Structure-Dependent Photocatalytic Performance of BiOBrxI1−x Nanoplate Solid Solutions
Abstract
:1. Introduction
2. Results and Discussion
2.1. Crystal Phase and Morphology of BiOBrxI1−x Solid Solutions
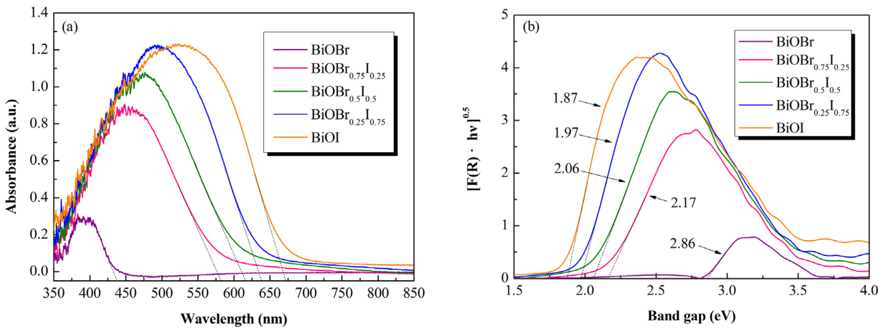
2.2. Optical Absorption and Photocatalytic Properties
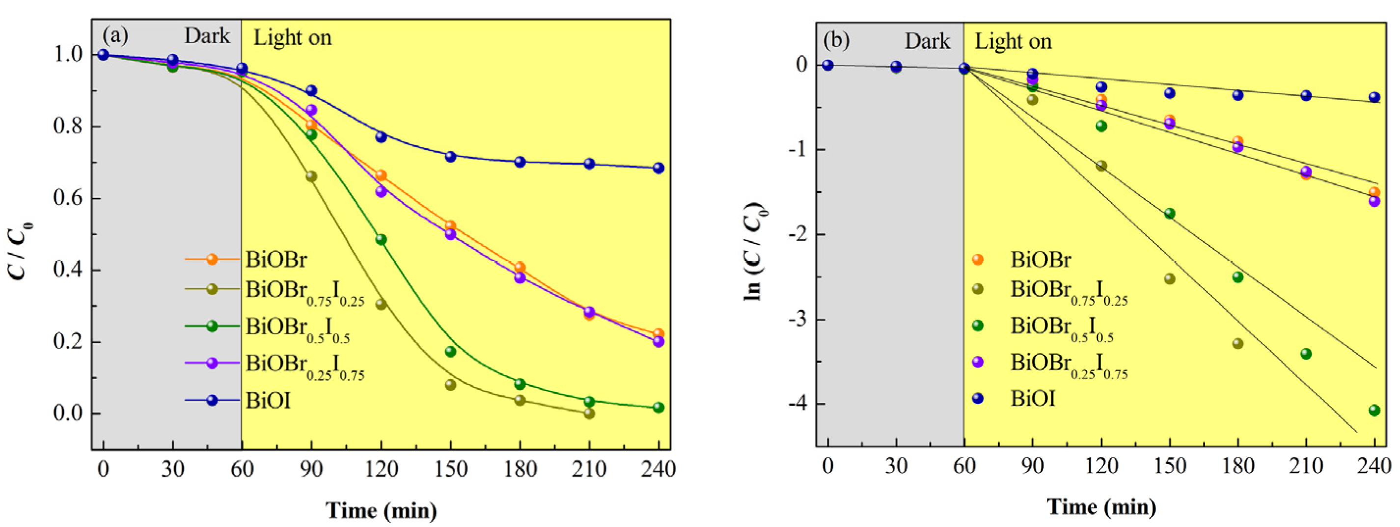
2.3. Structure-Dependent Photocatalytic Performance
3. Materials and Methods
3.1. Preparation of BiOBrxI1−x Solid Solutions
3.2. Characterization Techniques
3.3. Photocatalytic Evaluation
4. Conclusions
Acknowledgments
Author Contributions
Conflicts of Interest
References
- Piccirillo, C.; Castro, P.M.L. Calcium hydroxyapatite–based photocatalysts for environment remediation: Characteristics, performances and future perspectives. J. Environ. Manag. 2017, 193, 79–91. [Google Scholar] [CrossRef] [PubMed]
- Ren, H.J.; Koshy, P.; Chen, W.F.; Qi, S.H.; Sorrell, C.C. Photocatalytic materials and technologies for air purification. J. Hazard. Mater. 2017, 325, 340–366. [Google Scholar] [CrossRef] [PubMed]
- Yadav, H.M.; Kim, J.S.; Pawar, S.H. Developments in photocatalytic antibacterial activity of nano TiO2: A review. Korean J. Chem. Eng. 2016, 33, 1989–1998. [Google Scholar] [CrossRef]
- Colon, G. Towards the hydrogen production by photocatalysis. Appl. Catal. A Gen. 2016, 518, 48–59. [Google Scholar] [CrossRef]
- Ouyang, S.X.; Tong, H.; Umezawa, N.; Cao, J.Y.; Li, P.; Bi, Y.P.; Zhang, Y.J.; Ye, J.H. Surface-alkalinization-induced enhancement of photocatalytic H2 evolution over SrTiO3—Based photocatalysts. J. Am. Chem. Soc. 2012, 134, 1974–1977. [Google Scholar] [CrossRef] [PubMed]
- Molinari, R.; Lavorato, C.; Argurio, P. Recent progress of photocatalytic membrane reactors in water treatment and in synthesis of organic compounds: A review. Catal. Today 2017, 281, 144–164. [Google Scholar] [CrossRef]
- Zhou, P.; Yu, J.G.; Jaroniec, M. All-solid-state Z-scheme photocatalytic systems. Adv. Mater. 2014, 26, 4920–4935. [Google Scholar] [CrossRef] [PubMed]
- Prashant, V.K. TiO2 nanostructures: Recent physical chemistry advances. J. Phys. Chem. C 2012, 116, 11849–11851. [Google Scholar] [CrossRef]
- Kim, T.W.; Hur, S.G.; Hwang, S.J.; Park, H.W.; Choi, W.Y.; Choy, J.H. Heterostructured visible–light–active photocatalyst of chromia-nanoparticle-layered titanate. Adv. Funct. Mater. 2007, 17, 307–314. [Google Scholar] [CrossRef]
- Chen, X.B.; Liu, L.; Yu, P.Y.; Mao, S.S. Increasing solar absorption for photocatalysis with black hydrogenated titanium dioxide nanocrystals. Science 2011, 331, 746–750. [Google Scholar] [CrossRef] [PubMed]
- Gomis-Berenguer, A.; Velasco, L.F.; Velo-Gala, I.; Ania, C.O. Photochemistry of nanoporous carbons: Perspectives in energy conversion and environmental remediation. J. Colloid Interface Sci. 2017, 490, 879–901. [Google Scholar] [CrossRef] [PubMed]
- Reddy, D.A.; Ma, R.; Choi, M.Y.; Kim, T.K. Reduced graphene oxide wrapped ZnS—Ag2S ternary composites synthesized via hydrothermal method: Applications in photocatalyst degradation of organic pollutants. Appl. Surf. Sci. 2015, 324, 725–735. [Google Scholar] [CrossRef]
- Reddy, D.A.; Choi, J.; Lee, S.; Ma, R.; Kim, T.K. Self-assembled macro porous ZnS-graphene aerogels for photocatalytic degradation of contaminants in water. RSC Adv. 2015, 5, 18342–18351. [Google Scholar] [CrossRef]
- Reddy, D.A.; Lee, S.; Choi, J.; Park, S.; Ma, R.; Yang, H.; Kim, T.K. Green synthesis of AgI-reduced graphene oxide nanocomposites: Toward enhanced visible–light photocatalytic activity for organic dye removal. Appl. Surf. Sci. 2015, 341, 175–184. [Google Scholar] [CrossRef]
- Reddy, D.A.; Choi, J.; Lee, S.; Ma, R.; Kim, T.K. Green synthesis of AgI nanoparticle-functionalized reduced graphene oxide aerogels with enhanced catalytic performance and facile recycling. RSC Adv. 2015, 5, 67394–67404. [Google Scholar] [CrossRef]
- Choi, J.; Reddy, D.A.; Kim, T.K. Enhanced photocatalytic activity and anti-photocorrosion of AgI nanostructures by coupling with graphene-analogue boron nitride nanosheets. Ceram. Int. 2015, 41, 13793–13803. [Google Scholar] [CrossRef]
- Islam, M.J.; Reddy, D.A.; Han, N.S.; Choi, J.; Song, J.K.; Kim, T.K. An oxygen-vacancy rich 3D novel hierarchical MoS2/BiOI/AgI ternary nanocomposite: Enhanced photocatalytic activity through photogenerated electron shuttling in a Z-scheme manner. Phys. Chem. Chem. Phys. 2016, 18, 24984–24993. [Google Scholar] [CrossRef] [PubMed]
- Choi, J.; Reddy, D.A.; Islam, M.J.; Ma, R.; Kim, T.K. Self-assembly of CeO2 nanostructures/reduced graphene oxide composite aerogels for efficient photocatalytic degradation of organic pollutants in water. J. Alloys Compd. 2016, 688, 527–536. [Google Scholar] [CrossRef]
- Reddy, D.A.; Choi, J.; Lee, S.; Kim, T.K. Controlled synthesis of heterostructured Ag@AgI/ZnS microspheres with enhanced photocatalytic activity and selective separation of methylene blue from mixture dyes. J. Taiwan Inst. Chem. Eng. 2016, 66, 200–209. [Google Scholar] [CrossRef]
- Lee, S.; Reddy, D.A.; Kim, T.K. Well-wrapped reduced graphene oxide nanosheets on Nb3O7(OH) nanostructures as good electron collectors and transporters for efficient photocatalytic degradation of rhodamine B and phenol. RSC Adv. 2016, 6, 37180–37188. [Google Scholar] [CrossRef]
- Bhachu, D.S.; Moniz, S.J.A.; Sathasivam, S.; Scanlon, D.O.; Walsh, A.; Bawaked, S.M.; Mokhtar, M.; Obaid, A.Y.; Parkin, I.P.; Tang, J.W.; et al. Bismuth oxyhalides: Synthesis, structure and photoelectrochemical activity. Chem. Sci. 2016, 7, 4832–4841. [Google Scholar] [CrossRef]
- Keramidas, K.G.; Voutsas, G.P.; Rentzeperis, P.I. The crystal structure of BiOCl. Z. Kristallogr. 1993, 205, 35–40. [Google Scholar]
- Bannister, F.A.; Hey, M.H. The crystal-structure of the bismuth oxyhalides. Mineral. Mag. 1935, 24, 49–58. [Google Scholar] [CrossRef]
- Li, J.; Yu, Y.; Zhang, L.Z. Bismuth oxyhalide nanomaterials: Layered structures meet photocatalysis. Nanoscale 2014, 6, 8473–8488. [Google Scholar] [CrossRef] [PubMed]
- Xu, Z.F.; Hao, W.C.; Zhang, Q.F.; Fu, Z.H.; Feng, H.F.; Du, Y.; Dou, S.X. Indirect-direct band transformation of few-layer BiOCl under biaxial strain. J. Phys. Chem. C 2016, 120, 8589–8594. [Google Scholar] [CrossRef]
- Qin, Q.; Guo, Y.N.; Zhou, D.D.; Yang, Y.X.; Guo, Y.H. Facile growth and composition-dependent photocatalytic activity of flowerlike BiOCl1−xBrx hierarchical microspheres. Appl. Surf. Sci. 2016, 390, 765–777. [Google Scholar] [CrossRef]
- Liu, Y.Y.; Son, W.J.; Lu, J.B.; Huang, B.B.; Dai, Y.; Whangbo, M.H. Composition dependence of the photocatalytic activities of BiOCl1−xBrx solid solutions under visible light. Chem. Eur. J. 2011, 17, 9342–9349. [Google Scholar] [CrossRef] [PubMed]
- Gnayem, H.; Sasson, Y. Hierarchical nanostructured 3D flowerlike BiOClxBr1−x semiconductors with exceptional visible light photocatalytic activity. ACS Catal. 2013, 3, 186–191. [Google Scholar] [CrossRef]
- Mao, X.M.; Fan, C.M. Effect of light response on the photocatalytic activity of BiOClxBr1−x in the removal of Rhodamine B from water. Int. J. Miner. Metall. Mater. 2013, 20, 1089–1095. [Google Scholar] [CrossRef]
- Zhang, X.; Wang, L.W.; Wang, C.Y.; Wang, W.K.; Chen, Y.L.; Huang, Y.X.; Li, W.W.; Feng, Y.J.; Yu, H.Q. Synthesis of BiOClxBr1−x nanoplate solid solutions as a robust photocatalyst with tunable band structure. Chem. Eur. J. 2015, 21, 11872–11877. [Google Scholar] [CrossRef] [PubMed]
- Du, D.D.; Li, W.J.; Chen, S.S.; Yan, T.J.; You, J.M.; Kong, D.S. Synergistic degradation of rhodamine B on BiOClxBr1−x sheets by combined photosensitization and photocatalysis under visible light irradiation. New J. Chem. 2015, 39, 3129–3136. [Google Scholar] [CrossRef]
- Li, T.B.; Chen, G.; Zhou, C.; Shen, Z.Y.; Jin, R.C.; Sun, J.X. New photocatalyst BiOCl/BiOI composites with highly enhanced visible light photocatalytic performances. Dalton Trans. 2011, 40, 6751–6758. [Google Scholar] [CrossRef] [PubMed]
- Xiao, X.; Hao, R.; Liang, M.; Zuo, X.; Nan, J.; Li, L.; Zhang, W. One-pot solvothermal synthesis of three-dimensional (3D) BiOI/BiOCl composites with enhanced visible-light photocatalytic activities for the degradation of bisphenol-A. J. Hazard. Mater. 2012, 233–234, 122–130. [Google Scholar] [CrossRef] [PubMed]
- Sun, L.M.; Xiang, L.; Zhao, X.; Jia, C.J.; Yang, J.; Jin, Z.; Cheng, X.F.; Fan, W.L. Enhanced visible-light photocatalytic activity of BiOI/BiOCl heterojunctions: Key role of crystal facet combination. ACS Catal. 2015, 5, 3540–3551. [Google Scholar] [CrossRef]
- Yang, C.Y.; Li, F.; Zhang, M.; Li, T.H.; Cao, W. Preparation and first-principles study for electronic structures of BiOI/BiOCl composites with highly improved photocatalytic and adsorption performances. J. Mol. Catal. A Chem. 2016, 423, 1–11. [Google Scholar] [CrossRef]
- Jia, Z.F.; Wang, F.M.; Xin, F.; Zhang, B.Q. Simple solvothermal routes to synthesize 3D BiOBrxI1−x microspheres and their visible-light-induced photocatalytic properties. Ind. Eng. Chem. Res. 2011, 50, 6688–6694. [Google Scholar] [CrossRef]
- Lin, L.; Huang, M.H.; Long, L.P.; Sun, Z.; Zheng, W.; Chen, D.H. Fabrication of a three-dimensional BiOBr/BiOI photocatalyst with enhanced visible light photocatalytic performance. Ceram. Int. 2014, 40, 11493–11501. [Google Scholar] [CrossRef]
- Zheng, C.R.; Cao, C.B.; Alia, Z. In situ formed Bi/BiOBrxI1−x heterojunction of hierarchical microspheres for efficient visible-light photocatalytic activity. Phys. Chem. Chem. Phys. 2015, 17, 13347–13354. [Google Scholar] [CrossRef] [PubMed]
- Zhang, X.; Wang, C.Y.; Wang, L.W.; Huang, G.X.; Wang, W.K.; Yu, H.Q. Fabrication of BiOBrxI1−x photocatalysts with tunable visible light catalytic activity by modulating band structures. Sci. Rep. 2016, 6, 22800. [Google Scholar] [CrossRef] [PubMed]
- Chen, H.B.; Yu, X.; Zhu, Y.; Fu, X.H.; Zhang, Y.M. Controlled synthesis of {001} facets-dominated dye-sensitized BiOCl with high photocatalytic efficiency under visible-light irradiation. J. Nanopart. Res. 2016, 18, 225. [Google Scholar] [CrossRef]
- Li, J.; Zhang, L.Z.; Li, Y.J.; Yu, Y. Synthesis and internal electric field dependent photoreactivity of Bi3O4Cl single-crystalline nanosheets with high {001} facet exposure percentages. Nanoscale 2014, 6, 167–171. [Google Scholar] [CrossRef] [PubMed]
- Lei, Y.Q.; Wang, G.H.; Song, S.Y.; Fan, W.Q.; Zhang, H.J. Synthesis, characterization and assembly of BiOCl nanostructure and their photocatalytic properties. CrystEngComm 2009, 11, 1857–1862. [Google Scholar] [CrossRef]
- Li, H.; Shi, J.G.; Zhao, K.; Zhang, L.Z. Sustainable molecular oxygen activation with oxygen vacancies on the {001} facets of BiOCl nanosheets under solar light. Nanoscale 2014, 6, 14168–14173. [Google Scholar] [CrossRef] [PubMed]
- Feng, H.F.; Xu, Z.F.; Wang, L.; Yu, Y.X.; Mitchell, D.; Cui, D.D.; Xu, X.; Shi, J.; Sannomiya, T.; Du, Y.; et al. Modulation of photocatalytic properties by strain in 2D BiOBr nanosheets. ACS Appl. Mater. Interfaces 2015, 7, 27592–27596. [Google Scholar] [CrossRef] [PubMed]
- Xu, H.Y.; Wu, L.C.; Jin, L.G.; Wu, K.J. Combination mechanism and enhanced visible-light photocatalytic activity and stability of CdS/g-C3N4 heterojunctions. J. Mater. Sci. Technol. 2017, 33, 30–38. [Google Scholar] [CrossRef]
- Bai, S.; Jiang, W.Y.; Li, Z.Q.; Xiong, Y.J. Surface and interface engineering in photocatalysis. ChemNanoMat 2015, 1, 223–239. [Google Scholar] [CrossRef]
- Bai, S.; Wang, L.L.; Li, Z.Q.; Xiong, Y.J. Facet-engineered surface and interface design of photocatalytic materials. Adv. Sci. 2017, 4, 1600216. [Google Scholar] [CrossRef] [PubMed]
- Li, J.; Li, H.; Zhan, G.M.; Zhang, L.Z. Solar water splitting and nitrogen fixation with layered bismuth oxyhalides. Acc. Chem. Res. 2017, 50, 112–121. [Google Scholar] [CrossRef] [PubMed]
- Jiang, J.; Zhao, K.; Xiao, X.Y.; Zhang, L.Z. Synthesis and facet-dependent photoreactivity of BiOCl single-crystalline nanosheets. J. Am. Chem. Soc. 2012, 134, 4473–4476. [Google Scholar] [CrossRef] [PubMed]
- Zhang, Y.Y.; Sun, X.G.; Yang, G.Z.; Zhu, Y.H.; Si, H.Y.; Zhang, J.M.; Li, Y.T. Preparation and characterization of bifunctional BiOClxIy solid solutions with excellent adsorption and photocatalytic abilities for removal of organic dyes. Mater. Sci. Semicond. Process. 2016, 41, 193–199. [Google Scholar] [CrossRef]
- Zhang, W.D.; Zhang, Q.; Dong, F. Visible-light photocatalytic removal of NO in air over BiOX (X = Cl, Br, I) single-crystal nanoplates prepared at room temperature. Ind. Eng. Chem. Res. 2013, 52, 6740–6746. [Google Scholar] [CrossRef]
- Shang, J.; Hao, W.C.; Lv, X.J.; Wang, T.M.; Wang, X.L.; Du, Y.; Dou, S.X.; Xie, T.F.; Wang, D.J.; Wang, J.O. Bismuth oxybromide with reasonable photocatalytic reduction activity under visible light. ACS Catal. 2014, 4, 954–961. [Google Scholar] [CrossRef]
- Wang, G.Z.; Luo, X.K.; Huang, Y.H.; Kuang, A.L.; Yuan, H.K.; Chen, H. BiOX/BiOY (X, Y = F, Cl, Br, I) superlattices for visible light photocatalysis applications. RSC Adv. 2016, 6, 91508–91516. [Google Scholar] [CrossRef]
- Long, M.; Hu, P.; Wu, H.; Chen, Y.; Tan, B.; Cai, W. Understanding compositions and electronic structures dependent photocatalytic performance of bismuth oxyiodides. J. Mater. Chem. A 2015, 3, 5592–5598. [Google Scholar] [CrossRef]
- Tian, F.; Zhao, H.P.; Dai, Z.; Cheng, G.; Chen, R. Mediation of valence band maximum of BiOI by Cl incorporation for improved oxidation power in photocatalysis. Ind. Eng. Chem. Res. 2016, 55, 4969–4978. [Google Scholar] [CrossRef]











| Sample | a (Å) | c (Å) | Band Gap (eV) | χ (eV) | CBM (eV) | VBM (eV) | k (min−1) |
|---|---|---|---|---|---|---|---|
| BiOBr | 3.9249 | 8.0954 | 2.86 | 6.45 | 0.52 | 3.38 | −0.00834 (R2 = 0.98302) |
| BiOBr0.75I0.25 | 3.9416 | 8.4286 | 2.17 | 6.39 | 0.81 | 2.98 | −0.02864 (R2 = 0.95625) |
| BiOBr0.5I0.5 | 3.9456 | 8.9083 | 2.06 | 6.33 | 0.80 | 2.86 | −0.02401 (R2 = 0.97219) |
| BiOBr0.25I0.75 | 3.9756 | 9.0603 | 1.97 | 6.27 | 0.79 | 2.76 | −0.00878 (R2 = 0.98838) |
| BiOI | 3.9996 | 9.1509 | 1.87 | 6.21 | 0.78 | 2.65 | −0.00194 (R2 = 0.81574) |
© 2017 by the authors. Licensee MDPI, Basel, Switzerland. This article is an open access article distributed under the terms and conditions of the Creative Commons Attribution (CC BY) license (http://creativecommons.org/licenses/by/4.0/).
Share and Cite
Xu, H.-Y.; Han, X.; Tan, Q.; He, X.-L.; Qi, S.-Y. Structure-Dependent Photocatalytic Performance of BiOBrxI1−x Nanoplate Solid Solutions. Catalysts 2017, 7, 153. https://doi.org/10.3390/catal7050153
Xu H-Y, Han X, Tan Q, He X-L, Qi S-Y. Structure-Dependent Photocatalytic Performance of BiOBrxI1−x Nanoplate Solid Solutions. Catalysts. 2017; 7(5):153. https://doi.org/10.3390/catal7050153
Chicago/Turabian StyleXu, Huan-Yan, Xu Han, Qu Tan, Xiu-Lan He, and Shu-Yan Qi. 2017. "Structure-Dependent Photocatalytic Performance of BiOBrxI1−x Nanoplate Solid Solutions" Catalysts 7, no. 5: 153. https://doi.org/10.3390/catal7050153
APA StyleXu, H.-Y., Han, X., Tan, Q., He, X.-L., & Qi, S.-Y. (2017). Structure-Dependent Photocatalytic Performance of BiOBrxI1−x Nanoplate Solid Solutions. Catalysts, 7(5), 153. https://doi.org/10.3390/catal7050153

