A Simple Route in Fabricating Carbon-Modified Titania Films with Glucose and Their Visible-Light-Responsive Photocatalytic Activity
Abstract
:1. Introduction
2. Results and Discussion
2.1. Photocatalytic Degradation of Nitrogen Oxides
2.2. Characterization of C–TiO2 Thin Films
2.2.1. Crystallinity and Microstructure
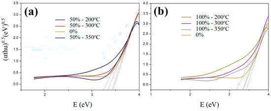
2.2.2. UV–VIS Diffuse Reflectance Spectra
2.2.3. X-ray Photoelectron Spectroscopy
2.2.4. Photochemistry Analysis
2.2.5. Contact Angles Photochemistry Analysis
3. Experimental Procedures
3.1. Preparation of Carbon-Modified TiO2 Thin Films
3.2. Evaluation of the Photocatalytic Performances of C–TiO2 Films
Photocatalytic Degradation of Nitrogen Oxides
3.3. Characterizations of C–TiO2 Thin Films
4. Summary
Author Contributions
Conflicts of Interest
References
- Giovannetti, R.; D’Amato, C.A.; Zannotti, M.; Rommozzi, E.; Gunnella, R.; Minicucci, M.; Di Cicco, A. Visible light photoactivity of Polypropylene coated Nano-TiO2 for dyes degradation in water. Sci. Rep. 2015, 5, 17801. [Google Scholar] [CrossRef] [PubMed]
- Giovannetti, R.; Rommozzi, E.; Zannotti, M.; D’Amato, C.A.; Ferraro, S.; Cespi, M.; Bonacucina, G.; Minicuccic, M.; Di Ciccoc, A. Exfoliation of graphite into graphene in aqueous solution: An application as graphene/TiO2 nanocomposite to improve visible light photocatalytic activity. RSC Adv. 2016, 6, 93048–93055. [Google Scholar] [CrossRef]
- Giovannetti, R.; Rommozzi, E.; Zannotti, M.; D’Amato, C.A. Recent Advances in Graphene Based TiO2 Nanocomposites (GTiO2Ns) for Photocatalytic Degradation of Synthetic Dyes. Catalysts 2017, 7, 305. [Google Scholar] [CrossRef]
- Linsebigler, A.L.; Lu, G.; Yates, J.T. Photocatalysis on TiO2 Surfaces: Principles, Mechanisms, and Selected Results. Chem. Rev. 1995, 95, 735–758. [Google Scholar] [CrossRef]
- Šuligoj, A.; Štangara, U.L.; Ristić, A.; Mazaj, M.; Verhovšek, D.; Tušar, N.N. TiO2–SiO2 films from organic-free colloidal TiO2 anatase nanoparticles as photocatalyst for removal of volatile organic compounds from indoor air. Appl. Catal. B: Environ. 2016, 184, 119–131. [Google Scholar] [CrossRef]
- Bhethanabotla, V.C.; Russell, D.R.; Kuhn, J.N. Assessment of mechanisms for enhanced performance of Yb/Er/titania photocatalysts for organic degradation: Role of rare earth elements in the Titania phase. Appl. Catal. B Environ. 2017, 202, 156–164. [Google Scholar] [CrossRef]
- Sampaio, M.J.; Silva, C.G.; Marques, R.R.N.; Silva, A.M.T.; Faria, J.L. Carbon nanotube–TiO2 thin films for photocatalytic applications. Catal. Today 2011, 161, 91–96. [Google Scholar] [CrossRef]
- Xu, C.; Killmeyer, R.; Gray, M.L.; Khan, S.U.M. Enhanced carbon doping of n-TiO2 thin films for photoelectrochemical water splitting. Electrochem. Commun. 2006, 8, 1650–1654. [Google Scholar] [CrossRef]
- Yang, J.; Bai, H.; Jiang, Q.; Lian, J. Visible-light photocatalysis in nitrogen-carbon-doped TiO2 films obtained by heating TiO2 gel–film in an ionized N2 gas. Thin Solid Films 2008, 516, 1736–1742. [Google Scholar] [CrossRef]
- Martin, M.; Leonid, S.; Tomáš, R.; Jan, Š.; Jaroslav, K.; Mariana, K.; Michaela, J.; František, P.; Gustav, P. Anatase TiO2 nanotube arrays and titania films on titanium mesh for photocatalytic NOX removal and water cleaning. Catal. Today 2017, 287, 59–64. [Google Scholar] [CrossRef]
- Hsu, S.W.; Yang, T.S.; Chen, T.K.; Wong, M.S. Ion-assisted electron-beam evaporation of carbon-doped titanium oxide films as visible-light photocatalyst. Thin Solid Films 2007, 515, 3521–3526. [Google Scholar] [CrossRef]
- Mai, L.; Huang, C.; Wang, D.; Zhang, Z.; Wang, Y. Effect of C doping on the structural and optical properties of sol–gel TiO2 thin films. Appl. Surf. Sci. 2009, 255, 9285–9289. [Google Scholar] [CrossRef]
- Shi, J.; Zheng, J.; Wu, P.; Ji, X. Immobilization of TiO2 films on activated carbon fiber and their photocatalytic degradation properties for dye compounds with different molecular size. Catal. Commun. 2008, 9, 1846–1850. [Google Scholar] [CrossRef]
- Lin, X.; Rong, F.; Ji, X.; Fu, D. Carbon-doped mesoporous TiO2 film and its photocatalytic activity. Microporous Mesoporous Mater. 2011, 142, 276–281. [Google Scholar] [CrossRef]
- Wong, M.S.; Hsu, S.W.; Rao, K.K.; Kumar, C.P. Influence of crystallinity and carbon content on visible light photocatalysis of carbon doped titania thin films. J. Mol. Catal. A Chem. 2008, 279, 20–26. [Google Scholar] [CrossRef]
- Wang, H.; Quan, X.; Yu, H.; Chen, S. Fabrication of a TiO2/carbon nanowall heterojunction and its photocatalytic ability. Carbon 2008, 46, 1126–1132. [Google Scholar] [CrossRef]
- Sellappan, R.; Zhu, J.; Fredriksson, H.; Martins, R.S.; Zäch, M.; Chakarov, D. Preparation and characterization of TiO2/carbon composite thin films with enhanced photocatalytic activity. J. Mol. Catal. A Chem. 2011, 335, 136–144. [Google Scholar] [CrossRef]
- Zhong, J.; Chen, F.; Zhang, J. Carbon-Deposited TiO2: Synthesis, Characterization, and Visible Photocatalytic Performance. J. Phys. Chem. C 2010, 114, 933–939. [Google Scholar] [CrossRef]
- Payne, H.F. The dip coater: An instrument for making uniform films by the dip method. Ind. Eng. Chem. 1943, 15, 48–56. [Google Scholar] [CrossRef]
- Zare-Hossein-abadi, D.; Ershad-Langroudi, A.; Rahimi, A.; Afsar, S. Photo-Generated Activities of Nanocrystalline TiO2 Thin Films. J. Inorg. Organomet. Polym. Mater. 2010, 20, 250–257. [Google Scholar] [CrossRef]
- Tryba, B.; Tsumura, T.; Janus, M.; Morawski, A.W.; Inagaki, M. Carbon-coated anatase: Adsorption and decomposition of phenol in water. Appl. Catal. B Environ. 2004, 50, 177–183. [Google Scholar] [CrossRef]
- Ohtani, B. Photocatalysis A to Z—What we know and what we do not know in a scientific sense. J. Photochem. Photobiol. C 2010, 11, 157–178. [Google Scholar] [CrossRef]
- Ohtani, B. Preparing Articles on Photocatalysis—Beyond the Illusions, Misconceptions, and Speculation. Chem. Lett. 2008, 37, 216–229. [Google Scholar] [CrossRef]
- Tseng, Y.H.; Kuo, C.H. Photocatalytic degradation of dye and NOx using visible-light-responsive carbon-containing TiO2. Catal. Today 2011, 174, 114–120. [Google Scholar] [CrossRef]
- Chen, C.; Cai, W.; Long, M.; Zhou, B.; Wu, Y.; Wu, D.; Feng, Y. Synthesis of visible-light responsive graphene oxide/TiO2 composites with p/n heterojunction. ACS Nano 2010, 4, 6425–6432. [Google Scholar] [CrossRef] [PubMed]
- Takeuchi, M.; Sakamoto, K.; Martra, G.; Coluccia, S.; Anpo, M. Mechanism of photoinduced superhydrophilicity on the TiO2 photocatalyst surface. J. Phys. Chem. B 2005, 109, 15422–15428. [Google Scholar] [CrossRef] [PubMed]















| Sample | Conc. | 0% | 25% | 50% | 100% | 200% | 300% | ||||
| Temp. (°C) | 300 | 300 | 200 | 300 | 350 | 200 | 300 | 350 | 300 | 300 | |
| Grain Size (nm) | 8.90 | 8.50 | 7.93 | 7.05 | 7.98 | 9.13 | 8.07 | 7.14 | 7.37 | 7.52 | |
| Sample | Conc. | 0% | 25% | 50% | 100% | 200% | 300% | ||||
| Temp. (°C) | 300 | 300 | 200 | 300 | 350 | 200 | 300 | 350 | 300 | 300 | |
| Photocurrent Density (nA/cm2) | 47.6 | 260.9 | 154.3 | 292.7 | 37.0 | 64.6 | 418.9 | 67.9 | 424.3 | 242.3 | |
© 2018 by the authors. Licensee MDPI, Basel, Switzerland. This article is an open access article distributed under the terms and conditions of the Creative Commons Attribution (CC BY) license (http://creativecommons.org/licenses/by/4.0/).
Share and Cite
Chen, S.-H.; Hsiao, Y.-C.; Chiu, Y.-J.; Tseng, Y.-H. A Simple Route in Fabricating Carbon-Modified Titania Films with Glucose and Their Visible-Light-Responsive Photocatalytic Activity. Catalysts 2018, 8, 178. https://doi.org/10.3390/catal8050178
Chen S-H, Hsiao Y-C, Chiu Y-J, Tseng Y-H. A Simple Route in Fabricating Carbon-Modified Titania Films with Glucose and Their Visible-Light-Responsive Photocatalytic Activity. Catalysts. 2018; 8(5):178. https://doi.org/10.3390/catal8050178
Chicago/Turabian StyleChen, Shih-Hsun, Yu-Cheng Hsiao, Yu-Jia Chiu, and Yao-Hsuan Tseng. 2018. "A Simple Route in Fabricating Carbon-Modified Titania Films with Glucose and Their Visible-Light-Responsive Photocatalytic Activity" Catalysts 8, no. 5: 178. https://doi.org/10.3390/catal8050178
APA StyleChen, S.-H., Hsiao, Y.-C., Chiu, Y.-J., & Tseng, Y.-H. (2018). A Simple Route in Fabricating Carbon-Modified Titania Films with Glucose and Their Visible-Light-Responsive Photocatalytic Activity. Catalysts, 8(5), 178. https://doi.org/10.3390/catal8050178

