Boosting Toluene Oxidation over Ru-Doped CoMn2O4 Spinel Catalysts by Constructing Ru–O–Mn/Co Chains
Abstract
1. Introduction
2. Results and Discussion
2.1. Performance for Toluene Oxidation
2.1.1. Activity
2.1.2. CO2 Selectivity
2.1.3. Stability
2.2. Characterization
2.2.1. Crystal Structure
2.2.2. Surface Analysis
2.2.3. Redox Behavior
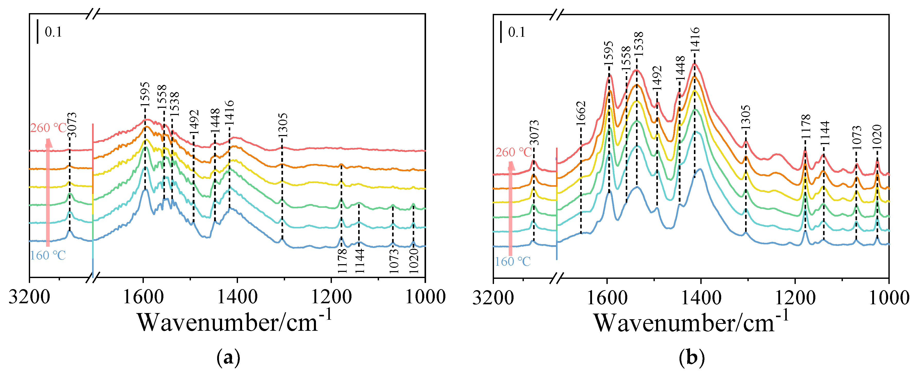
2.3. Mechanism of Toluene Oxidation
2.4. Promotion Mechanism of Ru Doping on Toluene Oxidation over CoMn2O4
3. Materials and Methods
3.1. Catalyst Preparation
3.2. Performance Assessment
3.3. Characterization
3.4. Density Functional Theory (DFT) Calculation
4. Conclusions
Supplementary Materials
Author Contributions
Funding
Data Availability Statement
Acknowledgments
Conflicts of Interest
References
- Batty, C.A.; Pearson, V.K.; Olsson-Francis, K.; Morgan, G. Volatile organic compounds (VOCs) in terrestrial extreme environments: Implications for life detection beyond Earth. Nat. Prod. Rep. 2025, 42, 93–112. [Google Scholar] [CrossRef]
- Caron, F.; Guichard, R.; Robert, L.; Verriele, M.; Thevenet, F. Experimental assessment of modelling VOC emissions from particleboard into a ventilated chamber. Atmos. Environ. 2024, 320, 120341. [Google Scholar] [CrossRef]
- Schoofs, K.; Van Gastel, A.; Demuynck, M.; Baetens, D.; Vaes, K.; Denys, S. Closing the loop: A kinetic study on photocatalytic in situ regeneration of activated carbon filters for continuous indoor VOC removal. Chem. Eng. J. 2025, 518, 164590. [Google Scholar] [CrossRef]
- Soukup, K.; Balabanova, J.; Fernandez, E.; Kupcík, J.; Topka, P. Pt catalysts supported on polybenzimidazole nanofibrous mats: Tailored electrospinning leading to different morphology and platinum dispersion. Application to VOC oxidation. Catal. Today 2026, 461, 115524. [Google Scholar] [CrossRef]
- García, A.; Toca, L.; Fernández-Domene, R.M.; Ivars-Barceló, F.; Montejano-Nares, E.; Amorós, P.; Sánchez-Tovar, R.; Solsona, B. Defective outermost layers of ceria catalysts determined by electrochemical methods as direct responsible for catalytic activity in total oxidation of a representative VOC. Appl. Surf. Sci. 2024, 653, 159354. [Google Scholar] [CrossRef]
- Shan, C.; Wang, Y.; Li, J.; Zhao, Q.; Han, R.; Liu, C.; Liu, Q. Recent advances of VOCs catalytic oxidation over spinel oxides: Catalyst design and reaction mechanism. Environ. Sci. Technol. 2023, 57, 9495–9514. [Google Scholar] [CrossRef]
- Dai, Y.; Kumar, V.P.; Zhu, C.; Wang, H.; Smith, K.J.; Wolf, M.O.; MacLachlan, M.J. Bowtie-shaped NiCo2O4 catalysts for low-temperature methane combustion. Adv. Funct. Mater. 2019, 29, 1807519. [Google Scholar] [CrossRef]
- Ren, Y.; Song, C.; Wang, H.; Qu, Z. Accelerated dual activation of lattice oxygen and molecule oxygen over CoMn2O4 catalysts for VOC oxidation: Promoting the role of oxygen vacancies. ACS Catal. 2024, 14, 4340–4351. [Google Scholar] [CrossRef]
- Li, H.; Li, X.; Li, Y.; Guo, M. Novel CoMn2O4 as a highly efficient catalyst for the oxidation of o-, m-, p-xylene: Preparation and kinetic study. Mol. Catal. 2022, 528, 112482. [Google Scholar] [CrossRef]
- Dong, C.; Yang, C.; Ren, Y.; Sun, H.; Wang, H.; Xiao, J.; Qu, Z. Local electron environment regulation of spinel CoMn2O4 induced effective reactant adsorption and transformation of lattice oxygen for toluene oxidation. Environ. Sci. Technol. 2023, 57, 21888–21897. [Google Scholar] [CrossRef]
- Nithya, R.; Patil, S.S.; Dasari, H.P.; Dasari, H.; Nethaji, S. Potential of CoMn2O4 spinel as soot oxidation catalyst and its kinetics thereof. Sci. Rep. 2025, 15, 1174. [Google Scholar] [CrossRef]
- Zhang, P.; Li, H.; Wang, Z.; Wang, X.; Nuobu, G.; Zhao, Z.; Chang, L.; Guo, J.; Xu, M.; Chen, F. Atomic-scale regulation of La doping in spinel Co3O4 lattice for highly efficient VOCs oxidation. Appl. Catal. B Environ. Energy 2026, 381, 125899. [Google Scholar] [CrossRef]
- Zhao, J.; Xi, W.; Tu, C.; Dai, Q.; Wang, X. Catalytic oxidation of chlorinated VOCs over Ru/TixSn1-x catalysts. Appl. Catal. B Environ. Energy 2020, 263, 118237. [Google Scholar] [CrossRef]
- Zhang, B.; Yang, J.; Mu, Y.; Ji, X.; Cai, Y.; Jiang, N.; Xie, S.; Qian, Q.; Liu, F.; Tan, W. Fabrication of highly dispersed Ru catalysts on CeO2 for efficient C3H6 oxidation. Environ. Sci. Technol. 2024, 58, 19533–19544. [Google Scholar] [CrossRef] [PubMed]
- Gao, G.; Liao, Y.; Li, W.; Li, Z.; Xu, H.; Huang, W.; Yan, N.; Fan, L.; Qu, Z. Active surface RuOx species originating from size-driving self-dispersion process for toluene catalytic combustion. Chem. Eng. J. 2022, 441, 136127. [Google Scholar] [CrossRef]
- Ding, M.; Zhang, Y.; Guo, Y.; Hua, W.; Yang, J.; Wang, L.; Guo, Y.; Dai, Q.; Wang, A.; Zhan, W. Selective adsorption of chlorine species on RuO2 sites for efficient elimination of vinyl chloride on the Ru/SnO2 Catalyst. Environ. Sci. Technol. 2025, 59, 956–967. [Google Scholar] [CrossRef]
- Li, Y.; Ren, Y.; He, J.; Xiao, H.; Li, J. Recent advances of the effect of H2O on VOC oxidation over catalysts: Influencing factors, inhibition/promotion mechanisms, and water resistance strategies. Environ. Sci. Technol. 2025, 59, 1034–1059. [Google Scholar] [CrossRef]
- Paris, C.; Dib, H.; Bounoukta, C.E.; Genty, E.; Poupin, C.; Siffert, S.; Cousin, R. Benefit of LDH-derived mixed oxides for the Co-oxidation of toluene and CO exhausted from biomass combustion. Catalysts 2024, 14, 455. [Google Scholar] [CrossRef]
- Kalaiselvi, C.; Pandian, M.S.; Chandar, N.K. MXene-based ternary nanocomposites as photocatalysts for the Simultaneous photocatalytic degradation of single and mixed dyes. Chem. Eng. Sci. 2026, 320, 122512. [Google Scholar] [CrossRef]
- Mei, J.; Ke, Y.; Yu, Z.; Hu, X.; Qu, Z.; Yan, N. Morphology-dependent properties of Co3O4/CeO2 catalysts for low temperature dibromomethane (CH2Br2) oxidation. Chem. Eng. J. 2017, 320, 124–134. [Google Scholar] [CrossRef]
- Mei, J.; Huang, W.; Qu, Z.; Hu, X.; Yan, N. Catalytic oxidation of dibromomethane over Ti-modified Co3O4 catalysts: Structure, activity and mechanism. J. Colloid Interf. Sci. 2017, 505, 870–883. [Google Scholar] [CrossRef] [PubMed]
- Mei, J.; Zhao, S.; Huang, W.; Qu, Z.; Yan, N. Mn-promoted Co3O4/TiO2 as an efficient catalyst for catalytic oxidation of dibromomethane (CH2Br2). J. Hazard. Mater. 2016, 318, 1–8. [Google Scholar] [CrossRef] [PubMed]
- Tada, S.; Mori, Y.; Shigeta, T.; Nishijima, M.; Hiramatsu, H.; Kikuchi, R. Effect of Mn addition to Cu/ZnO/ZrO2 catalysts for CO2-to-methanol hydrogenation. Appl. Catal. A Gen. 2025, 708, 120589. [Google Scholar] [CrossRef]
- Gamba, O.A.; Badawi, M.; Said, H.; Barres, O.; Lainé, J.; Mesquita, J.; Foucaud, Y. pH-dependent behavior of quartz surfaces: Insights from XPS, DRIFT, and potentiometric titrations. J. Phys. Chem. B. 2025, 129, 9517–9528. [Google Scholar] [CrossRef]
- Shen, Q.; Zhou, J.; Wu, X.; Liu, B.; Mei, J.; Yang, S. Exceptional performance of chlorobenzene oxidation on antimony-loaded commercial selective catalytic reduction catalyst as a co-benefit of nitrogen oxides reduction: Notable enhancement of chlorobenzene oxidation due to antimony loading. J. Colloid. Interf. Sci. 2025, 680, 274–285. [Google Scholar] [CrossRef]
- Cui, Y.; Zeng, Z.; Hou, Y.; Ma, S.; Shen, W.; Huang, Z. A low-noble-metal Ru@CoMn2O4 spinel catalyst for the efficient oxidation of propane. Molecules 2024, 29, 2255. [Google Scholar] [CrossRef]
- Hu, H.; He, H.; Xie, R.; Cheng, C.; Yan, T.; Chen, C.; Sun, D.; Chan, T.; Wu, J.; Zhang, L. Achieving reversible Mn2+/Mn4+ double redox couple through anionic substitution in a P2-type layered oxide cathode. Nano Energy 2022, 99, 107390. [Google Scholar] [CrossRef]
- Tian, Y.; Han, Z.; Zeng, Q.; Zhao, H.; Li, Y.; Ma, D. Synthesis of Ru-W/CeZrOx catalyst with superior NH3-SCO performance: Synergy between Ru and W species. J. Hazard. Mater. 2025, 486, 137108. [Google Scholar] [CrossRef]
- Li, Z.; Zhang, M.; Su, X.; Lu, Y.; Li, J.; Zhang, Q.; Li, W.; Qian, K.; Lu, X.; Dai, B. Machine learning-assisted Ru-N bond regulation for ammonia synthesis. Nat. Commun. 2025, 16, 7818. [Google Scholar] [CrossRef]
- Li, M.; Zhang, X.; Liu, X.; Lian, Y.; Niu, X.; Zhu, Y. Excellent low-temperature activity for oxidation of benzene serials VOCs over hollow Pt/CoMn2O4 sub-nanosphere: Synergistic effect between Pt and CoMn2O4 on improving oxygen activation. Chem. Eng. J. 2023, 473, 145478. [Google Scholar] [CrossRef]
- Dong, C.; Qu, Z.; Qin, Y.; Fu, Q.; Sun, H.; Duan, X. Revealing the highly catalytic performance of spinel CoMn2O4 for toluene oxidation: Involvement and replenishment of oxygen species using in situ designed-TP techniques. ACS Catal. 2019, 9, 6698–6710. [Google Scholar] [CrossRef]
- Gao, G.; Hou, J.; Fan, Y.; Liu, Z.; Qi, H.; Xu, H.; Huang, W.; Chen, W.; Yan, N.; Qu, Z. Stabilizing Ru-based catalysts against bromine poisoning through Ru–O covalency regulation for durable brominated volatile organic compound oxidation. Environ. Sci. Technol. 2025, 59, 15504–15514. [Google Scholar] [CrossRef] [PubMed]
- Shin, H.; Vikrant, K.; Kim, K.H.; Heynderickx, P.M.; Boukhvalov, D.W. Thermocatalytic oxidation of a binary mixture of formaldehyde and toluene at ambient levels by a titanium dioxide supported platinum catalyst. Sci. Total Environ. 2024, 915, 169612. [Google Scholar] [CrossRef] [PubMed]
- Dong, L.; Jiang, K.; Shen, Q.; Xie, L.; Mei, J.; Yang, S. Catalytic oxidation of chlorobenzene over HSiW/CeO2 as a co-benefit of NOx reduction: Remarkable inhibition of chlorobenzene oxidation by NH3. Materials 2024, 17, 828. [Google Scholar] [CrossRef]
- Su, Z.; Li, X.; Si, W.; Artiglia, L.; Peng, Y.; Chen, J.; Wang, H.; Chen, D.; Li, J. Probing the actual role and activity of oxygen vacancies in toluene catalytic oxidation: Evidence from in situ XPS/NEXAFS and DFT+U calculation. ACS Catal. 2023, 13, 3444–3455. [Google Scholar] [CrossRef]
- Xiao, M.; Yu, X.; Guo, Y.; Ge, M. Boosting toluene combustion by tuning electronic metal-support interactions in in situ grown Pt@Co3O4 catalysts. Environ. Sci. Technol. 2021, 56, 1376–1385. [Google Scholar] [CrossRef]
- Su, Z.; Si, W.; Liu, H.; Xiong, S.; Chu, X.; Yang, W.; Peng, Y.; Chen, J.; Cao, X.; Li, J. Boosting the catalytic performance of CeO2 in toluene combustion via the Ce-Ce homogeneous interface. Environ. Sci. Technol. 2021, 55, 12630–12639. [Google Scholar] [CrossRef]
- Yang, X.; Ma, X.; Yu, X.; Ge, M. Exploration of strong metal-support interaction in zirconia supported catalysts for toluene oxidation. Appl. Catal. B Environ. Energy 2020, 263, 118355. [Google Scholar] [CrossRef]
- Mo, S.; Zhang, Q.; Li, J.; Sun, Y.; Ren, Q.; Zou, S.; Zhang, Q.; Lu, J.; Fu, M.; Mo, D. Highly efficient mesoporous MnO2 catalysts for the total toluene oxidation: Oxygen-Vacancy defect engineering and involved intermediates using in situ DRIFTS. Appl. Catal. B Environ. Energy 2020, 264, 118464. [Google Scholar] [CrossRef]
- Li, Y.; Chen, T.; Zhao, S.; Wu, P.; Chong, Y.; Li, A.; Zhao, Y.; Chen, G.; Jin, X.; Qiu, Y. Engineering cobalt oxide with coexisting cobalt defects and oxygen vacancies for enhanced catalytic oxidation of toluene. ACS Catal. 2022, 12, 4906–4917. [Google Scholar] [CrossRef]
- Liu, Y.; Wu, W.; Guan, Y.; Ying, P.; Li, C. FT-IR spectroscopic study of the oxidation of chlorobenzene over Mn-based catalyst. Langmuir 2002, 18, 6229–6232. [Google Scholar] [CrossRef]
- Liu, J.; Li, Y.; Ke, J.; Wang, S.; Wang, L.; Xiao, H. Black NiO-TiO2 nanorods for solar photocatalysis: Recognition of electronic structure and reaction mechanism. Appl. Catal. B Environ. Energy 2018, 224, 705–714. [Google Scholar] [CrossRef]











| Co3+ | Co2+ | Mn4+ | Mn3+ | Ru4+ | Ru0 | Olatt | Oad | |
|---|---|---|---|---|---|---|---|---|
| CoMn2O4 | 4.12 | 3.81 | 8.97 | 10.9 | - | - | 37.5 | 34.7 |
| Ru-CoMn2O4 | 4.82 | 3.21 | 10.1 | 10.5 | 0.95 | 0.52 | 38.5 | 31.4 |
| spent Ru-CoMn2O4 | 4.60 | 3.92 | 9.58 | 10.8 | - | - | 46.4 | 24.7 |
| Temperature/°C | /μmol g−1 min−1 | |||
|---|---|---|---|---|
| δE–R | δMvK | R2 | ||
| Ru-CoMn2O4 | 180 | 0.0044 | 4.02 | 0.998 |
| 200 | 0.0095 | 5.94 | 0.998 | |
| 220 | 0.064 | 7.85 | 0.998 | |
| 240 | 0.158 | 12.2 | 0.998 | |
| 260 | 0.364 | 19.5 | 0.998 | |
Disclaimer/Publisher’s Note: The statements, opinions and data contained in all publications are solely those of the individual author(s) and contributor(s) and not of MDPI and/or the editor(s). MDPI and/or the editor(s) disclaim responsibility for any injury to people or property resulting from any ideas, methods, instructions or products referred to in the content. |
© 2026 by the authors. Licensee MDPI, Basel, Switzerland. This article is an open access article distributed under the terms and conditions of the Creative Commons Attribution (CC BY) license.
Share and Cite
Wu, X.; Yu, S.; Mei, J.; Liu, B.; Yang, S. Boosting Toluene Oxidation over Ru-Doped CoMn2O4 Spinel Catalysts by Constructing Ru–O–Mn/Co Chains. Catalysts 2026, 16, 106. https://doi.org/10.3390/catal16010106
Wu X, Yu S, Mei J, Liu B, Yang S. Boosting Toluene Oxidation over Ru-Doped CoMn2O4 Spinel Catalysts by Constructing Ru–O–Mn/Co Chains. Catalysts. 2026; 16(1):106. https://doi.org/10.3390/catal16010106
Chicago/Turabian StyleWu, Xue, Shiyu Yu, Jian Mei, Bing Liu, and Shijian Yang. 2026. "Boosting Toluene Oxidation over Ru-Doped CoMn2O4 Spinel Catalysts by Constructing Ru–O–Mn/Co Chains" Catalysts 16, no. 1: 106. https://doi.org/10.3390/catal16010106
APA StyleWu, X., Yu, S., Mei, J., Liu, B., & Yang, S. (2026). Boosting Toluene Oxidation over Ru-Doped CoMn2O4 Spinel Catalysts by Constructing Ru–O–Mn/Co Chains. Catalysts, 16(1), 106. https://doi.org/10.3390/catal16010106

