Photocatalytic Performance and Degradation Mechanism of Aspirin by TiO2 through Response Surface Methodology
Abstract
:1. Introduction
2. Results and Discussion
2.1. PC Removal Degradation of Aspirin
2.2. Multivariable Experimental Design
2.3. Analysis of Degradation Intermediates
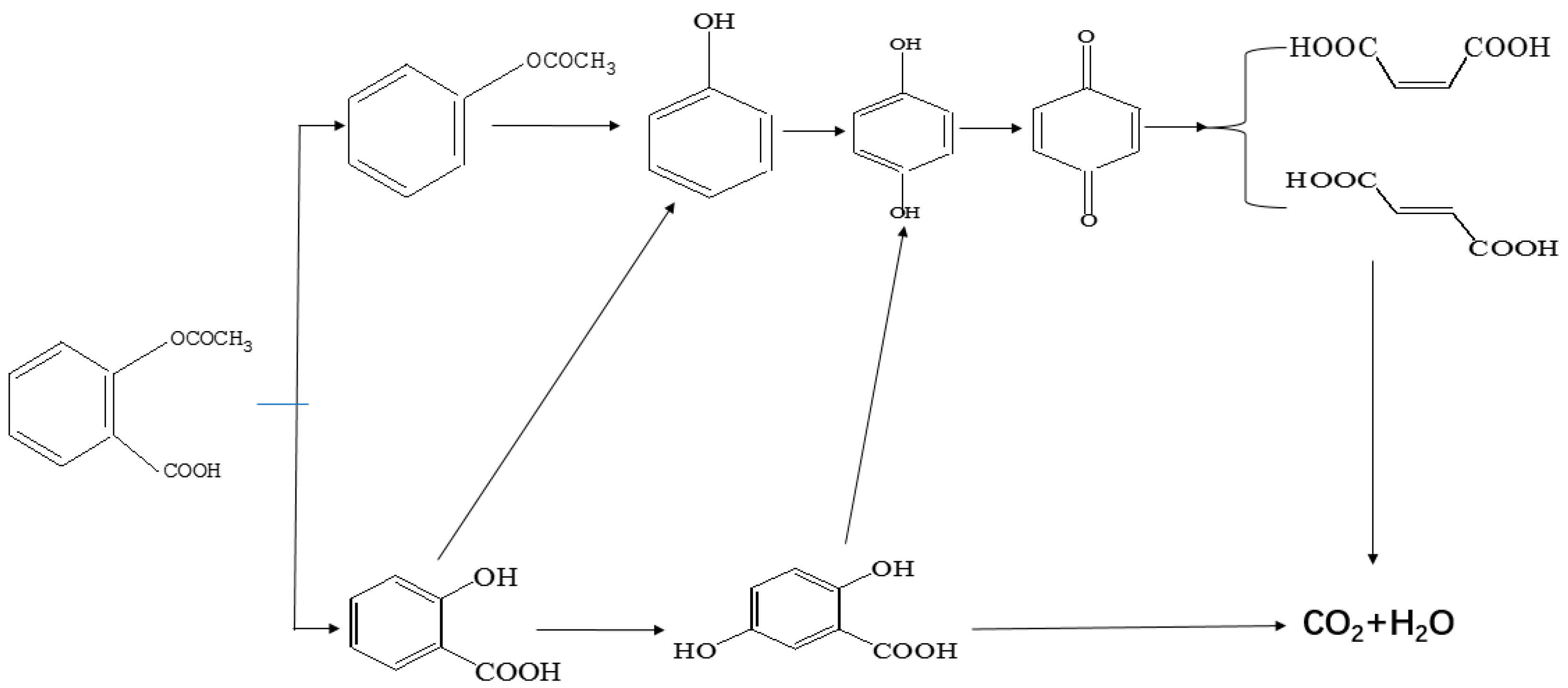
2.4. Preliminary Reaction Mechanism
3. Materials and Method
3.1. Materials
3.2. Design of Experiment
3.3. PC Degradation Experiments
4. Conclusions
Supplementary Materials
Acknowledgments
Author Contributions
Conflicts of Interest
References
- Boyd, G.R.; Reemtsma, H.; Grimm, D.A.; Mitra, S. Pharmaceuticals and personal care products PPCPs in surface and treated waters of Louisiana, USA and Ontario, Canada. Sci. Total Environ. 2003, 311, 135–149. [Google Scholar] [CrossRef]
- Gunnarsdottir, R.; Jenssen, P.D.; Jensen, P.E.; Villumsen, A.; Kallenborn, R. A review of wastewater handling in the Arctic with special reference to pharmaceuticals and personal care products PPCPs and microbial pollution. Ecol. Eng. 2013, 50, 76–85. [Google Scholar] [CrossRef]
- Ma, N.; Liu, X.W.; Yang, Y.J.; Li, J.Y.; Mohamed, I.; Liu, G.R.; Zhang, J.Y. Preventive Effect of Aspirin Eugenol Ester on Thrombosis in κ-Carrageenan-Induced Rat Tail Thrombosis Model. PLoS ONE 2015, 10, 0133125. [Google Scholar] [CrossRef] [PubMed]
- Adebayo, G.I.; Williams, J.; Healy, S. Aspirin esterase activity—Evidence for skewed distribution in healthy volunteers. Eur. J. Int. Med. 2007, 18, 299–303. [Google Scholar] [CrossRef] [PubMed]
- Galus, M. Chronic Exposure to Environmentally Relevant Pharmaceutical Concentrations Effects Reproductive and Developmental Physiology in Zebrafsih Danio Rerio. 2014. Available online: https://macsphere.mcmaster.ca/handle/11375/16282 (accessed on 19 February 2018).
- Agunbiade, F.O.; Moodley, B. Occurrence and distribution pattern of acidic pharmaceuticals in surface water, wastewater, and sediment of the Msunduzi River, Kwazulu-Natal, South Africa. Environ. Toxicol. Chem. 2016, 35, 36–46. [Google Scholar] [CrossRef] [PubMed]
- Vieno, N.M.; Härkki, H.; Tuhkanen, T.; Kronberg, L. Occurrence of pharmaceuticals in river water and their elimination in a pilot-scale drinking water treatment plant. Environ. Sci. Technol. 2007, 41, 5077–5084. [Google Scholar] [CrossRef] [PubMed]
- Bouju, H.; Nastold, P.; Beck, B.; Hollender, J.; Corvini, P.F.; Wintgens, T. Elucidation of biotransformation of diclofenac and 4’hydroxydiclofenac during biological wastewater treatment. J. Hazard. Mater. 2016, 301, 443–452. [Google Scholar] [CrossRef] [PubMed]
- Yu, H.; Nie, E.; Xu, J.; Yan, S.; Cooper, W.J.; Song, W. Degradation of Diclofenac by Advanced Oxidation and Reduction Processes: Kinetic Studies, Degradation Pathways and Toxicity Assessments. Water Res. 2013, 47, 1909–1918. [Google Scholar] [CrossRef] [PubMed]
- Li, W.; Zhou, Q.; Tao, H. Removal of Organic Matter from Landfill Leachate by Advanced Oxidation Processes: A Review. Int. J. Chem. Eng. 2010, 2010, 1–10. [Google Scholar] [CrossRef]
- Shen, R.Q.; Andrews, S.A. Demonstration of 20 pharmaceuticals and personal care products PPCPs as nitrosamine precursors during chloramine disinfection. Water Res. 2011, 45, 944–952. [Google Scholar] [CrossRef] [PubMed]
- Eskandarian, M.R.; Choi, H.; Fazli, M.; Rasoulifard, M.H. Effect of UV-LED wavelengths on direct photolytic and TiO2 photocatalytic degradation of emerging contaminants in water. Chem. Eng. J. 2016, 300, 414–422. [Google Scholar] [CrossRef]
- Arlos, M.J.; Hatat-Fraile, M.M.; Liang, R.; Bragg, L.M.; Zhou, N.Y.; Andrews, S.A.; Servos, M.R. Photocatalytic decomposition of organic micropollutants using immobilized TiO2 having different isoelectric points. Water Res. 2016, 101, 351–361. [Google Scholar] [CrossRef] [PubMed]
- Jallouli, N.; Pastrana-Martínez, L.M.; Ribeiro, A.R.; Moreira, N.F.F.; Faria, J.L.; Hentati, O.; Silva, A.M.T.; Ksibi, M. Heterogeneous photocatalytic degradation of ibuprofen in ultrapure water, municipal and pharmaceutical industry wastewaters using a TiO2/UV-LED system. Chem. Eng. J. 2018, 334, 976–984. [Google Scholar] [CrossRef]
- Zhang, H.; Zong, R.; Zhao, J.; Zhu, Y. Dramatic visible photocatalytic degradation performances due to synergetic effect of TiO2 with PANI. Environ. Sci. Technol. 2008, 42, 3803–3807. [Google Scholar] [CrossRef] [PubMed]
- Fujishima, A.; Honda, K. Photolysis-decomposition of water at surface of an irradiated semiconductor. Nature 1972, 238, 238–245. [Google Scholar] [CrossRef]
- Lu, N.; Quan, X.; Li, J.; Chen, S.; Yu, A.H.; Chen, G.H. Fabrication of Boron-Doped TiO2 Nanotube Array Electrode and Investigation of Its Photoelectrochemical Capability. J. Phys. Chem. C 2007, 111, 11836–11842. [Google Scholar] [CrossRef]
- Nie, J.; Mo, Y.; Zheng, B.; Yuan, H.; Xiao, D. Electrochemical fabrication of lanthanum-doped TiO2 nanotube array electrode and investigation of its photoelectrochemical capability. Electrochim. Acta 2013, 90, 589–596. [Google Scholar] [CrossRef]
- Li, D.; Jia, J.; Zheng, T.; Cheng, X.; Yu, X. Construction and characterization of visible light active Pdnano-crystallite decorated and C-N-S-co-doped TiO2 nanosheet array photoelectrode for enhanced photocatalytic degradation of acetylsalicylic acid. Appl. Catal. B Environ. 2016, 188, 259–271. [Google Scholar] [CrossRef]
- Gupta, V.K.; Fakhri, A.; Agarwal, S.; Sadeghi, N. Synthesis of MnO2/Cellulose fiber Nanocomposites for Rapid Adsorption of Insecticide compound and Optimization by Response Surface Methodology. Int. J. Biol. Macromol. 2017, 102, 840–846. [Google Scholar] [CrossRef] [PubMed]
- Arunkumar, T.; Anand, D.A.; Narendrakumar, G. Application of response surface methodology RSM -CCD for the production of laccases using submerged fermentation. Int. J. Pharm. Biosci. 2014, 5, B429–B438. [Google Scholar]
- Kusmiyati, K.; Amin, N.A.S. Application of central composite design CCD and response surface methodology RSM in the catalytic conversion of methane and ethylene into liquid fuel products. IEEE Int. Conf. Syst. Man Cybern. 2004, 5026, 5025–5030. [Google Scholar]
- Liu, J.; Li, L.; Zhou, L.; Li, B.; Xu, Z. Effect of ultrasound treatment conditions on Saccharomycescerevisiae by response surface methodology. Microb. Pathog. 2017, 111, 497–502. [Google Scholar] [CrossRef] [PubMed]
- Torgut, G.; Tanyol, M.; Biryan, F.; Pihtili, G.; Demirelli, K. Application of response surface methodology for optimization of Remazol Brilliant Blue R removal onto a novel polymeric adsorbent. J. Taiwan Inst. Chem. Eng. 2017, 80, 406–414. [Google Scholar] [CrossRef]
- Xu, H.; Ouyang, S.X.; Liu, L.Q.; Reunchan, P.; Umezawa, N.; Ye, J.H. Recent advances in TiO2-based photocatalysis. J. Mater. Chem. A 2014, 2, 12642–12661. [Google Scholar] [CrossRef]
- Ishibashi, K.; Fujishima, A.; Watanabe, T.; Hashimoto, K. Detection of active oxidative species in TiO2photocatalysis using the fluorescence technique. Electrochem. Commun. 2000, 2, 207–210. [Google Scholar] [CrossRef]
- Liang, D.Y.; Cui, C.; Hu, H.H.; Wang, Y.P.; Xu, S.; Ying, B.L.; Li, P.G.; Lu, B.Q.; Shen, H.L. One-step hydrothermal synthesis of anatase TiO2/reduced graphene oxide nanocomposites with enhanced photocatalytic activity. J. Alloys Compd. 2014, 582, 236–240. [Google Scholar] [CrossRef]
- Kinsinger, N.M.; Dudchenko, A.; Wong, A.; Kisailus, D. Synergistic effect of pH and phase in a nanocrystallinetitaniaphotocatalyst. ACS Appl. Mater. Interfaces 2013, 5, 6247–6254. [Google Scholar] [CrossRef] [PubMed]
- Mukherjee, D.; Barghi, S.; Ray, A.K. Preparation and Characterization of the TiO2 Immobilized Polymeric Photocatalyst for Degradation of Aspirin under UV and Solar Light. Processes 2013, 2, 12–23. [Google Scholar] [CrossRef]
- Zhang, B.Z.; Cui, J.D.; Zhao, G.X.; Jia, S.R. Modeling and Optimization of Phenylalanine Ammonia Lyase Stabilization in Recombinant Escherichia coli for the Continuous Synthesis of l-Phenylalanine on the Statistical-Based Experimental Designs. J. Agric. Food Chem. 2010, 58, 2795–2800. [Google Scholar] [CrossRef] [PubMed]
- Khamparia, S.; Jaspal, D. Study of decolorisation of binary dye mixture by response surface methodology. J. Environ. Manag. 2017, 201, 316–326. [Google Scholar] [CrossRef] [PubMed]
- Hisaindee, S.; Meetani, M.A.; Rauf, M.A. Application of LC-MS to the analysis of advanced oxidation process AOP degradation of dye products and reaction mechanisms. Trac Trends Anal. Chem. 2013, 49, 31–44. [Google Scholar] [CrossRef]
- Muruganandham, M.; Suri, R.; Jafari, S.; Sillanpää, M.; Lee, G.J.; Wu, J.J.; Swaminathan, M. Recent Developments in Homogeneous Advanced Oxidation Processes for Water and Wastewater Treatment. Int. J. Photoenergy 2014, 2014. [Google Scholar] [CrossRef]
- Augugliaro, V.; Litter, M.; Palmisano, L.; Soria, J. The combination of heterogeneous photocatalysis with chemical and physical operations: A tool for improving the photoprocess performance. J. Photochem. Photobiol. C Photochem. Rev. 2006, 7, 127–144. [Google Scholar] [CrossRef]
- Cui, Y.; Meng, Q.; Deng, X.; Ma, Q.; Zhang, H.; Cheng, X.; Li, X.; Xie, M.; Cheng, Q. Fabrication of platinum nano-crystallites decorated TiO2nano-tube array photoelectrode and its enhanced photoelectrocatlytic performance for degradation of aspirin and mechanism. J. Ind. Eng. Chem. 2016, 43, 177–184. [Google Scholar] [CrossRef]
- Gou, J.; Ma, Q.; Cui, Y.; Deng, X.; Zhang, H.; Cheng, X.; Li, X.; Xie, M.; Cheng, Q.; Liu, H. Visible light photocatalytic removal performance and mechanism of diclofenac degradation by Ag3PO4 sub-microcrystals through response surface methodology. J. Ind. Eng. Chem. 2017, 49, 112–121. [Google Scholar] [CrossRef]
- Li, W.J.; Li, D.Z.; Zhang, W.J.; Hu, Y.; He, Y.H.; Fu, X.Z. Microwave Synthesis of ZnxCd1−xS Nanorods and Their Photocatalytic Activity under Visible Light. J. Phys. Chem. C 2010, 114, 2154–2159. [Google Scholar] [CrossRef]
- Lin, Y.M.; Li, D.Z.; Hu, J.H.; Xiao, G.C.; Wang, J.X.; Li, W.J.; Fu, X.Z. Highly efficient photocatalytic degradation of organic pollutants by PANI-modified TiO2 composite. J. Phys. Chem. C 2012, 116, 5764–5772. [Google Scholar] [CrossRef]
- Chen, Y.M.; Lu, A.H.; Li, Y.; Zhang, L.S.; Yip, H.Y.; Zhao, H.J.; An, T.C.; Wong, P.K. Naturally occurring sphalerite as a novel cost-effective photocatalyst for bacterial disinfection under visible light. Environ. Sci. Technol. 2011, 45, 5689–5695. [Google Scholar] [CrossRef] [PubMed]
- Lalhriatpuia, C.; Tiwari, D.; Tiwari, A.; Lee, S.M. Immobilized Nanopillars-TiO2 in the efficient removal of micro-pollutants from aqueous solutions: Physico-chemical studies. Chem. Eng. J. 2015, 281, 782–792. [Google Scholar] [CrossRef]
- Rimoldi, L.; Meroni, D.; Cappelletti, G.; Ardizzone, S. Green and low cost tetracycline degradation processes by nanometric and immobilized TiO2 systems. Catal. Today 2017, 281, 38–44. [Google Scholar] [CrossRef]
- Gao, B.; Li, X.X.; Ma, Y.W.; Cao, Y.; Hu, Z.Y.; Zhang, X.M.; Fu, J.J.; Huo, K.F.; Chu, P.K. MnO2-TiO2/C nanocomposite arrays for high-performance supercapacitor electrodes. Thin Solid Films 2015, 584, 61–65. [Google Scholar] [CrossRef]
- An, T.C.; An, J.B.; Yang, H.; Li, G.Y.; Feng, H.X.; Nie, X.P. Photocatalytic degradation kinetics and mechanism of antivirus drug-lamivudine in TiO2 dispersion. J. Hazard. Mater. 2011, 197, 229–236. [Google Scholar] [CrossRef] [PubMed]








| Run | Coded Values | Independent Variables | Degradation Efficiency/% | |||||
|---|---|---|---|---|---|---|---|---|
| X1 | X2 | X3 | X1 | X2 | X3 | Experimental | Predicted | |
| 1 | −1 | +1 | −1 | 5.00 | 30.00 | 20.00 | 64.2 | 62.0 |
| 2 | 0 | 0 | 0 | 7.00 | 20.00 | 35.00 | 68.4 | 68.2 |
| 3 | 0 | 0 | − | 7.00 | 20.00 | 9.77 | 70.1 | 66.2 |
| 4 | 0 | + | 0 | 7.00 | 36.82 | 35.00 | 57.6 | 63.9 |
| 5 | 0 | 0 | + | 7.00 | 20.00 | 60.23 | 84.5 | 93.5 |
| 6 | +1 | −1 | +1 | 9.00 | 10.00 | 50.00 | 81.9 | 80.2 |
| 7 | −1 | +1 | +1 | 5.00 | 30.00 | 50.00 | 89.9 | 81.0 |
| 8 | − | 0 | 0 | 3.64 | 20.00 | 35.00 | 67.2 | 75.0 |
| 9 | −1 | −1 | +1 | 5.00 | 10.00 | 50.00 | 98.9 | 94.1 |
| 10 | −1 | −1 | −1 | 5.00 | 10.00 | 20.00 | 78.6 | 78.3 |
| 11 | + | 0 | 0 | 10.36 | 20.00 | 35.00 | 60.1 | 57.9 |
| 12 | +1 | +1 | +1 | 9.00 | 30.00 | 50.00 | 76.3 | 72.7 |
| 13 | +1 | +1 | −1 | 9.00 | 30.00 | 20.00 | 54.7 | 55.6 |
| 14 | +1 | −1 | −1 | 9.00 | 10.00 | 20.00 | 61.2 | 66.2 |
| 15 | 0 | 0 | 0 | 7.00 | 20.00 | 35.00 | 68.5 | 68.2 |
| 16 | 0 | 0 | 0 | 7.00 | 20.00 | 35.00 | 68.7 | 68.2 |
| 17 | 0 | − | 0 | 7.00 | 3.18 | 35.00 | 84.6 | 83.8 |
| Source | Sum of Squares | Degree of Freedom | Mean Square | F-value | p-value |
|---|---|---|---|---|---|
| Model | 2041.50 | 9 | 226.83 | 4.43 | 0.0313 |
| X1 | 353.08 | 1 | 353.08 | 6.90 | 0.0341 |
| X2 | 479.33 | 1 | 479.33 | 9.36 | 0.0183 |
| X3 | 927.03 | 1 | 927.03 | 18.10 | 0.0038 |
| X1 X2 | 15.96 | 1 | 15.96 | 0.31 | 0.5940 |
| X2 X3 | 1.71 | 1 | 1.71 | 0.033 | 0.8601 |
| X1 X3 | 4.96 | 1 | 4.96 | 0.097 | 0.7647 |
| X12 | 4.60 | 1 | 4.60 | 0.090 | 0.7730 |
| X22 | 44.87 | 1 | 44.87 | 0.88 | 0.3804 |
| X32 | 197.64 | 1 | 197.64 | 3.86 | 0.0902 |
| Residual | 358.44 | 7 | 51.21 | ||
| Lack of fit | 358.39 | 5 | 71.68 | 3071.92 | 0.0003 |
| Pure error | 0.047 | 2 | 0.023 | ||
| Cor total | 2399.94 | 16 |
| Number | m/z | Formula | Possible Structure |
|---|---|---|---|
| Aspirin | 179 | C9H8O4 | ![]() |
| 1 | 135 | C8H8O2 | ![]() |
| 2 | 115 | C4H4O4 | ![]() |
| 3 | 109 | C6H6O2 | ![]() |
| 4 | 107 | C6H4O2 | ![]() |
| 5 | 93 | C6H6O | ![]() |
| 6 | 137 | C7H6O3 | ![]() |
| 7 | 153 | C7H6O4 | ![]() |
| Independent Variables | Symbol | Actual Values of the Coded Variable Levels | ||||
|---|---|---|---|---|---|---|
| −1.682(−) | −1 | 0 | +1 | 1.682() | ||
| Initial pH | X1 | 3.636 | 5 | 7 | 9 | 10.364 |
| [Aspirin]0 | X2 | 3.18 | 10 | 20 | 30 | 36.82 |
| [P25] | X3 | 9.77 | 20 | 35 | 50 | 60.23 |
© 2018 by the authors. Licensee MDPI, Basel, Switzerland. This article is an open access article distributed under the terms and conditions of the Creative Commons Attribution (CC BY) license (http://creativecommons.org/licenses/by/4.0/).
Share and Cite
Li, L.; Ma, Q.; Wang, S.; Song, S.; Li, B.; Guo, R.; Cheng, X.; Cheng, Q. Photocatalytic Performance and Degradation Mechanism of Aspirin by TiO2 through Response Surface Methodology. Catalysts 2018, 8, 118. https://doi.org/10.3390/catal8030118
Li L, Ma Q, Wang S, Song S, Li B, Guo R, Cheng X, Cheng Q. Photocatalytic Performance and Degradation Mechanism of Aspirin by TiO2 through Response Surface Methodology. Catalysts. 2018; 8(3):118. https://doi.org/10.3390/catal8030118
Chicago/Turabian StyleLi, Lezhuo, Qiuling Ma, Sanfan Wang, Sanxiang Song, Bo Li, Ruonan Guo, Xiuwen Cheng, and Qingfeng Cheng. 2018. "Photocatalytic Performance and Degradation Mechanism of Aspirin by TiO2 through Response Surface Methodology" Catalysts 8, no. 3: 118. https://doi.org/10.3390/catal8030118
APA StyleLi, L., Ma, Q., Wang, S., Song, S., Li, B., Guo, R., Cheng, X., & Cheng, Q. (2018). Photocatalytic Performance and Degradation Mechanism of Aspirin by TiO2 through Response Surface Methodology. Catalysts, 8(3), 118. https://doi.org/10.3390/catal8030118








