Cu(II) and Fe(III) Complexes Derived from N-Acetylpyrazine-2-Carbohydrazide as Efficient Catalysts Towards Neat Microwave Assisted Oxidation of Alcohols
Abstract
1. Introduction
2. Results and Discussion
2.1. Synthesis and Characterizations
2.2. General Description of the Crystal Structure
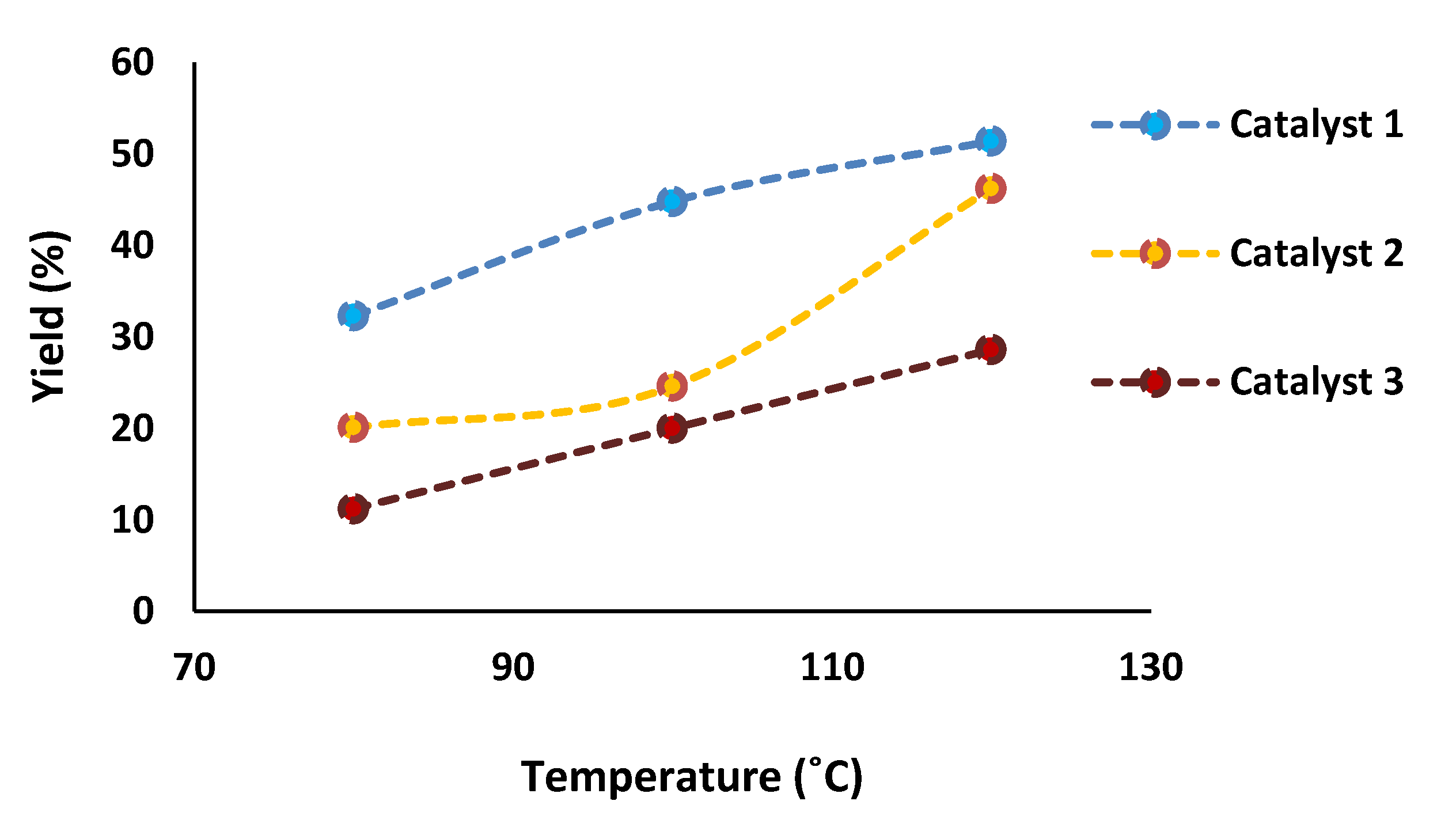
2.3. Catalytic Studies
3. Materials and Methods
3.1. Synthesis of the Pro-Ligand H2L
3.2. Synthesis of [Cu(kNN’O-HL)(H2O)2] (1)
3.3. Synthesis of [Fe(kNN’O-HL)Cl2] (2) and [Fe(kNN’O-HL)Cl(µ-OMe)]2 (3)
3.4. X-Ray Measurements
3.5. Catalytic Studies
Typical Procedures for the Catalytic Oxidation of Alcohols and Product Analysis
4. Conclusions
Supplementary Materials
Author Contributions
Funding
Acknowledgments
Conflicts of Interest
References
- Gupta, K.C.; Sutar, A.K. Catalytic activities of Schiff base transition metal complexes. Coord. Chem. Rev. 2008, 252, 1420–1450. [Google Scholar] [CrossRef]
- Chelucci, G. Ruthenium and osmium complexes in C-C bond-forming reactions by borrowing hydrogen catalysis. Coord. Chem. Rev. 2017, 331, 1–36. [Google Scholar] [CrossRef]
- Sutradhar, M.; Martins, L.M.D.R.S.; Guedes da Silva, M.F.C.; Pombeiro, A.J.L. Vanadium complexes: Recent progress in oxidation catalysis. Coord. Chem. Rev. 2015, 301–302, 200–239. [Google Scholar] [CrossRef]
- Sutradhar, M.; Roy Barman, T.; Pombeiro, A.J.L.; Martins, L.M.D.R.S. Ni(II)-Aroylhydrazone Complexes as Catalyst Precursors Towards Efficient Solvent-Free Nitroaldol Condensation Reaction. Catalysts 2019, 9, 554. [Google Scholar] [CrossRef]
- Sutradhar, M.; Kirillova, M.V.; Guedes da Silva, M.F.C.; Cai-Ming, L.; Pombeiro, A.J.L. Tautomeric effect of hydrazone Schiff bases in tetranuclear Cu(II) complexes: Magnetism and catalytic activity towards mild hydrocarboxylation of alkanes. Dalton. Trans. 2013, 42, 16578–16587. [Google Scholar] [CrossRef] [PubMed]
- Sutradhar, M.; Martins, L.M.D.R.S.; Guedes da Silva, M.F.C.; Pombeiro, A.J.L. Oxido vanadium complexes with tridentate aroylhydrazone as catalyst precursors for solvent-free microwave-assisted oxidation of alcohol. Appl. Cat. A Gen. 2015, 493, 50–57. [Google Scholar] [CrossRef]
- Sutradhar, M.; Alegria, E.C.B.A.; Mahmudov, K.T.; Guedes da Silva, M.F.C.; Pombeiro, A.J.L. Iron(III) and cobalt(III) complexes with both tautomeric (keto and enol) forms of aroylhydrazone ligands: Catalysts for the microwave assisted oxidation of alcohols. RSC Adv. 2016, 6, 8079–8088. [Google Scholar] [CrossRef]
- Sutradhar, M.; Da Silva, M.F.C.G.; Pombeiro, A.J. A new cyclic binuclear Ni(II) complex as a catalyst towards nitroaldol (Henry) reaction. Catal. Commun. 2014, 57, 103–106. [Google Scholar] [CrossRef]
- Sutradhar, M.; Alegria, E.C.B.A.; Roy Barman, T.; Scorcelletti, F.; Guedes da Silva, M.F.C.; Pombeiro, A.J.L. Microwave-assisted peroxidative oxidation of toluene and 1-phenylethanol with monomeric keto and polymeric enol aroylhydrazone Cu(II) complexes. Mol. Catal. 2017, 439, 224–232. [Google Scholar] [CrossRef]
- Martins, L.M.D.R.S.; Pombeiro, A.J.L. Tris(pyrazol-1yl)methane metal complexes for catalytic mild oxidative functionalizations of alkanes, alkenes and ketones. Coord. Chem. Rev. 2014, 265, 74–88. [Google Scholar] [CrossRef]
- Martins, L.M.D.R.S. C-scorpionate complexes: Ever young catalytic tools. Coord. Chem. Rev. 2019, 396, 89–102. [Google Scholar] [CrossRef]
- Ribeiro, A.P.C.; Martins, L.M.D.R.S.; Pombeiro, A.J.L. Carbon dioxide-to-methanol single-pot conversion using a C-scorpionate iron(II) catalyst. Green Chem. 2017, 19, 4801–4962. [Google Scholar] [CrossRef]
- Ribeiro, A.P.C.; Martins, L.M.D.R.S.; Pombeiro, A.J.L. N2O-free single-pot conversion of cyclohexane to adipic acid catalysed by an iron(II) scorpionate complex. Green Chem. 2017, 19, 1499–1501. [Google Scholar] [CrossRef]
- Montoya, C.A.; Gómez, C.F.; Paninho, A.B.; Nunes, A.V.M.; Mahmudov, K.T.; Najdanovic-Visak, V.; Martins, L.M.D.R.S.; Guedes da Silva, M.F.C.; Nunes da Ponte, M.; Pombeiro, A.J.L. Cyclic carbonate synthesis from CO2 and epoxides using zinc(II) complexes of arylhydrazones of β-diketones. J. Catal. 2016, 335, 135–140. [Google Scholar] [CrossRef]
- Abrantes, M.; Valente, A.; Pillinger, M.; Goncalves, I.S.; Rocha, J.; Romao, C.C. Organotin–Oxometalate Coordination Polymers as Catalysts for the Epoxidation of Olefins. J. Catal. 2002, 209, 237–244. [Google Scholar] [CrossRef]
- Togni, A.; Venanzi, L.M. Nitrogen Donors in Organometallic Chemistry and Homogeneous Catalysis. Angew. Chem. Int. Ed. Engl. 1994, 33, 497–526. [Google Scholar] [CrossRef]
- Fache, F.; Dunjic, B.; Gamez, P.; Lemaire, M. Recent advances in homogeneous and heterogeneous asymmetric catalysis with nitrogen-containing ligands. Top. Catal. 1997, 4, 201–209. [Google Scholar] [CrossRef]
- Marko, I.E.; Giles, P.R.; Tsukazaki, M.; Brown, S.M. Copper-Catalyzed Oxidation of Alcohols to Aldehydes and Ketones: An Efficient, Aerobic Alternative. Science 1996, 274, 2044–2046. [Google Scholar] [CrossRef]
- Larock, R.C. Comprehensive Organic Transformations; Wiley-VCH: New York, NY, USA, 1999. [Google Scholar]
- Wang, X.; Wu, G.; Wei, W.; Sun, Y. Solvent-free oxidation of alcohols by hydrogen peroxide over chromium Schiff base complexes immobilized on MCM-41. Trans. Met. Chem. 2010, 35, 213–220. [Google Scholar] [CrossRef]
- Farhadi, S.; Zaidi, M. Polyoxometalate–zirconia (POM/ZrO2) nanocomposite prepared by sol-gel process: A green and recyclable photocatalyst for efficient and selective aerobic oxidation of alcohols into aldehydes and ketones. Appl. Catal. A 2009, 354, 119–126. [Google Scholar] [CrossRef]
- Brühne, F.; Wright, E. Benzaldehyde, Ullmann’s Encyclopedia of Industrial Chemistry; Wiley-VCH Verlag GmbH & Co. KGaA: Weinheim, Germany, 2011; Volume 5, pp. 223–233. [Google Scholar]
- Lee, D.G.; Spitzer, U.A. Aqueous dichromate oxidation of primary alcohols. J. Org. Chem. 1970, 35, 3589–3590. [Google Scholar] [CrossRef]
- Prabhakaran, P.V.; Venkatachalam, S.; Ninan, K.N. Permanganate ion supported over crosslinked polyvinylamine as an oxidising agent for alcohols. Eur. Poly. J. 1999, 35, 1743–1746. [Google Scholar] [CrossRef]
- Abad, A.; Almela, C.; Corma, A.; García, H. Efficient chemoselective alcohol oxidation using oxygen as oxidant. Superior performance of gold over palladium catalysts. Tetrahedron 2006, 62, 6666–6672. [Google Scholar] [CrossRef]
- Tojo, G.; Fernandez, M. Oxidation of Alcohols to Aldehydes and Ketones: A Guide to Current Common Practice; Springer: New York, NY, USA, 2006. [Google Scholar]
- Ullmann’s Encyclopedia of Industrial Chemistry, 6th ed.; Wiley-VCH: Weinheim, Germany, 2002.
- Mardani, H.R.; Golchoubian, H. Effective oxidation of benzylic and aliphatic alcohols with hydrogen peroxide catalyzed by a manganese(III) Schiff-base complex under solvent-free conditions. Tetrahedron Lett. 2006, 47, 2349–2352. [Google Scholar] [CrossRef]
- Sutradhar, M.; Martins, L.M.; Roy Barman, T.; Kuznetsov, M.L.; Guedes da Silva, M.F.C.; Pombeiro, A.J.L. Vanadium complexes of different nuclearities in the catalytic oxidation of cyclohexane and cyclohexanol—An experimental and theoretical investigation. New. J. Chem. 2019, 43, 17557–17570. [Google Scholar] [CrossRef]
- Sutradhar, M.; Roy Barman, T.; Alegria, E.C.B.A.; Guedes da Silva, M.F.C.; Liu, C.-M.; Kou, H.-Z.; Pombeiro, A.J.L. Cu(II) complexes of N-rich aroylhydrazone: Magnetism and catalytic activity towards microwave-assisted oxidation of xylenes. Dalton Trans. 2019, 48, 12839–12849. [Google Scholar] [CrossRef]
- Sutradhar, M.; Alegria, E.C.B.A.; Guedes da Silva, M.F.C.; Martins, L.M.D.R.S.; Pombeiro, A.J.L. Aroylhydrazone Cu(II) complexes in keto form: Structural characterization and catalytic activity towards cyclohexane oxidation. Molecules 2016, 21, 425. [Google Scholar] [CrossRef]
- Sutradhar, M.; Martins, L.M.D.R.S.; Carabineiro, S.A.C.; Guedes da Silva, M.F.C.; Buijnsters, J.G.; Figueiredo, J.L.; Pombeiro, A.J.L. Oxidovanadium(V) Complexes Anchored on Carbon Materials as Catalysts for the Oxidation of 1-Phenylethanol. ChemCatChem 2016, 8, 2254–2266. [Google Scholar] [CrossRef]
- Sutradhar, M.; Martins, L.M.D.R.S.; Guedes da Silva, M.F.C.; Alegria, E.C.B.A.; Liu, C.-M.; Pombeiro, A.J.L. Mn(II,II) complexes: Magnetic properties and microwave assisted oxidation of alcohols. Dalton Trans. 2014, 43, 3966–3977. [Google Scholar] [CrossRef]
- Sutradhar, M.; Alegria, E.C.B.A.; Guedes da Silva, M.F.C.; Liu, C.-M.; Pombeiro, A.J.L. Trinuclear Cu(II) structural isomers: Coordination, magnetism, electrochemistry and catalytic activity toward oxidation of alkanes. Eur. J. Inorg. Chem. 2015, 2015, 3959–3969. [Google Scholar] [CrossRef]
- Sutradhar, M.; Alegria, E.C.B.A.; Guedes da Silva, M.F.C.; Liu, C.-M.; Pombeiro, A.J.L. Peroxidative oxidation of alkanes and alcohols under mild conditions by di- and tetranuclear copper(II) complexes of bis(2-hydroxybenzylidene)isophthalohydrazide. Molecules 2018, 23, 2699. [Google Scholar] [CrossRef] [PubMed]
- Sutradhar, M.; Roy Barman, T.; Pombeiro, A.J.L.; Martins, L.M.D.R.S. Catalytic Activity of Polynuclear vs. Dinuclear Aroylhydrazone Cu(II) Complexes in Microwave-Assisted Oxidation of Neat Aliphatic and Aromatic Hydrocarbons. Molecules 2019, 24, 47. [Google Scholar] [CrossRef] [PubMed]
- Timokhin, I.; Pettinari, C.; Marchetti, F.; Pettinari, R.; Condello, F.; Galli, S.; Alegria, E.C.B.A.; Martins, L.M.D.R.S.; Pombeiro, A.J.L. Novel Coordination Polymers with (Pyrazolato)-based Tectons: Catalytic Activity in the Peroxidative Oxidation of Alcohols and Cyclohexane. Cryst. Growth Des. 2015, 15, 2303–2317. [Google Scholar] [CrossRef]
- Alexandru, M.; Cazacu, M.; Arvinte, A.; Shova, S.; Turta, C.; Simionescu, B.C.; Dobrov, A.; Alegria, E.C.B.A.; Martins, L.M.D.R.S.; Pombeiro, A.J.L.; et al. Chlorido-bridged dimanganese(II) complexes of the Schiff base derived from [2+2]condensation of 2,6-diformyl-4-methylphenol and 1,3-bis(3-aminopropyl)tetramethyldisiloxane: Structure, Magnetism, Electrochemical Behaviour and Catalytic Oxidation of Secondary Alcohols. Eur. J. Inorg. Chem. 2014, 2014, 120–131. [Google Scholar]
- Ribeiro, A.P.C.; Martins, L.M.D.R.S.; Hazra, S.; Pombeiro, A.J.L. Catalytic Oxidation of Cyclohexane with Hydrogen Peroxide and a Tetracopper(II) Complex in an Ionic Liquid. C. R. Chim. 2015, 18, 758–765. [Google Scholar] [CrossRef]
- Silva, T.F.S.; Martins, L.M.D.R.S.; Guedes da Silva, M.F.; Kuznetsov, M.L.; Fernandes, A.R.; Silva, A.; Santos, S.; Pan, C.-J.; Lee, J.-F.; Hwang, B.-J.; et al. Cobalt complexes with pyrazole ligands as catalysts for the peroxidative oxidation of cyclohexane. XAS studies and biological applications. Chem. Asian J. 2014, 9, 1132–1143. [Google Scholar] [CrossRef]
- Roy Barman, T.; Sutradhar, M.; Alegria, E.C.B.A.; Guedes da Silva, M.F.C.; Kuznetsov, M.L.; Pombeiro, A.J.L. Efficient Solvent-Free Friedel-Crafts Benzoylation and Acylation of m-Xylene Catalyzed by N-Acetylpyrazine-2-carbohydrazide-Fe(III)-chloro Complexes. ChemistrySelect 2018, 3, 8349–8355. [Google Scholar] [CrossRef]
- Sutradhar, M.; Kirillova, M.V.; Guedes da Silva, M.F.C.; Martins, L.M.D.R.S.; Pombeiro, A.J.L. A hexanuclear oxovanadium(IV,V) complex bearing N,O-ligand as a highly efficient alkane oxidation catalyst. Inorg. Chem. 2012, 51, 11229–11231. [Google Scholar] [CrossRef]
- Sutradhar, M.; Guedes da Silva, M.F.C.; Pombeiro, A.J.L. Synthesis and chemical reactivity of an Fe(III) metallacrown-6 towards N-donor Lewis bases. Inorg. Chem. Commun. 2013, 30, 42–45. [Google Scholar] [CrossRef]
- Sutradhar, M.; Guedes da Silva, M.F.C.; Nesterov, D.S.; Jezierska, J.; Pombeiro, A.J.L. 1D coordination polymer with octahedral and square-planar nickel(II) centers. Inorg. Chem. Commun. 2013, 29, 82–84. [Google Scholar] [CrossRef]
- Addison, W.; Rao, T.N.; Reedijk, J.; van Rijn, J.; Verschoor, G.C. Synthesis, structure, and spectroscopic properties of copper(II) compounds containing nitrogen–sulphur donor ligands; the crystal and molecular structure of aqua[1,7-bis(N-methylbenzimidazol-2′-yl)-2,6-dithiaheptane]copper(II) perchlorate. J. Chem. Soc. Dalton Trans. 1984, 1349–1356. [Google Scholar] [CrossRef]
- Moiseeva, I.N.; Gekham, A.E.; Minin, V.V.; Larin, G.M.; Bashtanov, M.E.; Krasnovskii, A.A.; Moiseev, I.I. Free radical/singlet dioxygen system under the conditions of catalytic hydrogen peroxide decomposition. Kinet. Catal. 2000, 41, 170–177. [Google Scholar] [CrossRef]
- Figiel, P.J.; Leskelä, M.; Repo, T. TEMPO-Copper(II) Diimine-Catalysed Oxidation of Benzylic Alcohols in Aqueous Media. Adv. Synth. Catal. 2007, 349, 1173–1179. [Google Scholar] [CrossRef]
- Ahmad, J.U.; Figiel, P.J.; Räisänen, M.T.; Leskelä, M.; Repo, T. Aerobic oxidation of benzylic alcohols with bis(3,5-di-tert-butylsalicylaldimine)copper(II) complexes. Appl. Catal. A 2009, 371, 17–21. [Google Scholar] [CrossRef]
- Xu, B.; Lumb, J.-P.; Arndtsen, B.A. A TEMPO-Free Copper-Catalyzed Aerobic Oxidation of Alcohols. Angew. Chem. Int. Ed. 2015, 54, 1–5. [Google Scholar]
- Gao, J.; Ren, Z.-G.; Lang, J.-P. Oxidation of benzyl alcohols to benzaldehydes in water catalyzed by a Cu(II) complex with a zwitterionic calix[4]arene ligand. J. Organometall. Chem. 2015, 792, 88–92. [Google Scholar] [CrossRef]
- Jlassia, R.; Ribeiro, A.P.C.; Mendes, M.; Rekik, W.; Tiago, G.A.O.; Mahmudov, K.T.; Naïli, H.; Guedes da Silva, M.F.C.; Pombeiro, A.J.L. Arylhydrazone Cd(II) and Cu(II) complexes as catalysts for secondary alcohol oxidation. Polyhedron 2017, 129, 182–188. [Google Scholar] [CrossRef]
- Zhao, Y.; Yu, C.; Wu, S.; Zhang, W.; Xue, W.; Zeng, Z. Synthesis of Benzaldehyde and Benzoic Acid by Selective Oxidation of Benzyl Alcohol with Iron(III) Tosylate and Hydrogen Peroxide: A Solvent-Controlled Reaction. Catal. Lett. 2018, 148, 3082–3092. [Google Scholar] [CrossRef]
- Pramanick, R.; Bhattacharjee, R.; Sengupta, D.; Datta, A.; Goswami, S. An Azoaromatic Ligand as Four Electron Four Proton Reservoir: Catalytic Dehydrogenation of Alcohols by Its Zinc(II) Complex. Inorg. Chem. 2018, 57, 6816–6824. [Google Scholar] [CrossRef]
- Bruker, A.X.S. APEX2 & SAINT.; AXS Inc.: Madison, WI, USA, 2004. [Google Scholar]
- Altomare, A.; Burla, M.C.; Camalli, M.; Cascarano, G.L.; Giacovazzo, C.; Guagliardi, A.; Moliterni, A.G.G.; Polidori, G.; Spagna, R. SIR97: A New Tool for Crystal Structure Determination and Refinement. J. Appl. Cryst. 1999, 32, 115–119. [Google Scholar] [CrossRef]
- Sheldrick, G.M. A Short History of SHELX. Acta Crystallogr. Sect. A 2008, 64, 112–122. [Google Scholar] [CrossRef] [PubMed]
- Farrugia, L.J. WinGX and ORTEP for Windows: An Update. J. Appl. Cryst. 2012, 45, 849–854. [Google Scholar] [CrossRef]








| 1 | |
|---|---|
| Empirical formula | C7H11CuN5O7 |
| Formula Weight | 340.75 |
| Crystal system | Monoclinic |
| Space group | C2/c |
| Temperature/K | 297 (2) |
| a/Å | 13.8799 (9) |
| b/Å | 16.9433 (10) |
| c/Å | 11.9900 (7) |
| α/° | 90 |
| β/° | 117.763 (2) |
| γ/° | 90 |
| V (Å3) | 2495.1 (3) |
| Z | 8 |
| Dcalc (g cm−3) | 1.814 |
| μ(Mo Kα) (mm−1) | 1.79 |
| Rfls. collected/unique/observed | 15921/2292/1997 |
| Rint | 0.029 |
| Final R1a, wR2b (I ≥ 2σ) | 0.027, 0.072 |
| Goodness-of-fit on F2 | 1.07 |
| Cu1—N9 | 1.8900 (18) |
| Cu1—O14 | 1.9066 (17) |
| Cu1—O12 | 2.0111 (15) |
| Cu1—N1 | 2.0813 (18) |
| Cu1—O15 | 2.260 (2) |
| N9—Cu1—O14 | 166.20 (10) |
| N9—Cu1—O12 | 80.33 (7) |
| O14—Cu1—O12 | 94.01 (7) |
| N9—Cu1—N1 | 79.43 (7) |
| O14—Cu1—N1 | 103.48 (8) |
| O12—Cu1—N1 | 157.54 (7) |
| N9—Cu1—O15 | 97.24 (8) |
| O14—Cu1—O15 | 96.11 (9) |
| O12—Cu1—O15 | 99.49 (7) |
| N1—Cu1—O15 | 92.63 (7) |
| Entry | Catalyst | Substrate | Temperature (°C) | Reaction Time (h) | Additive | Yield (%) b | TON (TOF (h-1)) c |
|---|---|---|---|---|---|---|---|
| 1 | 1 | 1-phenyl ethanol | 80 | 0.5 | - | 32.3 | 162 (324) |
| 2 | 100 | 0.5 | - | 44.8 | 224 (448) | ||
| 3 | 120 | 0.5 | - | 51.4 | 257 (514) | ||
| 4 | 120 | 1.0 | - | 86.4 | 432 (432) | ||
| 5 | 120 | 1.5 | - | 69.8 | 349 (233) | ||
| 6 | 120 | 2.0 | - | 65.4 | 327 (164) | ||
| 7 d | 120 | 1 | - | 67.6 | 338 (338) | ||
| 8 d | 120 | 4 | 87.2 | 436 (109) | |||
| 8 e | 120 | 1 | HPCA | 51.8 | 259 (259) | ||
| 9 f | 120 | 1 | HNO3 | 25.6 | 128 (128) | ||
| 10 g | 120 | 1 | TEMPO | 91.3 | 457 (457) | ||
| 11 h | 120 | 1 | Ph2NH | 5.9 | 30 (30) | ||
| 12 | benzyl alcohol | 120 | 1 | - | 33.4 | 167 (167) | |
| 13 d | 120 | 1 | - | 19.5 | 98 (98) | ||
| 14 g | 120 | 1 | TEMPO | 41.2 | 206 (206) | ||
| 15 h | 120 | 1 | Ph2NH | 3.6 | 18 (18) | ||
| 16 | cyclohexanol | 120 | 1 | - | 65.6 | 328 (328) | |
| 17 d | 120 | 1 | - | 23.9 | 120 (120) | ||
| 18 g | 120 | 1 | TEMPO | 67.9 | 274 (274) | ||
| 19 h | 120 | 1 | Ph2NH | 3.9 | 20 (20) | ||
| 20 | 2 | 1-phenyl ethanol | 80 | 0.5 | - | 20.1 | 101 (101) |
| 21 | 100 | 0.5 | - | 24.6 | 123 (123) | ||
| 22 | 120 | 0.5 | - | 46.2 | 193 (385) | ||
| 23 | 120 | 1.0 | - | 77.7 | 389 (389) | ||
| 24 | 120 | 1.5 | - | 69.3 | 347 (231) | ||
| 25 | 120 | 2.0 | - | 66.9 | 335 (167) | ||
| 26 g | 120 | 1.0 | TEMPO | 83.8 | 419 (419) | ||
| 27 h | 120 | 1.0 | Ph2NH | 4.7 | 24 (24) | ||
| 28 | benzyl alcohol | 120 | 1.0 | - | 26.7 | 133 (133) | |
| 29 | cyclohexanol | 120 | 1.0 | - | 35.8 | 179 (179) | |
| 30 | 3 | 1-phenyl ethanol | 80 | 0.5 | - | 11.2 | 56 (112) |
| 31 | 100 | 0.5 | - | 20.3 | 102 (204) | ||
| 32 | 120 | 0.5 | - | 28.6 | 143 (286) | ||
| 33 | 120 | 1.0 | - | 65.2 | 326 (326) | ||
| 34 | 120 | 1.5 | - | 60.4 | 302 (201) | ||
| 35 | 120 | 2.0 | - | 56.8 | 284 (142) | ||
| 36 g | 120 | 1.0 | TEMPO | 71.3 | 377 (377) | ||
| 37 h | 120 | 1.0 | Ph2NH | 2.8 | 14 (14) | ||
| 38 | benzyl alcohol | 120 | 1.0 | - | 18.9 | 95 (95) | |
| 39 | cyclohexanol | 120 | 1.0 | - | 36.7 | 184 (184) | |
| 40 | Cu(NO3).2.5 H2O | 1-phenyl ethanol | 120 | 1.0 | - | 6.2 | 31 (31) |
| 41 | benzyl alcohol | 120 | 1.0 | - | 2.7 | 14 (14) | |
| 42 | cyclohexanol | 120 | 1.0 | - | 4.3 | 22 (22) | |
| 43 | FeCl3 | 1-phenyl ethanol | 120 | 1.0 | - | 4.9 | 25 (25) |
| 44 | benzyl alcohol | 120 | 1.0 | - | 2.2 | 11 (11) | |
| 45 | cyclohexanol | 120 | 1.0 | - | 3.4 | 17 (17) |
| Catalyst | Amount (mol%) | Substrate | Oxidant | Temp (°C) | Time (h) | Yield (%) | Ref |
|---|---|---|---|---|---|---|---|
| [Cu(II)L1(H2O)]I2 | 0.25 | Benzyl alcohol | H2O2 (in the presence of TEMPO and K2CO3) | 60 | 24 | 99 | 51 |
| [Cu(im)(µ-HL2-1κO:2κNOO′)]2 | 0.15 | 1-phenylethanol | H2O2 (in the presence of TEMPO) | 80 (MW irradiation) | 1 | 74 | 52 |
| Fe(OTs)3·6H2O | 0.1 | Benzyl alcohol | H2O2 | 60 | 16 | 85.6 | 53 |
| ZnL3Cl2 | 5 | Benzyl alcohol | O2 (in the presence of KtBuO, Zn dust) | 60 | 24 | 76 | 54 |
| [Cu(kNN′O-HL)(H2O)2] | 0.2 | Benzyl alcohol | TBHP (in the presence of TEMPO) | 120 (MW irradiation) | 1 | 91.3 | This work |
© 2019 by the authors. Licensee MDPI, Basel, Switzerland. This article is an open access article distributed under the terms and conditions of the Creative Commons Attribution (CC BY) license (http://creativecommons.org/licenses/by/4.0/).
Share and Cite
Sutradhar, M.; Roy Barman, T.; Pombeiro, A.J.L.; Martins, L.M.D.R.S. Cu(II) and Fe(III) Complexes Derived from N-Acetylpyrazine-2-Carbohydrazide as Efficient Catalysts Towards Neat Microwave Assisted Oxidation of Alcohols. Catalysts 2019, 9, 1053. https://doi.org/10.3390/catal9121053
Sutradhar M, Roy Barman T, Pombeiro AJL, Martins LMDRS. Cu(II) and Fe(III) Complexes Derived from N-Acetylpyrazine-2-Carbohydrazide as Efficient Catalysts Towards Neat Microwave Assisted Oxidation of Alcohols. Catalysts. 2019; 9(12):1053. https://doi.org/10.3390/catal9121053
Chicago/Turabian StyleSutradhar, Manas, Tannistha Roy Barman, Armando J. L. Pombeiro, and Luísa M. D. R. S. Martins. 2019. "Cu(II) and Fe(III) Complexes Derived from N-Acetylpyrazine-2-Carbohydrazide as Efficient Catalysts Towards Neat Microwave Assisted Oxidation of Alcohols" Catalysts 9, no. 12: 1053. https://doi.org/10.3390/catal9121053
APA StyleSutradhar, M., Roy Barman, T., Pombeiro, A. J. L., & Martins, L. M. D. R. S. (2019). Cu(II) and Fe(III) Complexes Derived from N-Acetylpyrazine-2-Carbohydrazide as Efficient Catalysts Towards Neat Microwave Assisted Oxidation of Alcohols. Catalysts, 9(12), 1053. https://doi.org/10.3390/catal9121053
