Upgrading V2O5-WO3/TiO2 deNOx Catalyst with TiO2-SiO2 Support Prepared from Ti-Bearing Blast Furnace Slag
Abstract
:1. Introduction
2. Results and Discussion
2.1. Composition Varying with Hydrolytic pH Value
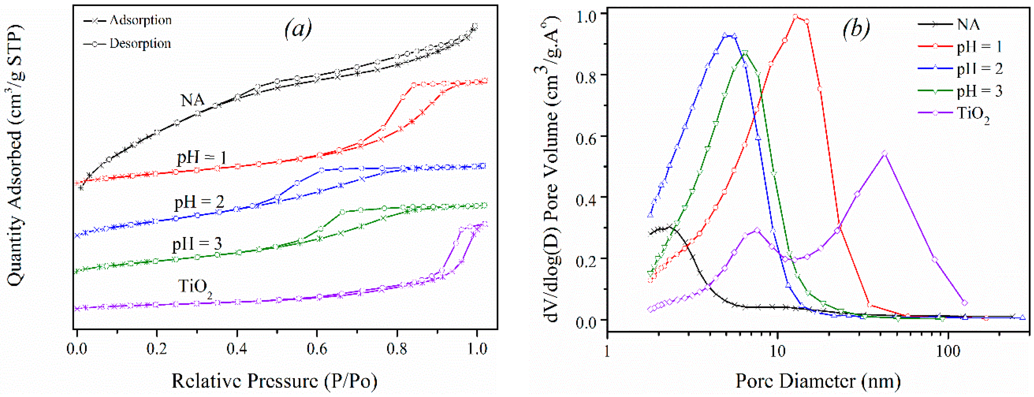
2.2. Structure of Prepared Supports
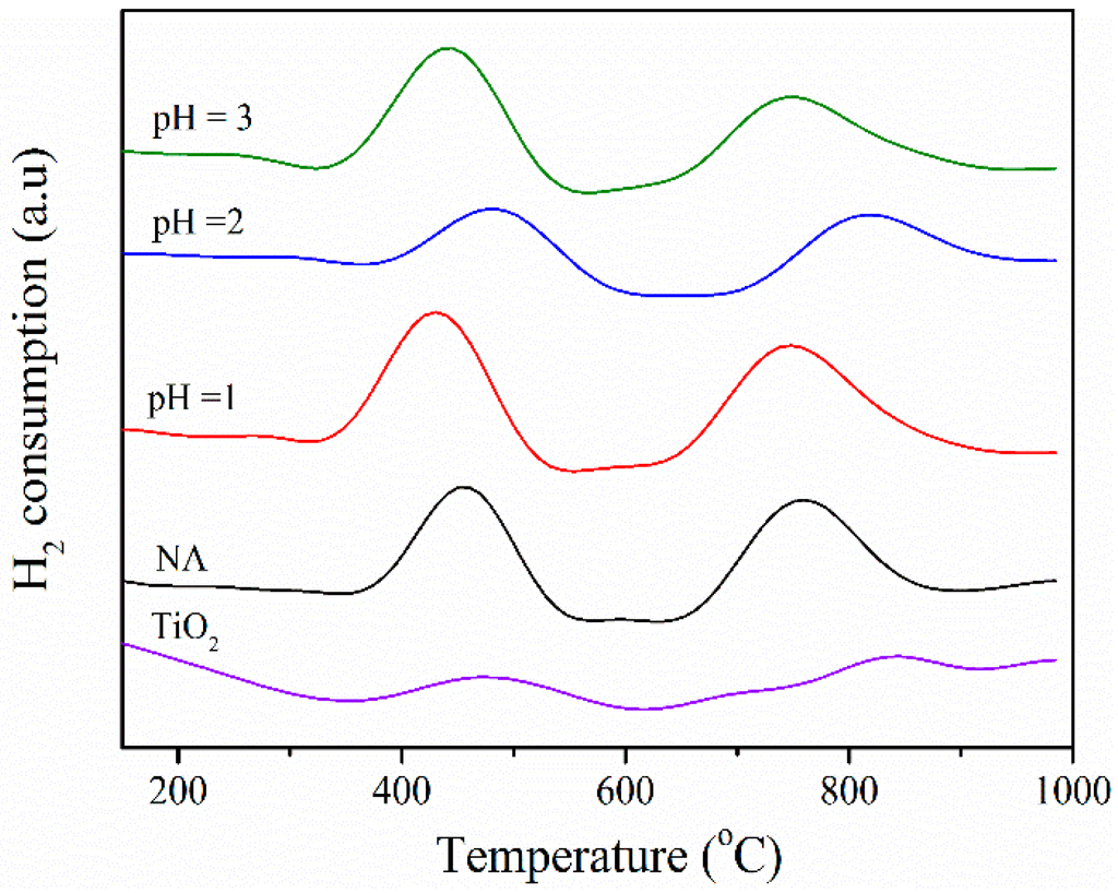
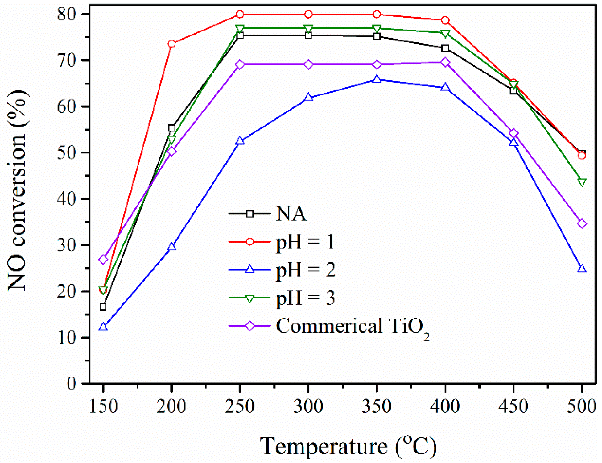
2.3. Catalytic Performance of Catalysts
3. Experimental Section
3.1. Slag Treatment and Catalyst Preparation
3.2. Characterization and Evaluation
4. Conclusions
Acknowledgments
Author Contributions
Conflicts of Interest
References
- Wang, S.X.; Zhao, B.; Cai, S.Y.; Klimont, Z.; Nielsen, C.P.; Morikawa, T.; Woo, J.H.; Kim, Y.; Fu, X.; Xu, J.Y.; et al. Emission trends and mitigation options for air pollutants in East Asia. Atmos. Chem. Phys. 2014, 14, 6571–6603. [Google Scholar] [CrossRef]
- Felix, J.D.; Elliott, E.M.; Shaw, S.L. Nitrogen isotopic composition of coal-fired power plant NOx: Influence of emission controls and implications for global emission inventories. Environ. Sci. Technol. 2012, 46, 3528–3535. [Google Scholar] [CrossRef] [PubMed]
- Tian, H.; Liu, K.; Hao, J.; Wang, Y.; Gao, J.; Qiu, P.; Zhu, C. Nitrogen oxides emissions from thermal power plants in China: Current status and future predictions. Environ. Sci. Technol. 2013, 47, 11350–11357. [Google Scholar] [CrossRef] [PubMed]
- Zhao, B.; Wang, S.X.; Liu, H.; Xu, J.Y.; Fu, K.; Klimont, Z.; Hao, J.M.; He, K.B.; Cofala, J.; Amann, M. Nox emissions in China: Historical trends and future perspectives. Atmos. Chem. Phys. 2013, 13, 9869–9897. [Google Scholar] [CrossRef]
- Shan, W.; Song, H. Catalysts for the selective catalytic reduction of NOx with NH3 at low temperature. Catal. Sci. Technol. 2015, 5, 4280–4288. [Google Scholar] [CrossRef]
- Wang, Y.; Zhang, H.; Wang, J. NOx sensor reading correction in diesel engine selective catalytic reduction system applications. IEEE/ASME Trans. Mech. 2016, 21, 460–471. [Google Scholar] [CrossRef]
- Marberger, A.; Elsener, M.; Ferri, D.; Kröcher, O. VOx surface coverage optimization of V2O5/WO3-TiO2 SCR catalysts by variation of the V loading and by aging. Catalysts 2015, 5, 1704–1720. [Google Scholar] [CrossRef]
- China SCR Denitration Catalyst Industry Report, 2013–2016. PRNewswire, 8 January 2014.
- Peng, Y.; Liu, C.; Zhang, X.; Li, J. The effect of SiO2 on a novel CeO2–WO3/TiO2 catalyst for the selective catalytic reduction of NO with NH3. Appl. Catal. B 2013, 140–141, 276–282. [Google Scholar] [CrossRef]
- Casanova, M.; Schermanz, K.; Llorca, J.; Trovarelli, A. Improved high temperature stability of NH3-SCR catalysts based on rare earth vanadates supported on TiO2-WO3-SiO2. Catal. Today 2012, 184, 227–236. [Google Scholar] [CrossRef]
- Yang, J.; Lei, S.; Yu, J.; Xu, G.W. Low-cost V−W−Ti SCR catalyst from Titanium-bearing blast furnace slag. J. Environ. Chem. Eng. 2014, 2, 1007–1010. [Google Scholar] [CrossRef]
- Pan, Y.; Zhao, W.; Zhong, Q.; Cai, W.; Li, H. Promotional effect of Si-doped V2O5/TiO2 for selective catalytic reduction of NOx by NH3. J. Environ. Sci. 2013, 25, 1703–1711. [Google Scholar] [CrossRef]
- Zhao, W.; Tang, Y.; Wan, Y.; Li, L.; Yao, S.; Li, X.; Gu, J.; Li, Y.; Shi, J. Promotion effects of SiO2 or/and Al2O3 doped CeO2/TiO2 catalysts for selective catalytic reduction of NO by NH3. J. Hazard. Mater. 2014, 278, 350–359. [Google Scholar] [CrossRef] [PubMed]
- Yang, S.; Wang, C.; Ma, L.; Peng, Y.; Qu, Z.; Yan, N.; Chen, J.; Chang, H.; Li, J. Substitution of WO3 in V2O5/WO3-TiO2 by Fe2O3 for selective catalytic reduction of NO with NH3. Catal. Sci. Technol. 2013, 3, 161–168. [Google Scholar] [CrossRef]
- Matralis, H.K.; Ciardelli, M.; Ruwet, M.; Grange, P. Vanadia catalysts supported on mixed TiO2-Al2O3 supports: Effect of composition on the structure and acidity. J. Catal. 1995, 157, 368–379. [Google Scholar] [CrossRef]
- Granger, P.; Parvulescu, V.I. Catalytic NOx abatement systems for mobile sources: From three-way to lean burn after-treatment technologies. Chem. Rev. 2011, 111, 3155–3207. [Google Scholar] [CrossRef] [PubMed]
- Kobayashi, M.; Kuma, R.; Masaki, S.; Sugishima, N. TiO2-SiO2 and V2O5/TiO2-SiO2 catalyst: Physico-chemical characteristics and catalytic behavior in selective catalytic reduction of NO by NH3. Appl. Catal. B: Environ. 2005, 60, 173–179. [Google Scholar] [CrossRef]
- Kobayashi, M.; Hagi, M. V2O5-WO3/TiO2-SiO2-SO42− catalysts: Influence of active components and supports on activities in the selective catalytic reduction of NO by NH3 and in the oxidation of SO2. Appl. Catal. B: Environ. 2006, 63, 104–113. [Google Scholar] [CrossRef]
- Liu, C.; Chen, L.; Li, J.; Ma, L.; Arandiyan, H.; Du, Y.; Xu, J.; Hao, J. Enhancement of activity and sulfur resistance of CeO2 supported on TiO2–SiO2 for the selective catalytic reduction of NO by NH3. Environ. Sci. Technol. 2012, 46, 6182–6189. [Google Scholar] [CrossRef] [PubMed]
- Zhang, L.; Zhang, L.N.; Wang, M.Y.; Li, G.Q.; Sui, Z.T. Recovery of titanium compounds from molten ti-bearing blast furnace slag under the dynamic oxidation condition. Miner. Eng. 2007, 20, 684–693. [Google Scholar] [CrossRef]
- Li, Z.; Wang, Z.; Li, G. Preparation of Nano-Titanium Dioxide from ilmenite using sulfuric acid-decomposition by liquid phase method. Powder Technol. 2016, 287, 256–263. [Google Scholar] [CrossRef]
- Liang, B.; Li, C.; Zhang, C.; Zhang, Y. Leaching kinetics of panzhihua ilmenite in sulfuric acid. Hydrometallurgy 2005, 76, 173–179. [Google Scholar] [CrossRef]
- Chen, D.-S.; Zhao, L.-S.; Qi, T.; Hu, G.-P.; Zhao, H.-X.; Li, J.; Wang, L.-n. Desilication from titanium–vanadium slag by alkaline leaching. Trans. Nonferrous Met. Soc. China 2013, 23, 3076–3082. [Google Scholar] [CrossRef]
- Xiong, X.; Wang, Z.; Wu, F.; Li, X.; Guo, H. Preparation of TiO2 from ilmenite using sulfuric acid decomposition of the titania residue combined with separation of Fe3+ with edta during hydrolysis. Adv. Powder Technol. 2013, 24, 60–67. [Google Scholar] [CrossRef]
- Liu, S.-S.; Guo, Y.-F.; Qiu, G.-Z.; Jiang, T.; Chen, F. Preparation of Ti-rich material from titanium slag by activation roasting followed by acid leaching. Trans. Nonferrous Met. Soc. China 2013, 23, 1174–1178. [Google Scholar] [CrossRef]
- Lasheen, T.A. Sulfate digestion process for high purity TiO2 from titania slag. Front. Chem. Eng. China 2009, 3, 155–160. [Google Scholar] [CrossRef]
- Seggiani, M.; Vitolo, S. Recovery of silica gel from blast furnace slag. Resour. Conserv. Recycl. 2003, 40, 71–80. [Google Scholar] [CrossRef]
- Rouseková, I.; Bajza, A.; Živica, V. Silica fume-basic blast furnace slag systems activated by an alkali silica fume activator. Cem. Concr. Res. 1997, 27, 1825–1828. [Google Scholar] [CrossRef]
- Valighazvini, F.; Rashchi, F.; Nekouei, R.K. Recovery of titanium from blast furnace slag. Ind. Eng. Chem. Res. 2013, 52, 1723–1730. [Google Scholar] [CrossRef]
- Sverjensky, D.A. Zero-point-of-charge prediction from crystal chemistry and solvation theory. Geochim. Cosmochim. Acta 1994, 58, 3123–3129. [Google Scholar] [CrossRef]
- Sing, K.; Everett, D.; Haul, R.; Moscou, L.; Pierotti, R.; Rouquerol, J.; Siemieniewska, T. Reporting physisorption data for gas/solid systems with special reference to the determination of surface area and porosity. Pure Appl. Chem. 1985, 57, 603–619. [Google Scholar] [CrossRef]
- Yu, J.; Yu, J.C.; Leung, M.K.P.; Ho, W.; Cheng, B.; Zhao, X.; Zhao, J. Effects of acidic and basic hydrolysis catalysts on the photocatalytic activity and microstructures of bimodal mesoporous titania. J. Catal. 2003, 217, 69–78. [Google Scholar] [CrossRef]
- Kim, J.; Song, K.C.; Foncillas, S.; Pratsinis, S.E. Dopants for synthesis of stable bimodally porous titania. J. Eur. Ceram. Soc. 2001, 21, 2863–2872. [Google Scholar] [CrossRef]
- Pinnavaia, T.J.; Pauly, T.R.; Kim, S.S. Mesoporous molecular sieve catalysis: Relationships between reactivity and long range structural order/disorder. In Supported Catalysts and Their Applications; Sherrington, D.C., Kybett, A.P., Eds.; The Royal Society of Chemistry: London, UK, 2001; pp. 19–26. [Google Scholar]
- Ngamta, S.; Boonprakob, N.; Wetchakun, N.; Ounnunkad, K.; Phanichphant, S.; Inceesungvorn, B. A facile synthesis of nanocrystalline anatase TiO2 from TiOSO4 aqueous solution. Mater. Lett. 2013, 105, 76–79. [Google Scholar] [CrossRef]
- Park, H.K.; Park, K.Y.; Jung, K.Y. Alumina-precursor nanoparticles prepared by partial hydrolysis of AlCl3 vapor in tubular flow reactor: Effect of hydrolysis conditions on particle size distribution. Ind. Eng. Chem. Res. 2014, 53, 10372–10379. [Google Scholar] [CrossRef]
- French, R.A.; Jacobson, A.R.; Kim, B.; Isley, S.L.; Penn, R.L.; Baveye, P.C. Influence of ionic strength, pH, and cation valence on aggregation kinetics of titanium dioxide nanoparticles. Environ. Sci. Technol. 2009, 43, 1354–1359. [Google Scholar] [CrossRef] [PubMed]
- Park, I.-S.; Jang, S.-R.; Hong, J.S.; Vittal, R.; Kim, K.-J. Preparation of composite anatase TiO2 nanostructure by precipitation from hydrolyzed TiCl4 solution using anodic alumina membrane. Chem. Mater. 2003, 15, 4633–4636. [Google Scholar] [CrossRef]
- Ren, C.; Qiu, W.; Chen, Y. Physicochemical properties and photocatalytic activity of the TiO2/SiO2 prepared by precipitation method. Sep. Purif. Technol. 2013, 107, 264–272. [Google Scholar] [CrossRef]
- Dong, R.-L.; Na, C.; Zhang, H.-P.; Chen, Z.-D.; Jin, C.-C. TiO2/SiO2 mesoporous microspheres with intelligently controlled texture. Mater. Des. 2016, 89, 830–838. [Google Scholar] [CrossRef]
- Saha, J.; Mitra, A.; Dandapat, A.; De, G. TiO2 nanoparticles doped SiO2 films with ordered mesopore channels: A catalytic nanoreactor. Dalton Trans. 2014, 43, 5221–5229. [Google Scholar] [CrossRef] [PubMed]
- Yan, X.-M.; Mei, P.; Xiong, L.; Gao, L.; Yang, Q.; Gong, L. Mesoporous titania-silica-polyoxometalate nanocomposite materials for catalytic oxidation desulfurization of fuel oil. Catal. Sci. Technol. 2013, 3, 1985–1992. [Google Scholar] [CrossRef]
- Jin, R.; Wu, Z.; Liu, Y.; Jiang, B.; Wang, H. Photocatalytic reduction of NO with NH3 using Si-doped TiO2 prepared by hydrothermal method. J. Hazard. Mater. 2009, 161, 42–48. [Google Scholar] [CrossRef] [PubMed]
- Wang, C.; Yang, S.; Chang, H.; Peng, Y.; Li, J. Dispersion of tungsten oxide on SCR performance of V2O5-WO3/TiO2: Acidity, surface species and catalytic activity. Chem. Eng. J. 2013, 225, 520–527. [Google Scholar] [CrossRef]
- Youn, S.; Song, I.; Kim, D.H. Promotional effect on selective catalytic reduction of NOx with NH3 over overloaded W and Ce on V2O5/TiO2 catalysts. J. Nanomater. 2015, 1–7. [Google Scholar] [CrossRef]
- Gao, X.; Bare, S.R.; Fierro, J.L.G.; Wachs, I.E. Structural characteristics and reactivity/reducibility properties of dispersed and bilayered V2O5/TiO2/SiO2 catalysts. J. Phys. Chem. B 1999, 103, 618–629. [Google Scholar] [CrossRef]
- Ren, S.; Zhao, Q.; Yao, L.; Liu, Q. Precipitation behavior of perovskite and anosovite crystals from high ti-bearing blast furnace slag with small amount of B2O3. Cryst. Eng. Comm. 2016, 18, 1393–1402. [Google Scholar] [CrossRef]









| Sample | Composition of Calcined Sample | Yield | ||||||||
|---|---|---|---|---|---|---|---|---|---|---|
| TiO2 | SiO2 | MgO | CaO | Al2O3 | Fe2O3 | SO42− | Others | TiO2 Recovery | Total Product | |
| Typical slag | 20–23 | 22–25 | 7–8 | 27–28 | 14–15 | - | - | - | - | - |
| Spent slag | 20.9 | 23.2 | 10.3 | 27.0 | 13.8 | 1.4 | 1.7 | 1.7 | - | - |
| NA (not adjusted) | 92.2 | 6.8 | - | - | 0.1 | 0.1 | 0.5 | 0.3 | 73.6 | 78.1 |
| pH =1 | 87.7 | 9.2 | - | - | 0.6 | 1.4 | 0.4 | 0.7 | 75.0 | 82.7 |
| pH =2 | 79.9 | 14.5 | - | - | 2.5 | 2.5 | 0.3 | 1.3 | 76.8 | 88.9 |
| pH =3 | 81.6 | 11.1 | - | - | 2.9 | 3.0 | 0.3 | 1.1 | 78.6 | 92.7 |
| Residue | 1.2 | 20.9 | 0.2 | 24.1 | 0.3 | 52.9 | 0.4 | - | - | |
| Sample | Support | Catalyst | ||||
|---|---|---|---|---|---|---|
| BET (m2·g−1) | Pore Size (nm) | Pore Volume (cm3·g−1) | Crystalline Size (nm) a | V2O5 Load (%) | WO3 Load (%) | |
| TiO2 | 119.32 | 15.99 | 0.477 | 21.22 | 1.9 | 4.8 |
| NA | 172.24 | 3.13 | 0.135 | 14.89 | 2.2 | 4.9 |
| pH = 1 | 282.28 | 8.62 | 0.609 | 11.90 | 2.0 | 5.1 |
| pH = 2 | 427.61 | 4.41 | 0.471 | 7.43 | 2.0 | 4.9 |
| pH = 3 | 298.02 | 5.62 | 0.419 | 8.47 | 1.9 | 5.1 |
| Sample | TiO2 | NA | pH = 1 | pH = 2 | pH = 3 |
|---|---|---|---|---|---|
| Tmax of VOx (°C) | 476 | 455 | 431 | 483 | 441 |
| kmass (cm3/g.s) | 116.8 | 131.6 | 150.0 | 93.1 | 140.0 |
© 2016 by the authors; licensee MDPI, Basel, Switzerland. This article is an open access article distributed under the terms and conditions of the Creative Commons by Attribution (CC-BY) license (http://creativecommons.org/licenses/by/4.0/).
Share and Cite
Tran, T.; Yu, J.; Gan, L.; Guo, F.; Phan, D.; Xu, G. Upgrading V2O5-WO3/TiO2 deNOx Catalyst with TiO2-SiO2 Support Prepared from Ti-Bearing Blast Furnace Slag. Catalysts 2016, 6, 56. https://doi.org/10.3390/catal6040056
Tran T, Yu J, Gan L, Guo F, Phan D, Xu G. Upgrading V2O5-WO3/TiO2 deNOx Catalyst with TiO2-SiO2 Support Prepared from Ti-Bearing Blast Furnace Slag. Catalysts. 2016; 6(4):56. https://doi.org/10.3390/catal6040056
Chicago/Turabian StyleTran, Tuyetsuong, Jian Yu, Lina Gan, Feng Guo, Dinhtuan Phan, and Guangwen Xu. 2016. "Upgrading V2O5-WO3/TiO2 deNOx Catalyst with TiO2-SiO2 Support Prepared from Ti-Bearing Blast Furnace Slag" Catalysts 6, no. 4: 56. https://doi.org/10.3390/catal6040056
APA StyleTran, T., Yu, J., Gan, L., Guo, F., Phan, D., & Xu, G. (2016). Upgrading V2O5-WO3/TiO2 deNOx Catalyst with TiO2-SiO2 Support Prepared from Ti-Bearing Blast Furnace Slag. Catalysts, 6(4), 56. https://doi.org/10.3390/catal6040056
