The Improved Cooperation of Metal–Acid Catalysis Using Encapsulation and P Doping Enhances the Preparation of 3-Acetyl-1-Propanol
Abstract
1. Introduction
2. Results
2.1. Morphology and Structure of the Catalysts
2.2. Chemical Properties of Catalysts
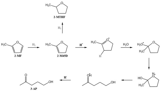
2.3. Reaction Performance of Catalysts
2.4. The Stability of the Catalysts
3. Experimental Section
3.1. Chemical Reagents
3.2. Preparation of Catalysts
3.3. Catalytic Tests
3.4. Catalyst Characterization
4. Conclusions
Supplementary Materials
Author Contributions
Funding
Data Availability Statement
Acknowledgments
Conflicts of Interest
References
- Mohammed, A.; Dongmei, L.; Mahtab, N.; Ateeq, S.; Xiao, M.Z.; Donald, L.S. Biomass for a sustainable bioeconomy: An overview of world biomass production and utilization. Renew. Sustain. Energy Rev. 2021, 139, 110691. [Google Scholar] [CrossRef]
- Cai, J.; Wei, L.; Wang, J.; Lin, N.; Li, Y.; Li, F.; Zha, X.; Li, W. Application of catalysts in the conversion of biomass and its derivatives. Catalysts 2024, 14, 499. [Google Scholar] [CrossRef]
- Yang, T.; Gao, Y.; He, Q.; Chai, Y.; Qin, P.; Wu, Z.; Liu, C.; Gong, X.; Liang, Y. Preparation and application of UiO-66(Zr) and its derivatives as catalysts in lignocellulosic biomass conversion. Chem. Eng. J. 2024, 486, 149971. [Google Scholar] [CrossRef]
- Tiong, Y.W.; Yap, C.L.; Gan, S.; Yap, W.S.P. Conversion of biomass and its derivatives to levulinic acid and levulinate esters via ionic liquids. Ind. Eng. Chem. Res. 2018, 57, 4749–4766. [Google Scholar] [CrossRef]
- Hronec, M.; Fulajtarová, K. Selective transformation of furfural to cyclopentanone. Catal. Commun. 2012, 24, 100–104. [Google Scholar] [CrossRef]
- Moravvej, Z.; Farshchi Tabrizi, F.; Rahimpour, M.R.; Behrad Vakylabad, A. Exploiting the potential of cobalt molybdenum catalyst in elevated hydrodeoxygenation of furfural to 2-methyl furan. Fuel 2023, 332, 126193. [Google Scholar] [CrossRef]
- Zhou, X.; Feng, Z.; Guo, W.; Liu, J.; Li, R.; Chen, R.; Huang, J. Hydrogenation and hydrolysis of furfural to furfuryl alcohol, cyclopentanone, and cyclopentanol with a heterogeneous copper catalyst in water. Ind. Eng. Chem. Res. 2019, 58, 3988–3993. [Google Scholar] [CrossRef]
- Fulignati, S. Novel catalytic strategies for the synthesis of furans and their derivatives. Catalysts 2024, 14, 349. [Google Scholar] [CrossRef]
- Pirmoradi, M.; Kastner, J.R. A kinetic model of multi-step furfural hydrogenation over a Pd-TiO2 supported activated carbon catalyst. Chem. Eng. J. 2021, 414, 128693. [Google Scholar] [CrossRef]
- Liu, F.; Liu, Q.; Xu, J.; Li, L.; Cui, Y.-T.; Lang, R.; Li, L.; Su, Y.; Miao, S.; Sun, H.; et al. Catalytic cascade conversion of furfural to 1,4-pentanediol in a single reactor. Green Chem. 2018, 20, 1770–1776. [Google Scholar] [CrossRef]
- Taraban’ko, V.E.; Smirnova, M.A.; Zhizhina, E.G. Methods for the synthesis of γ-acetopropyl alcohol. Catal. Ind. 2022, 14, 195–207. [Google Scholar] [CrossRef] [PubMed]
- Zolotarev, N.S.; Latvis, P.P.; Buimov, A.A.; Sirotenko, V.I.; Lisnyanskii, I.M.; Novikova, K.E.; Bogatyrev, Y.V.; Zhdanovich, E.S. A study of the process of preparing γ-acetopropyl alcohol from furfural. Pharm. Chem. J. 1972, 6, 184–187. [Google Scholar] [CrossRef]
- Swadesh, S.; Smith, S.; Dunlop, A.P. Mechanism of hydrogenation of 2-methylfuran. J. Org. Chem. 1951, 16, 476–479. [Google Scholar] [CrossRef]
- Bel’skii, I.F.; Shuikin, N.I. Catalytic hydrogenation and hydrogenolysis of furan compounds. Russ. Chem. Rev. 1963, 32, 307. [Google Scholar] [CrossRef]
- Mironenko, R.M.; Talsi, V.P.; Gulyaeva, T.I.; Trenikhin, M.V.; Belskaya, O.B. Aqueous-phase hydrogenation of furfural over supported palladium catalysts: Effect of the support on the reaction routes. React. Kinet. Mech. Catal. 2018, 12, 811–827. [Google Scholar] [CrossRef]
- Soós, J. Mechanism of the formation of 5-hydroxy-2-pentanone from 2-methylfuran in alkaline media. React. Kinet. Catal. Lett. 1987, 34, 333–337. [Google Scholar] [CrossRef]
- Fu, X.X.; Li, J.P.; Li, Z.Q.; Liu, Y.; Feng, C.X.; Wang, H.Y.; Zhao, Z.P.; Liu, Q.-Y.; Liu, Z.Y.; Peng, Z.K. Selective conversion of 2-methylfuran to 3-acetyl-1-propanol in water over Pd@HZSM-5 catalyst with balanced metal-acid cooperation. J. Catal. 2022, 413, 648–657. [Google Scholar] [CrossRef]
- Perchenok, M.S.; Shevchenko, V.S.; Komarov, V.M.; Zavel’skii, D.Z. Continuous method of obtaining 3-acetylpropan-1-ol from methylfuran. Pharm. Chem. J. 1976, 10, 222–226. [Google Scholar] [CrossRef]
- Londergan, T.E.; Hause, N.L.; Schmitz, W.R. A new synthesis of the thiazole fragment of vitamin B11. J. Am. Chem. Soc. 1953, 75, 4456–4458. [Google Scholar] [CrossRef]
- Gupta, K.; Singh, S.K. Room-temperature total hydrogenation of biomass-derived furans and furan/acetone aldol adducts over a Ni–Pd Alloy Catalyst. ACS Sustain. Chem. Eng. 2018, 6, 4793–4800. [Google Scholar] [CrossRef]
- Jin, Z.; Yi, X.; Wang, L.; Xu, S.; Wang, C.; Wu, Q.; Wang, L.; Zheng, A.; Xiao, F.-S. Metal-acid interfaces enveloped in zeolite crystals for cascade biomass hydrodeoxygenation. Appl. Catal. B Environ. 2019, 254, 560–568. [Google Scholar] [CrossRef]
- Liu, Q.; Liu, F.; Zhang, Y.; Su, Y.; Wang, A.; Zhang, T. Ru/H-beta as an efficient catalyst for the conversion of furfural into 3-acetyl-1-propanol (3-AP) toward one-pot transformation of xylan to 3-AP. Mol. Catal. 2019, 476, 110506. [Google Scholar] [CrossRef]
- Zhang, J.; Wang, L.; Wu, Z.; Wang, H.; Wang, C.; Han, S.; Xiao, F.S. Solvent-free synthesis of core–shell Zn/ZSM-5@Silicalite-1 catalyst for selective conversion of methanol to BTX Aromatics. Ind. Eng. Chem. Res. 2019, 58, 15453–15458. [Google Scholar] [CrossRef]
- Wang, P.; Zhang, W.; Zhu, H.; Yuan, P.; Yang, C.; Li, C.; Bao, X. Insights into the reaction pathway of n-butane conversion over HZSM-5 zeolite at low temperature. Appl. Catal. A Gen. 2019, 584, 117135. [Google Scholar] [CrossRef]
- Desmurs, L.; Cammarano, C.; Gimello, O.; Galarneau, A.; Hulea, V. Influence of the mesoporosity of hierarchical ZSM-5 in toluene alkylation by methanol. Materials 2023, 16, 6872. [Google Scholar] [CrossRef]
- Tong, Y.; Ke, M. Study on the Acidic Modification of Mesoporous HZSM-5 Zeolite and Its Catalytic Cracking Performance. Catalysts 2024, 14, 713. [Google Scholar] [CrossRef]
- Jokar, F.; Alavi, S.M.; Rezaei, M. Investigating the hydroisomerization of n-pentane using Pt supported on ZSM-5, desilicated ZSM-5, and modified ZSM-5/MCM-41. Fuel 2022, 324, 124511. [Google Scholar] [CrossRef]
- Wang, H.; Wang, L.; Xiao, F.-S. Metal@Zeolite Hybrid Materials for Catalysis. ACS Cent. Sci. 2020, 6, 1685–1697. [Google Scholar] [CrossRef]
- Chai, Y.; Shang, W.; Li, W.; Wu, G.; Dai, W.; Guan, N.; Li, L. Noble metal particles confined in zeolites: Synthesis, characterization, and applications. Adv. Sci. 2019, 6, 1900299. [Google Scholar] [CrossRef]
- Wang, L.; Xu, S.; He, S.; Xiao, F.-S. Rational construction of metal nanoparticles fixed in zeolite crystals as highly efficient heterogeneous catalysts. Nano Today 2018, 20, 74–83. [Google Scholar] [CrossRef]
- Choi, M.; Wu, Z.; Iglesia, E. Mercaptosilane-assisted synthesis of metal clusters within zeolites and catalytic consequences of encapsulation. J. Am. Chem. Soc. 2010, 132, 9129–9137. [Google Scholar] [CrossRef]
- Otto, T.; Zones, S.I.; Iglesia, E. Challenges and strategies in the encapsulation and stabilization of monodisperse Au clusters within zeolites. J. Catal. 2016, 339, 195–208. [Google Scholar] [CrossRef]
- Sun, Q.; Wang, N.; Zhang, T.; Bai, R.; Mayoral, A.; Zhang, P.; Zhang, Q.; Terasaki, O.; Yu, J. Zeolite-Encaged Single-Atom Rhodium Catalysts: Highly-Efficient Hydrogen Generation and Shape-Selective Tandem Hydrogenation of Nitroarenes. Angew. Chem. Int. Ed. Engl. 2019, 58, 18570–18576. [Google Scholar] [CrossRef]
- Sun, Q.; Wang, N.; Fan, Q.; Zeng, L.; Mayoral, A.; Miao, S.; Yang, R.; Jiang, Z.; Zhou, W.; Zhang, J.; et al. Subnanometer bimetallic platinum-zinc clusters in zeolites for propane dehydrogenation. Angew. Chem. Int. Ed. Engl. 2020, 59, 19450–19459. [Google Scholar] [CrossRef]
- Liu, L.; Diaz, U.; Arenal, R.; Agostini, G.; Concepcion, P.; Corma, A. Generation of subnanometric platinum with high stability during transformation of a 2D zeolite into 3D. Nat. Mater. 2017, 16, 132–138. [Google Scholar] [CrossRef] [PubMed]
- Wang, C.; Zhang, J.; Qin, G.; Wang, L.; Zuidema, E.; Yang, Q.; Dang, S.; Yang, C.; Xiao, J.; Meng, X.; et al. Direct conversion of syngas to ethanol within zeolite crystals. Chem 2020, 6, 646–657. [Google Scholar] [CrossRef]
- Ding, J.; Wang, M.; Peng, L.; Xue, N.; Wang, Y.; He, M.Y. Combined desilication and phosphorus modification for high-silica ZSM-5 zeolite with related study of hydrocarbon cracking performance. Appl. Catal. A Gen. 2015, 503, 147–155. [Google Scholar] [CrossRef]
- Lin, X.; Zhang, Z.; Sun, J.; Guo, W.; Wang, Q. Effects of phosphorus-modified HZSM-5 on distribution of hydrocarbon compounds from wood–plastic composite pyrolysis using Py-GC/MS. J. Anal. Appl. Pyrolysis 2015, 116, 223–230. [Google Scholar] [CrossRef]
- Ramesh, K.; Jie, C.; Han, Y.F.; Borgna, A. Synthesis, characterization, and catalytic activity of phosphorus modified H-ZSM-5 catalysts in selective ethanol dehydration. Ind. Eng. Chem. Res. 2010, 49, 4080–4090. [Google Scholar] [CrossRef]
- Li, Z.-Q.; Fu, X.; Gao, C.; Huang, J.; Li, B.; Yang, Y.; Gao, J.; Shen, Y.; Peng, Z.; Yang, J.H.; et al. Enhancing the matching of acid/metal balance by engineering an extra Si–Al framework outside the Pd/HBeta catalyst towards benzene hydroalkylation. Catal. Sci. Technol. 2020, 10, 1467–1476. [Google Scholar] [CrossRef]
- Wang, C.; Wang, L.; Zhang, J.; Wang, H.; Lewis, J.P.; Xiao, F.S. Product selectivity controlled by zeolite crystals in biomass hydrogenation over a palladium catalyst. J. Am. Chem. Soc. 2016, 138, 7880–7883. [Google Scholar] [CrossRef] [PubMed]
- Liu, C.; Liu, J.; Yang, S.; Cao, C.; Song, W. Palladium nanoparticles encapsulated in a silicalite-1 zeolite shell for size-selective catalysis in liquid-phase solution. ChemCatChem 2016, 8, 1279–1282. [Google Scholar] [CrossRef]
- Rogers, S.M.; Catlow, C.R.A.; Chan-Thaw, C.E.; Chutia, A.; Jian, N.; Palmer, R.E.; Perdjon, M.; Thetford, A.; Dimitratos, N.; Villa, A.; et al. Tandem site- and size-controlled Pd nanoparticles for the directed hydrogenation of furfural. ACS Catal. 2017, 7, 2266–2274. [Google Scholar] [CrossRef]
- Li, Z.; Li, H.; Yuan, D.; Leng, L.; Zhang, M.; Di, M.; Horton, J.H.; Wang, J.; Sun, L.; Sun, W. Photoinduction of palladium single atoms supported on defect-containing γ-AlOOH nanoleaf for efficient trans-stilbene epoxidation. Chem. Eng. J. 2022, 429, 132149. [Google Scholar] [CrossRef]
- Blasco, T.; Corma, A.; Martínez, T.J. Hydrothermal stabilization of ZSM-5 catalytic-cracking additives by phosphorus addition. J. Catal. 2006, 237, 267–277. [Google Scholar] [CrossRef]
- Lercher, J.A.; Rumplmayr, G. Controlled decrease of acid strength by orthophosphoric acid on ZSM5. Appl. Catal. 1986, 25, 215–222. [Google Scholar] [CrossRef]
- Huang, L.; Li, Q. Enhanced acidity and thermal stability of mesoporous materials with post-treatment with phosphoric acid. Chem. Lett. 1999, 28, 829–830. [Google Scholar] [CrossRef]
- Gu, J.; Zhang, Z.; Ding, L.; Huang, K.; Xue, N.; Peng, L.; Ding, W. Platinum nanoparticles encapsulated in HZSM-5 crystals as an efficient catalyst for green production of p-aminophenol. Catal. Commun. 2017, 97, 98–101. [Google Scholar] [CrossRef]
- Mi, X.T.; Li, X.G.; Chang, Y.; Zhang, Y.K.; Li, Y.H.; Cao, H.; Hou, Z.G. Collaborative construction of nanoscale ZSM-5 aggregates by crystal seeds and templates. Inorg. Chem. Ind. 2023, 55, 130–135. [Google Scholar] [CrossRef]
- Xie, H.Y. Synthesis of ZSM-5 Molecular Sieves by Steam-Assisted Method and Its Catalytic Properties. Ph.D. Thesis, Qingdao University of Science and Technology, Qingdao, China, 2023. [Google Scholar] [CrossRef]
- Goel, S.; Zones, S.I.; Iglesia, E. Encapsulation of metal clusters within MFI via interzeolite transformations and direct hydrothermal syntheses and catalytic consequences of their confinement. J. Am. Chem. Soc. 2014, 136, 15280–15290. [Google Scholar] [CrossRef]









| Entry | Catalyst | ICP Metal Content a (Weight %) | Dispersion b (%) | SBET (m2∙g−1) | Pore Volume (cm3/g) |
|---|---|---|---|---|---|
| Entry 1 | Pd/HZSM-5 | 0.30 | 15 | 337.7 | 2.4 |
| Entry 2 | Pd@HZSM-5 | 0.30 | 45 | 113.7 | 2.0 |
| Entry 3 | Pd@P1/3HZSM-5 | 0.29 | 27.58 | 72.3 | 1.2 |
| Entry 4 | Pd@P1/4HZSM-5 | 0.29 | 38.61 | 96.1 | 1.5 |
| Entry 5 | Pd@P1/5HZSM-5 | 0.30 | 57.71 | 120.4 | 2.3 |
| Entry 6 | Pd@P1/6HZSM-5 | 0.31 | 58.18 | 122.9 | 2.4 |
| Entry 7 | Pd@P1/7HZSM-5 | 0.31 | 58.39 | 125.7 | 2.3 |
| Catalyst | Acidity c (mmol H+ g−1) | Py-IR Acidity d (µmol g−1) | B/L Ratio | ||
|---|---|---|---|---|---|
| Weak Acid | Strong Acid | Lewis Acid | Bronsted Acid | ||
| Pd/HZSM-5 | 88.4 | 55.4 | 42.3 | 52.9 | 1.3 |
| Pd@HZSM-5 | 156.4 | 128.7 | 82.1 | 131.2 | 1.6 |
| Pd@P1/3HZSM-5 | 178.6 | 37.9 | 75.8 | 58.6 | 0.8 |
| Pd@P1/4HZSM-5 | 195.4 | 42.3 | 86.3 | 84.3 | 1.0 |
| Pd@P1/5HZSM-5 | 207.7 | 47.6 | 95.4 | 112.7 | 1.2 |
| Pd@P1/6HZSM-5 | 196.7 | 58.4 | 89.3 | 118.5 | 1.3 |
| Pd@P1/7HZSM-5 | 172.8 | 73.9 | 85.6 | 123.4 | 1.4 |
| Catalyst | Conv. (%) | Yield (%) | Carbon Balance (%) | ||
|---|---|---|---|---|---|
| 3-AP | 2-MTHF | 2M45D | |||
| Pd/HZSM-5 | 50.6 | 30.7 | 15.2 | 3.7 | 99.5 |
| Pd@HZSM-5 | 83.4 | 72.4 | 6.6 | 1.7 | 97.3 |
| Pd@P1/3HZSM-5 | 69.7 | 58.6 | 7.2 | 3.1 | 99.2 |
| Pd@P1/4HZSM-5 | 78.5 | 67.2 | 7.2 | 2.5 | 98.4 |
| Pd@P1/5HZSM-5 | 88.3 | 78.7 | 6.9 | 1.8 | 99.1 |
| Pd@P1/5HZSM-5 | 86.9 | 76.2 | 7.5 | 1.8 | 98.6 |
| Pd@P1/5HZSM-5 | 85.6 | 74.6 | 7.1 | 1.9 | 98.0 |
Disclaimer/Publisher’s Note: The statements, opinions and data contained in all publications are solely those of the individual author(s) and contributor(s) and not of MDPI and/or the editor(s). MDPI and/or the editor(s) disclaim responsibility for any injury to people or property resulting from any ideas, methods, instructions or products referred to in the content. |
© 2025 by the authors. Licensee MDPI, Basel, Switzerland. This article is an open access article distributed under the terms and conditions of the Creative Commons Attribution (CC BY) license (https://creativecommons.org/licenses/by/4.0/).
Share and Cite
Bing, Z.; Gao, Y.; Liu, Z.; Liu, Q. The Improved Cooperation of Metal–Acid Catalysis Using Encapsulation and P Doping Enhances the Preparation of 3-Acetyl-1-Propanol. Catalysts 2025, 15, 390. https://doi.org/10.3390/catal15040390
Bing Z, Gao Y, Liu Z, Liu Q. The Improved Cooperation of Metal–Acid Catalysis Using Encapsulation and P Doping Enhances the Preparation of 3-Acetyl-1-Propanol. Catalysts. 2025; 15(4):390. https://doi.org/10.3390/catal15040390
Chicago/Turabian StyleBing, Zezheng, Yuanyuan Gao, Zhongyi Liu, and Qiaoyun Liu. 2025. "The Improved Cooperation of Metal–Acid Catalysis Using Encapsulation and P Doping Enhances the Preparation of 3-Acetyl-1-Propanol" Catalysts 15, no. 4: 390. https://doi.org/10.3390/catal15040390
APA StyleBing, Z., Gao, Y., Liu, Z., & Liu, Q. (2025). The Improved Cooperation of Metal–Acid Catalysis Using Encapsulation and P Doping Enhances the Preparation of 3-Acetyl-1-Propanol. Catalysts, 15(4), 390. https://doi.org/10.3390/catal15040390
