Selective Catalytic Reduction of NO with H2 over Pt/Pd-Containing Catalysts on Silica-Based Supports
Abstract
1. Introduction
2. Results
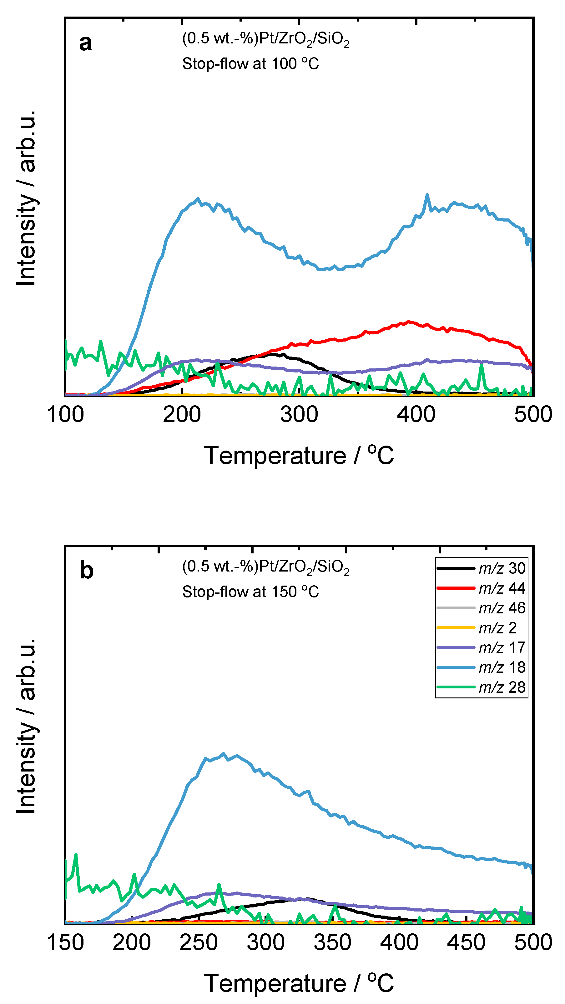
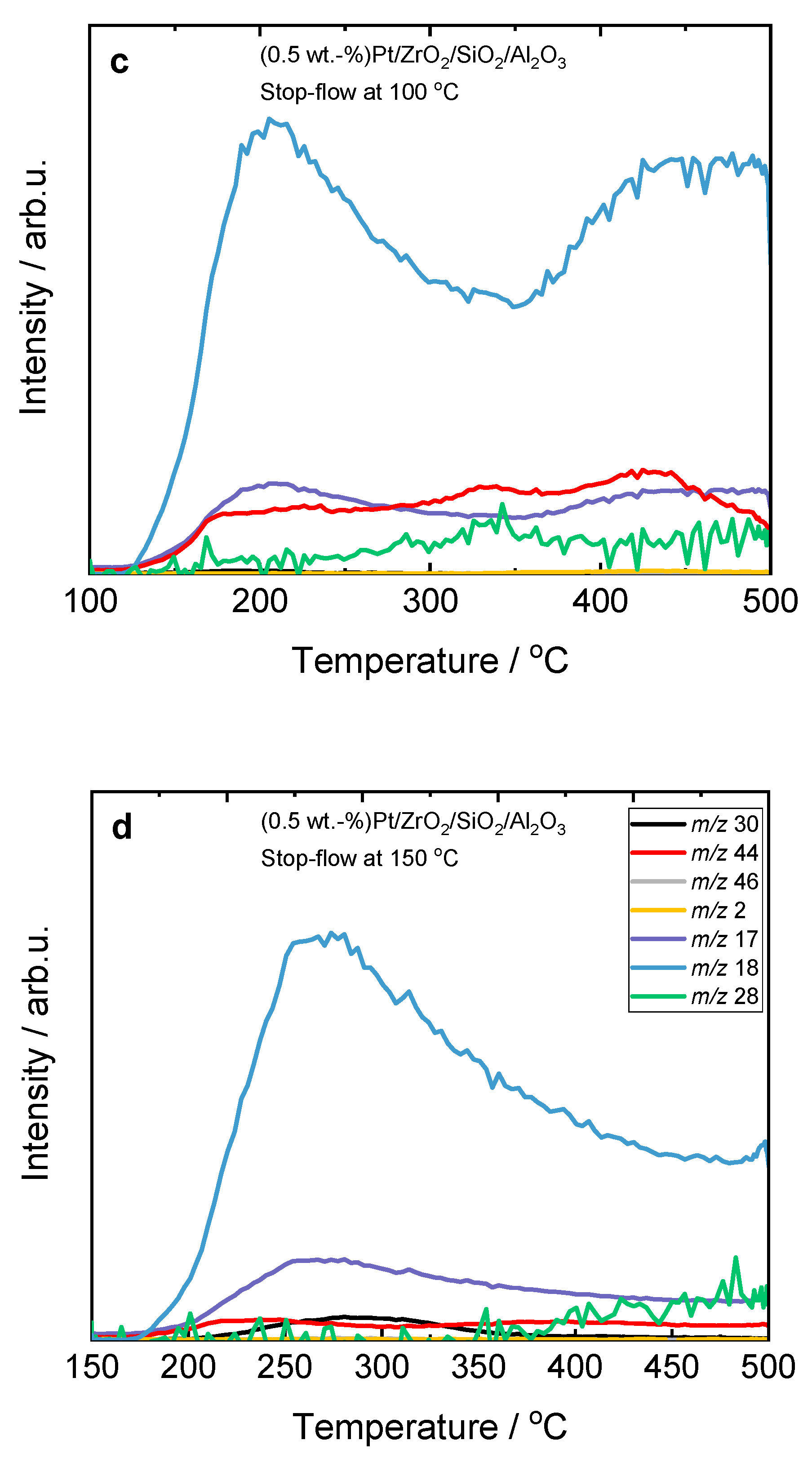
2.1. Results of Catalytic Studies
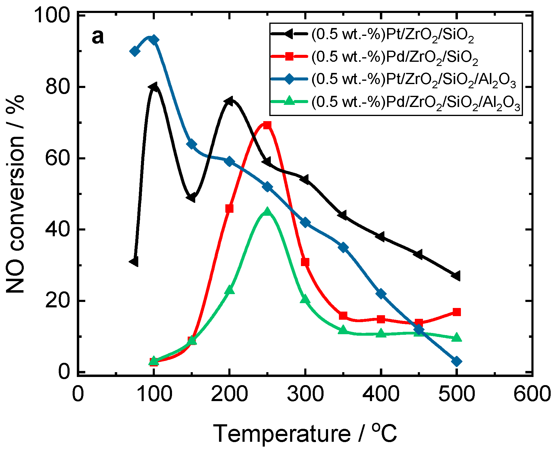
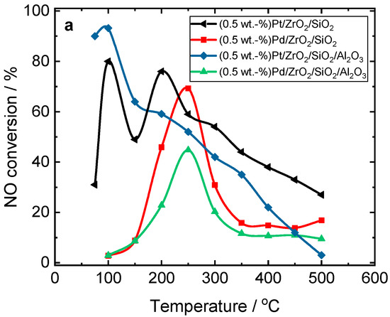
2.1.1. Type of Precious Metal
2.1.2. H2-SCR-DeNOx Versus NH3-SCR-DeNOx and H2-NH3-SCR-DeNOx
2.1.3. Effect of Precious Metal Loading
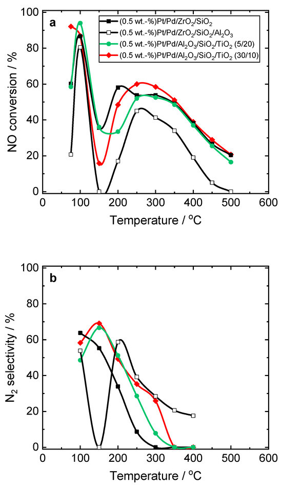
2.1.4. Effect of Support Composition
2.1.5. Effect of Hydrogen Concentration
3. Catalyst Preparation and Characterization
4. Catalytic Studies
5. Conclusions
Supplementary Materials
Author Contributions
Funding
Data Availability Statement
Conflicts of Interest
References
- Skowron, A.; Lee, D.S.; De León, R.R. Variation of radiative forcings and global warming potentials from regional aviation NOx emissions. Atmos. Environ. 2015, 104, 69–78. [Google Scholar] [CrossRef]
 - Hui, K.; Yuan, Y.; Xi, B.; Tan, W. A review of the factors affecting the emission of the ozone chemical precursors VOCs and NOx from the soil. Environ. Int. 2023, 172, 107799. [Google Scholar] [CrossRef] [PubMed]
 - Zhao, X.; Zhang, X.; Xu, Y.; Liu, Y.; Wang, X.; Yu, Q. The effect of H2O on the H2-SCR of NOx over Pt/HZSM-5. J. Mol. Catal. A Chem. 2015, 400, 147–153. [Google Scholar] [CrossRef]
 - Cao, L.; Wang, Q.; Yang, J. Ultrafine Pt particles directed by polyvinylpyrrolidone on zeolite beta as an efficient low-temperature H2-SCR catalyst. J. Environ. Chem. Eng. 2020, 8, 103631. [Google Scholar] [CrossRef]
 - Hu, Z.; Yang, R.T. 110th Anniversary: Recent progress and future challenges in selective catalytic reduction of NO by H2 in the presence of O2. Ind. Eng. Chem. Res. 2019, 58, 10140–10153. [Google Scholar] [CrossRef]
 - Liu, Y.; Tursun, M.; Yu, H.; Wang, X. Surface property and activity of Pt/Nb2O5-ZrO2 for selective catalytic reduction of NO by H2. Mol. Catal. 2019, 464, 22–28. [Google Scholar] [CrossRef]
 - Choi, M.; Yook, S.; Kim, H. Hydrogen spillover in encapsulated metal catalysts: New opportunities for designing advanced hydroprocessing catalysts. ChemCatChem 2015, 7, 1048–1057. [Google Scholar] [CrossRef]
 - Hong, Z.; Sun, X.; Wang, Z.; Zhao, G.; Li, X.; Zhu, Z. Pt/SSZ-13 as an efficient catalyst for the selective catalytic reduction of NOx with H2. Catal. Sci. Technol. 2019, 9, 3994–4001. [Google Scholar] [CrossRef]
 - Li, L.; Wu, P.; Yu, Q.; Wu, G.; Guan, N. Low temperature H2-SCR over platinum catalysts supported on Ti-containing MCM-41. Appl. Catal. B Environ. 2010, 94, 254–262. [Google Scholar] [CrossRef]
 - Zhang, Y.; Xu, S.; Li, J.; He, E.; Liu, Z. Unraveling the promotional effect of Co on the Pd/TiO2 Catalyst for H2-SCR of NOx in the presence of oxygen. J. Phys. Chem. C 2023, 127, 7248–7256. [Google Scholar] [CrossRef]
 - Park, D.C.; Moon, S.; Song, J.H.; Kim, H.; Lee, E.; Lim, Y.H.; Kim, D.H. Widening the operating window of Pt/ZSM-5 catalysts for efficient NOx removal in H2-SCR: Insights from thermal aging. Catal. Today 2024, 425, 114318. [Google Scholar] [CrossRef]
 - Schott, F.J.P.; Balle, P.; Adler, J.; Kureti, S. Reduction of NOx by H2 on Pt/WO3/ZrO2 catalysts in oxygen-rich exhaust. Appl. Catal. B Environ. 2009, 87, 18–29. [Google Scholar] [CrossRef]
 - Yu, Q.; Richter, M.; Li, L.; Kong, F.; Wu, G.; Guan, N. The promotional effect of Cr on catalytic activity of Pt/ZSM-35 for H2-SCR in excess oxygen. Catal. Commun. 2010, 11, 955–959. [Google Scholar] [CrossRef]
 - Hamada, S.; Hibarino, S.; Ikeue, K.; Machida, M. Preparation of supported Pt-M catalysts (M = Mo and W) from anion-exchanged hydrotalcites and their catalytic activity for low temperature NO-H2-O2 reaction. Appl. Catal. B Environ. 2007, 74, 197–202. [Google Scholar] [CrossRef]
 - Liu, Z.; Li, J.; Woo, S.I. Recent advances in the selective catalytic reduction of NO x by hydrogen in the presence of oxygen. Energy Environ. Sci. 2012, 5, 8799–8814. [Google Scholar] [CrossRef]
 - Shibata, J.; Hashimoto, M.; Shimizu, K.; Yoshida, H.; Hattori, T.; Satsuma, A. Factors controlling activity and selectivity for SCR of NO by hydrogen over supported platinum catalysts. J. Phys. Chem. B 2004, 108, 18327–18335. [Google Scholar] [CrossRef]
 - Costa, C.N.; Efstathiou, A.M. Low-temperature H2-SCR of NO on a novel Pt/MgO-CeO2 catalyst. Appl. Catal. B Environ. 2007, 72, 240–252. [Google Scholar] [CrossRef]
 - Yu, Q.; Richter, M.; Kong, F.; Li, L.; Wu, G.; Guan, N. Selective catalytic reduction of NO by hydrogen over Pt/ZSM-35. Catal. Today 2010, 158, 452–458. [Google Scholar] [CrossRef]
 - Duan, K.; Chen, B.; Zhu, T.; Liu, Z. Mn promoted Pd/TiO2-Al2O3 catalyst for the selective catalytic reduction of NOx by H2. Appl. Catal. B Environ. 2015, 176, 618–626. [Google Scholar] [CrossRef]
 - Patel, V.K.; Sharma, S. Effect of oxide supports on palladium based catalysts for NO reduction by H2-SCR. Catal. Today 2021, 375, 591–600. [Google Scholar] [CrossRef]
 - Moon, S.; Park, D.C.; Lee, E.; You, Y.-W.; Heo, I.; Kim, Y.J.; Kim, D.H. Excellent activity and selectivity of Pd/ZSM-5 catalyst in the selective catalytic reduction of NOx by H2. Environ. Res. 2023, 227, 115707. [Google Scholar] [CrossRef]
 - Jabłońska, M.; Osorio Hernández, A. Selective catalytic reduction of nitrogen oxides with hydrogen (H2-SCR-DeNOx) over platinum-based catalysts. ChemCatChem 2024, 16, e202400977. [Google Scholar] [CrossRef]
 - Mangla, O.; Roy, S. Monoclinic zirconium oxide nanostructures having tunable band gap synthesized under extremely non-equilibrium plasma conditions. Proceedings 2019, 3, 10. [Google Scholar]
 - Tan, D.; Lin, G.; Liu, Y.; Teng, Y.; Zhuang, Y.; Zhu, B.; Zhao, Q.; Qiu, J. Synthesis of nanocrystalline cubic zirconia using femtosecond laser ablation. J. Nanopart. Res. 2011, 13, 1183–1190. [Google Scholar] [CrossRef]
 - Chaiyo, P.; Duangsing, B.; Thumthan, O.; Nutariya, J.; Pukird, S. Electrical and gas sensing properties of TiO2/GO nanocomposites for CO2 sensor application. J. Phys. Conf. Ser. 2017, 901, 012095. [Google Scholar] [CrossRef]
 - Schröder, D.; Kureti, S. Low-temperature NOx reduction by H2 on Mo-promoted Pt/ZrO2 catalysts in lean exhaust gases. Top. Catal. 2023, 66, 787–796. [Google Scholar] [CrossRef]
 - Li, X.; Zhang, X.; Xu, Y.; Liu, Y.; Wang, X. Influence of support properties on H2 selective catalytic reduction activities and N2 selectivities of Pt catalysts. Chin. J. Catal. 2015, 36, 197–203. [Google Scholar] [CrossRef]
 - Park, J.-H.; Cho, J.H.; Kim, Y.J.; Kim, E.S.; Han, H.S.; Shin, C.-H. Hydrothermal stability of Pd/ZrO2 catalysts for high temperature methane combustion. Appl. Catal. B Environ. 2014, 160, 135–143. [Google Scholar] [CrossRef]
 - Farhan, S.M.; Wang, P.; Chen, Z.; Yin, J. Innovative catalysts for the selective catalytic reduction of NOx with H2: A systematic review. Fuel 2024, 355, 129364. [Google Scholar] [CrossRef]
 - Guan, Y.; Liu, Y.; Lv, Q.; Wang, B.; Che, D. Review on the selective catalytic reduction of NOx with H2 by using novel catalysts. J. Environ. Chem. Eng. 2021, 9, 106770. [Google Scholar] [CrossRef]
 - Eldridge, T.J.; Borchers, M.; Lott, P.; Grunwaldt, J.D.; Doronkin, D.E. Elucidating the role of the state of Pd in the H2-SCR of NOx by operando XANES and DRIFTS. Catal. Sci. Technol. 2024, 14, 4198–4210. [Google Scholar] [CrossRef]
 - Fan, J.; Ning, P.; Song, Z.; Liu, X.; Wang, L.; Wang, J.; Wang, H.; Long, K.; Zhang, Q. Mechanistic aspects of NH3-SCR reaction over CeO2/TiO2-ZrO2-SO42− catalyst: In situ DRIFTS investigation. Chem. Eng. J. 2018, 334, 855–863. [Google Scholar] [CrossRef]
 









Disclaimer/Publisher’s Note: The statements, opinions and data contained in all publications are solely those of the individual author(s) and contributor(s) and not of MDPI and/or the editor(s). MDPI and/or the editor(s) disclaim responsibility for any injury to people or property resulting from any ideas, methods, instructions or products referred to in the content.  | 
© 2025 by the authors. Licensee MDPI, Basel, Switzerland. This article is an open access article distributed under the terms and conditions of the Creative Commons Attribution (CC BY) license (https://creativecommons.org/licenses/by/4.0/).
Share and Cite
Jabłońska, M.; Osorio Hernández, A.; Dornseiffer, J.; Grams, J.; Guo, A.; Simon, U.; Gläser, R. Selective Catalytic Reduction of NO with H2 over Pt/Pd-Containing Catalysts on Silica-Based Supports. Catalysts 2025, 15, 483. https://doi.org/10.3390/catal15050483
Jabłońska M, Osorio Hernández A, Dornseiffer J, Grams J, Guo A, Simon U, Gläser R. Selective Catalytic Reduction of NO with H2 over Pt/Pd-Containing Catalysts on Silica-Based Supports. Catalysts. 2025; 15(5):483. https://doi.org/10.3390/catal15050483
Chicago/Turabian StyleJabłońska, Magdalena, Adrián Osorio Hernández, Jürgen Dornseiffer, Jacek Grams, Anqi Guo, Ulrich Simon, and Roger Gläser. 2025. "Selective Catalytic Reduction of NO with H2 over Pt/Pd-Containing Catalysts on Silica-Based Supports" Catalysts 15, no. 5: 483. https://doi.org/10.3390/catal15050483
APA StyleJabłońska, M., Osorio Hernández, A., Dornseiffer, J., Grams, J., Guo, A., Simon, U., & Gläser, R. (2025). Selective Catalytic Reduction of NO with H2 over Pt/Pd-Containing Catalysts on Silica-Based Supports. Catalysts, 15(5), 483. https://doi.org/10.3390/catal15050483
        
