HKUST-1 Supported on Zirconium Phosphate as an Efficient Catalyst for Solvent Free Oxidation of Cyclohexene: DFT Study
Abstract
:1. Introduction
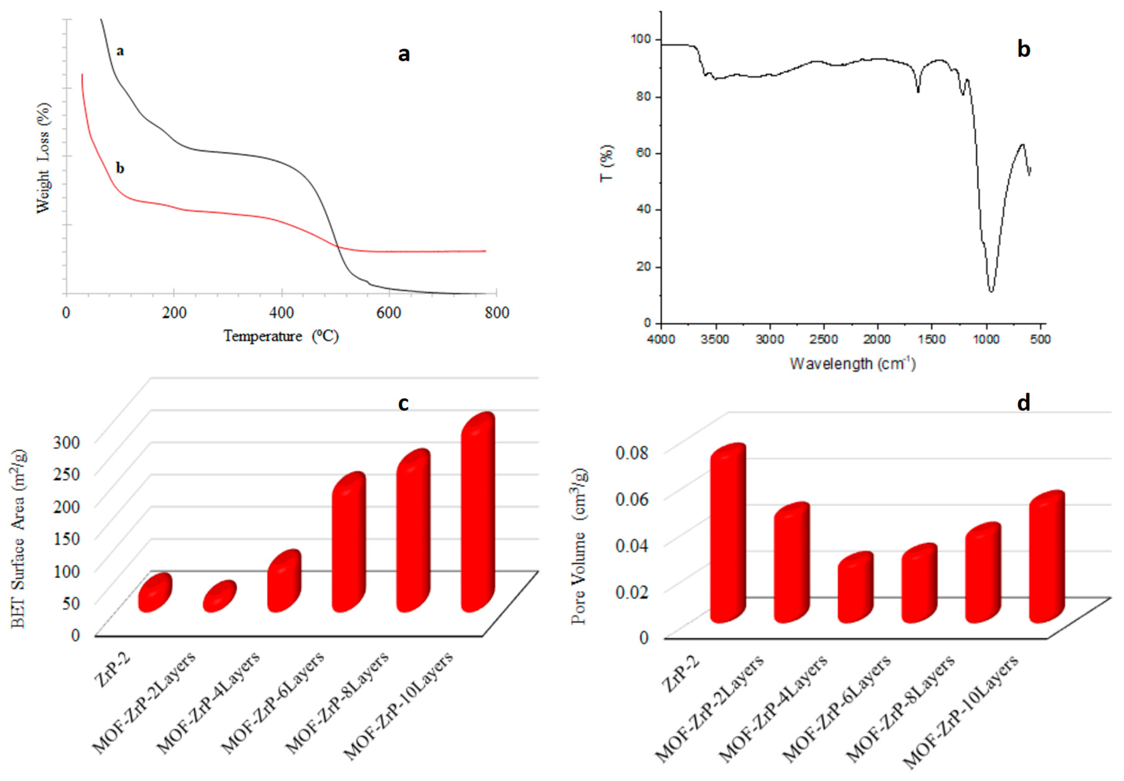
2. Results and Discussion
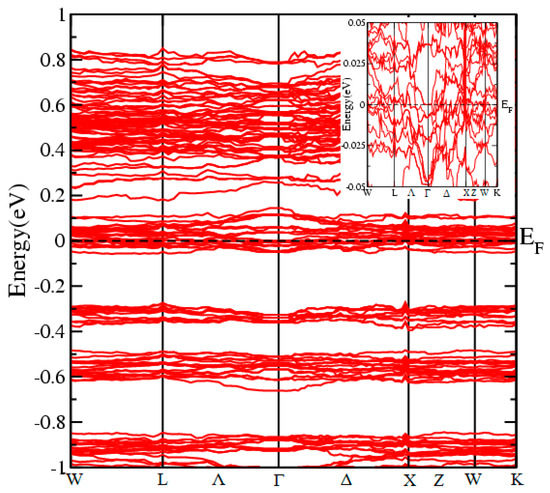
2.1. DFT Study of HKUST-1
2.2. Oxidation of Cyclohexene
3. Experimental
3.1. Synthesis of Zirconium Phosphate by Reflux Method
3.2. Sodium Ion Exchange
3.3. Synthesis of HKUST-1 on the Surface of ZrP
3.4. Characterization of the HKUST-1/ZrP
3.5. Catalytic Test of Zirconium Phosphate Supported HKUST-1
4. Conclusions
Author Contributions
Funding
Acknowledgments
Conflicts of Interest
References
- Tong, J.; Wang, W.; Su, L.; Li, Q.; Liu, F.; Ma, W.; Lei, Z.; Bo, L. Highly selective oxidation of cyclohexene to 2-cyclohexene-1-one over polyoxometalate/metal–organic framework hybrids with greatly improved performances. Catal. Sci. Technol. 2017, 7, 222–230. [Google Scholar] [CrossRef]
- Matar, S.; Hatch, L.F. Chemistry of Petrochemical Processes, 2nd ed.; Gulf Professional Publishing: Oxford, UK, 2000; p. 60. [Google Scholar]
- Kouw, C.B.; Li, H.X.; Dartt, C.B.; Davis, M.E. Selective Oxidation of Alkanes, Alkenes and Phenols with Aqueous H2O2 on Titanium Silicate Molecular Sieves. ACS Symp. Ser. 1993, 523, 273–280. [Google Scholar] [CrossRef]
- Fu, Y.; Su, D.; Qin, M.; Huang, R.; Li, Z. Cu(II)-and Co(II)-containing metal–organic frameworks (MOFs) as catalysts for cyclohexene oxidation with oxygen under solvent-free conditions. RSC Adv. 2012, 2, 3309–3314. [Google Scholar] [CrossRef]
- Liu, T.; Cheng, H.; Lin, W.; Zhang, C.; Yu, Y.; Zhao, F. Aerobic Catalytic Oxidation of Cyclohexene over TiZrCo Catalysts. Catalysts 2016, 6, 24. [Google Scholar] [CrossRef]
- Cao, Y.; Yu, H.; Peng, F.; Wang, H. Selective Allylic Oxidation of Cyclohexene Catalyzed by Nitrogen Doped Carbon Nanotubes. ACS Catal. 2014, 4, 1617–1625. [Google Scholar] [CrossRef]
- Liu, Y.Y.; Leus, K.; Bogaerts, T.; Hemelsoet, K.; Bruneel, E.; Speybroeck, V.V.; Voort, P.V. Bimetallic–Organic Framework as a Zero-Leaching Catalyst in the Aerobic Oxidation of Cyclohexene. ChemCatChem 2013, 5, 3657–3664. [Google Scholar] [CrossRef]
- Boudjema, S.; Rabaha, H.; Brahama, A.C. Oxidation of Cyclohexene with H2O2 Catalyzed by Vanadium Based Polyoxometalates Doped Modified Clays as Green Catalysts. Acta Phys. Pol. A 2017, 132. [Google Scholar] [CrossRef]
- Junghans, U.; Kobalz, M.; Erhart, O.; PreiBler, H.; Lincke, J.; Mollmer, J.; Krautscheid, H.; Glaser, R. A Series of Robust Copper-Based Triazolyl Isophthalate MOFs: Impact of Linker Functionalization on Gas Sorption and Catalytic Activity. Materials 2017, 10, 338. [Google Scholar] [CrossRef] [PubMed]
- Farzaneh, F.; Hamidipour, L. Mn-Metal Organic Framework as Heterogenous Catalyst for Oxidation of Alkanes and Alkenes. J. Sci. Islam. Repub. Iran 2016, 27, 31–37. [Google Scholar]
- Yepez, R.; Garcia, S.; Schachat, P.; Sanchez, M.S.; Gonzalez-Estefan, J.H.; Gonzalez-Zamora, E.; Ibarra, I.A.; Aguillar-Pliego, J. Catalytic activity of HKUST-1 in the oxidation of trans-ferulic acid to vanillin. New J. Chem. 2015, 39, 5112–5115. [Google Scholar] [CrossRef]
- Toyao, T.; Miyahara, K.; Fujiwaki, M.; Kim, T.H.; Dohshi, S.; Horiuchi, Y.; Matsuoka, M. Immobilization of Cu Complex into Zr-based MOF with Bipyridine Units for Heterogeneous Selective Oxidation. J. Phys. Chem. 2015, 119, 8131–8137. [Google Scholar] [CrossRef]
- Toyao, T.; Styles, M.J.; Yago, T.; Sadiq, M.M.; Riccò, R.; Suzuki, K.; Horiuchi, Y.; Takahashi, M.; Matsuoka, M.; Falcaro, P. Fe3O4@HKUST-1 and Pd/Fe3O4@HKUST-1 as magnetically recyclable catalysts prepared via conversion from a Cu-based ceramic. CrystEngComm 2017, 19, 4201–4210. [Google Scholar] [CrossRef]
- Zhao, J.; Wang, W.; Tang, H.; Ramella, D.; Luan, Y. Modification of Cu2+ into Zr-based metal–organic framework (MOF) with carboxylic units as an efficient heterogeneous catalyst for aerobic epoxidation of olefins. Mol. Catal. 2018, 456, 57–64. [Google Scholar] [CrossRef]
- Bellezza, F.; Cipiciani, A.; Constantino, U.; Negozio, M.E. Zirconium Phosphate and Modified Zirconium Phosphates as Support of Lipase. Preparation of Composites and Activity of the Supprted Enzyme. Langmiur 2002, 18, 8737–8742. [Google Scholar] [CrossRef]
- Stynes, J.A.; Clearfield, A. The preparation of Crystalline Zirconium Phosphate and Some Observations on Its Ion Exchange Behaviour. J. Inorg. Nucl. Chem. 1964, 26, 117–129. [Google Scholar]
- Clearfield, A.; Duax, W.L.; Medina, A.S.; Smith, G.D.; Thomas, J.R. Mechanism of ion exchange in crystalline zirconium phosphates. I. Sodium ion exchange of alpha zirconium phosphate. J. Phys. Chem. 1969, 73, 3424–3430. [Google Scholar] [CrossRef]
- Zhang, Y.; Xie, W.; Lu, X.; Wang, X.; Xu, S.; Lei, X. Preparation of microspherical α-zirconium phosphate catalysts for conversion of fatty acid methyl esters to monoethanolamides. J. Colloid Interface Sci. 2010, 349, 571–577. [Google Scholar] [CrossRef] [PubMed]
- Cheng, S.; Clearfield, A. Oxidation of ethylene catalyzed by silver supported on zirconium phosphate: Particle size and support effect. J. Catal. 1985, 94, 455–467. [Google Scholar] [CrossRef]
- Tuteja, J.; Choudhary, H.; Nishimura, S.; Ebitani, K. Direct Synthesis of 1,6-Hexanediol from HMF over a Heterogeneous Pd/ZrP Catalyst using Formic Acid as Hydrogen Source. ChemSusChem 2014, 7, 96–100. [Google Scholar] [CrossRef] [PubMed]
- Sinhamahapatra, A.; Sutradhar, N.; Pahari, S.K.; Pal, P.; Bajaj, H.C.; Jayachandran, M.; Panda, A.B. Allylic and Benzylic Oxidation over CrIII-Incorporated Mesoporous Zirconium Phosphate with 100% Selectivity. ChemCatChem 2011, 3, 1447–1450. [Google Scholar] [CrossRef]
- Khare, S.; Chokhare, R. Synthesis, characterization and catalytic activity of Fe(Salen)intercalated zirconium phosphate for the oxidation of cyclohexene. J. Mol. Catal. A Chem. 2011, 344, 83–92. [Google Scholar] [CrossRef]
- Khare, S.; Chokhare, R. Oxidation of cyclohexene catalyzed by Cu(Salen)intercalated zirconium phosphate using dry tert-butylhydroperoxide. J. Mol. Catal. A. Chem. 2012, 353–354, 138–147. [Google Scholar] [CrossRef]
- Kan, Y.; Clearfield, A. Zirconium Phosphate Supported MOF Nanoplatelets. Inorg. Chem. 2016, 55, 5634–5639. [Google Scholar] [CrossRef] [PubMed]
- Blaha, P.; Schwarz, K.; Luitz, J. A Full Potential Linearized Augmented Plane Wave Package for Calculating Crystal Properties; Technical University Wien: Vienna, Austria, 2001; ISBN 3-9501031-0-4. [Google Scholar]
- Blaha, P.; Schwarz, K.; Madsen, G.K.H.; Kvasnicka, D.; Luitz, J. WIEN2K: An Augmented Plane Wave + Local Orbital Program for Calculating Crystal Properties; Technische Universität Wien: Vienna, Austria, 2013. [Google Scholar]
- Perdew, J.P.; Ruzsinszky, A.; Csonka, G.I.; Vydrov, O.A.; Scuseria, G.E.; Constantin, L.A.; Zhou, X.; Burke, K. Restoring the Density-Gradient Expansion for Exchange in Solids and Surfaces. Phys. Rev. Lett. 2008, 100, 136406. [Google Scholar] [CrossRef] [PubMed]
- Pauling, L. The Nature of the Chemical Bond, 3rd ed.; Cornell University Press: Ithaca, NY, USA, 1960. [Google Scholar]
- Pauling, L. The Chemical Bond; Cornell University Press: Ithaca, NY, USA, 1967. [Google Scholar]
- Mehmood, S.; Ali, Z.; Khan, I.; Ahmad, I. Effects of Cobalt Substitution on the Physical Properties of the Perovskite Strontium Ferrite. Mater. Chem. Phys. 2017, 196, 222–228. [Google Scholar] [CrossRef]
- Jiang, D.; Mallat, T.; Meier, D.M.; Urakawa, A.; Baiker, A. Copper metal-organic framework: Structure and activity in the allylic oxidation of cyclohexene with molecular oxygen. J. Catal. 2010, 270, 26–33. [Google Scholar] [CrossRef]






© 2018 by the authors. Licensee MDPI, Basel, Switzerland. This article is an open access article distributed under the terms and conditions of the Creative Commons Attribution (CC BY) license (http://creativecommons.org/licenses/by/4.0/).
Share and Cite
Aman, R.; Clearfield, A.; Sadiq, M.; Ali, Z. HKUST-1 Supported on Zirconium Phosphate as an Efficient Catalyst for Solvent Free Oxidation of Cyclohexene: DFT Study. Catalysts 2018, 8, 546. https://doi.org/10.3390/catal8110546
Aman R, Clearfield A, Sadiq M, Ali Z. HKUST-1 Supported on Zirconium Phosphate as an Efficient Catalyst for Solvent Free Oxidation of Cyclohexene: DFT Study. Catalysts. 2018; 8(11):546. https://doi.org/10.3390/catal8110546
Chicago/Turabian StyleAman, Razia, Abraham Clearfield, Mohammad Sadiq, and Zahid Ali. 2018. "HKUST-1 Supported on Zirconium Phosphate as an Efficient Catalyst for Solvent Free Oxidation of Cyclohexene: DFT Study" Catalysts 8, no. 11: 546. https://doi.org/10.3390/catal8110546
APA StyleAman, R., Clearfield, A., Sadiq, M., & Ali, Z. (2018). HKUST-1 Supported on Zirconium Phosphate as an Efficient Catalyst for Solvent Free Oxidation of Cyclohexene: DFT Study. Catalysts, 8(11), 546. https://doi.org/10.3390/catal8110546
 
        

