Quiroga, M.E.; L’Argentière, P.C. Influence of the reaction temperature on the 3-hexyne semi-hydrogenation catalyzed by a palladium(ii) complex. Catal. Lett. 2009, 128, 423–433. [Google Scholar] [CrossRef]
- Cattaneo, S.; Freakley, S.J.; Morgan, D.J.; Sankar, M.; Dimitratos, N.; Hutchings, G.J. Cinnamaldehyde hydrogenation using au–pd catalysts prepared by sol immobilisation. Catal. Sci. Technol. 2018, 8, 1677–1685. [Google Scholar] [CrossRef]
- Bhogeswararao, S.; Srinivas, D. Catalytic conversion of furfural to industrial chemicals over supported pt and pd catalysts. J. Catal. 2015, 327, 65–77. [Google Scholar] [CrossRef]
- Fernández, J.; Chatterjee, S.; Degirmenci, V.; Rebrov Evgeny, V. Scale-up of an rf heated micro trickle bed reactor to a kg/day production scale. Green Process.Synth. 2015, 4, 343–353. [Google Scholar] [CrossRef]
- Fernández, J.; Sotenko, M.; Derevschikov, V.; Lysikov, A.; Rebrov, E.V. A radiofrequency heated reactor system for post-combustion carbon capture. Chem. Eng. Process. Process Intensif. 2016, 108, 17–26. [Google Scholar] [CrossRef]
- Sotenko, M.; Fernández, J.; Hu, G.; Derevschikov, V.; Lysikov, A.; Parkhomchuk, E.; Semeykina, V.; Okunev, A.; Rebrov, E.V. Performance of novel cao-based sorbents in high temperature co2 capture under rf heating. Chem. Eng. Process. Process Intensif. 2017, 122, 487–492. [Google Scholar] [CrossRef]
- Pérez-Camacho, M.N.; Abu-Dahrieh, J.; Rooney, D.; Sun, K. Biogas reforming using renewable wind energy and induction heating. Catal. Today 2015, 242, 129–138. [Google Scholar] [CrossRef]
- Zadražil, A.; Štěpánek, F. Remote control of reaction rate by radiofrequency heating of composite catalyst pellets. Chem. Eng. Sci. 2015, 134, 721–726. [Google Scholar] [CrossRef]
- Rebrov, E.V.; Klinger, E.A.; Berenguer-Murcia, A.; Sulman, E.M.; Schouten, J.C. Selective hydrogenation of 2-methyl-3-butyne-2-ol in a wall-coated capillary microreactor with a pd25zn75/tio2 catalyst. Org. Process Res. Dev. 2009, 13, 991–998. [Google Scholar] [CrossRef]
- Kalz, K.F.; Kraehnert, R.; Dvoyashkin, M.; Dittmeyer, R.; Gläser, R.; Krewer, U.; Reuter, K.; Grunwaldt, J.-D. Future challenges in heterogeneous catalysis: Understanding catalysts under dynamic reaction conditions. ChemCatChem 2017, 9, 17–29. [Google Scholar] [CrossRef]
- Finiels, A.; Fajula, F.; Hulea, V. Nickel-based solid catalysts for ethylene oligomerization—A review. Catal. Sci. Technol. 2014, 4, 2412–2426. [Google Scholar] [CrossRef]
- Ardila-Suarez, C.; Rojas-Avellaneda, D.; Ramirez-Caballero, G.E. Effect of temperature and catalyst concentration on polyglycerol during synthesis. Int. J. Polym. Sci. 2015, 2015, 910249. [Google Scholar] [CrossRef]
- Chatterjee, S.; Degirmenci, V.; Aiouache, F.; Rebrov, E.V. Design of a radio frequency heated isothermal micro-trickle bed reactor. Chem. Eng. J. 2014, 243, 225–233. [Google Scholar] [CrossRef]
- Chatterjee, S.; Degirmenci, V.; Rebrov, E.V. Design and operation of a radio-frequency heated micro-trickle bed reactor for consecutive catalytic reactions. Chem. Eng. J. 2015, 281, 884–891. [Google Scholar] [CrossRef]
- Chatterjee, S.; Houlding, T.K.; Doluda, V.Y.; Molchanov, V.P.; Matveeva, V.G.; Rebrov, E.V. Thermal behavior of a catalytic packed-bed milli-reactor operated under radio frequency heating. Ind. Eng. Chem. Res. 2017, 56, 13273–13280. [Google Scholar] [CrossRef]






© 2019 by the authors. Licensee MDPI, Basel, Switzerland. This article is an open access article distributed under the terms and conditions of the Creative Commons Attribution (CC BY) license (http://creativecommons.org/licenses/by/4.0/).
Share and Cite
Raja, D.; Gardy, J.; Hassanpour, A.; Ho, C.-Y.; Fernandez Garcia, J. RETRACTED: Transient Operation: A Catalytic Chemoselective Hydrogenation of 2-Methyl-3-Butyn-2-ol via a Cooperative Pd and Radiofrequency Heating Directed Kinetic Resolution. Catalysts 2019, 9, 283. https://doi.org/10.3390/catal9030283
Raja D, Gardy J, Hassanpour A, Ho C-Y, Fernandez Garcia J. RETRACTED: Transient Operation: A Catalytic Chemoselective Hydrogenation of 2-Methyl-3-Butyn-2-ol via a Cooperative Pd and Radiofrequency Heating Directed Kinetic Resolution. Catalysts. 2019; 9(3):283. https://doi.org/10.3390/catal9030283
Chicago/Turabian StyleRaja, Duaa, Jabbar Gardy, Ali Hassanpour, Chun-Yu Ho, and Javier Fernandez Garcia. 2019. "RETRACTED: Transient Operation: A Catalytic Chemoselective Hydrogenation of 2-Methyl-3-Butyn-2-ol via a Cooperative Pd and Radiofrequency Heating Directed Kinetic Resolution" Catalysts 9, no. 3: 283. https://doi.org/10.3390/catal9030283
APA StyleRaja, D., Gardy, J., Hassanpour, A., Ho, C.-Y., & Fernandez Garcia, J. (2019). RETRACTED: Transient Operation: A Catalytic Chemoselective Hydrogenation of 2-Methyl-3-Butyn-2-ol via a Cooperative Pd and Radiofrequency Heating Directed Kinetic Resolution. Catalysts, 9(3), 283. https://doi.org/10.3390/catal9030283

