Next Article in Journal
Ca-, Mg-, Sc-, and Y-Stabilized Zirconia: High-Performance Support Material for Dry Reforming of Methane and Solid-Electrolyte Material for Fuel Cell
Next Article in Special Issue
Constructing Pt/Hierarchical HY Bifunctional Catalysts for Selective Hydroisomerization of Phenanthrene to Alkyl-Adamantanes
Previous Article in Journal
N-Doped Porous Graphene Film Decorated with Palladium Nanoparticles for Enhanced Electrochemical Detection of Hydrogen Peroxide
Previous Article in Special Issue
Optimizing Fe-N-C Electrocatalysts for PEMFCs: Influence of Constituents and Pyrolysis on Properties and Performance
 
 
Font Type:
Arial Georgia Verdana
Font Size:
Aa Aa Aa
Line Spacing:
Column Width:
Background:
Article

Development and Characterization of Metal-Doped Modified CO Oxidation Catalyst for Coalbed Methane with Strong Adsorption and Water Resistance

1
Guizhou Anhe Mining Technology Engineering Co., Ltd., Guiyang 550081, China
2
School of Architectural Engineering, Chongqing Industry Polytechnic College, Chongqing 401120, China
3
China Coal Technology Engineering Group Chongqing Research Institute, Chongqing 400039, China
*
Author to whom correspondence should be addressed.
Catalysts 2025, 15(4), 299; https://doi.org/10.3390/catal15040299
Submission received: 18 February 2025 / Revised: 18 March 2025 / Accepted: 20 March 2025 / Published: 21 March 2025
(This article belongs to the Special Issue Advanced Catalysis for Energy and Environmental Applications)

Abstract

A metal-doped modified CO oxidation catalyst with strong adsorption and water resistance for coalbed methane was prepared by the CO precipitation method. The CO ablation characteristics were tested, and the Cu Mn catalyst synthesized by metal Ce doping achieved an instantaneous ablation efficiency of 80% when in contact with CO at room temperature. By analyzing the surface crystal structure and pore characteristics, as well as by testing the ablation properties, it was found that the CO oxidation catalyst synthesized by Ce had the best effect at a precipitation temperature of 70 °C. A water-resistant CO oxidation catalyst was synthesized by adding polyvinyl alcohol (PVA) and polyvinylpyrrolidone (PVP). After storage at a relative humidity of 90%, it still had a CO adsorption rate of about 85%. The water-resistant CO oxidation catalyst prepared with polyvinyl alcohol (PVA) as an additive had a higher content of CeO2 crystal nuclei, and the PVA-added CO oxidation catalyst had the best ablation characteristics. In the evaluation of the water-resistant steam ablation process, the CuMnOx-Ce-PVA catalyst showed a significant increase in intermediate products during the stress process under water vapor conditions and a decrease in the peak value of the catalyst’s binding to water, and the catalyst has a particular inhibitory influence on the adsorption of water molecules on its surface. Due to its outstanding water resistance, the catalyst was able to retain good ablation characteristics.

1. Introduction

China has a high dependence on coal energy, but there are significant safety hazards, such as gas explosions and CO poisoning, during its mining process [1]. The highest volume fraction of CO produced by gas explosions is about 7–8% [2], and in the event of gas explosion accidents, roughly 70–80% of the underground workforce meet their deaths as a result of CO poisoning [3,4]. In addition, due to the complex geological structure underground in coal mines, the air is hot and humid and there is a lot of groundwater, and much equipment also requires high-pressure water, resulting in high air humidity underground, which increases the difficulty of CO ablation underground.
The commonly used methods for CO ablation both domestically and internationally include the CoSorb method [5], the pressure swing adsorption method [6], the catalytic oxidation method [7], and the porous media adsorption method [8]. Table 1 summarizes the advantages and disadvantages of common CO ablation methods. Considering the special post-disaster environment in coal mines, the catalytic oxidation method is selected for CO ablation, mainly using a CO oxidation catalyst as the ablation agent [9]. CO oxidation catalysts consist of precious metals [10] and non-precious metals [11]. Precious metals mainly include catalysts containing active components such as Pt, Ag, Au, etc. Due to their easy adsorption of reactants and moderate strength, they have the advantages of strong activity [12], high selectivity [13], and strong stability [14]. Non-precious metal catalysts primarily consist of those containing active components such as Cu [15], Mn [16], and Ce [17]. Among them, the widespread adoption of Cu-Mn catalysts is primarily attributed to their economic production costs and the accessibility of source materials. However, its properties are greatly affected by the preparation method and process parameters, and it becomes inactive when the humidity exceeds 45% [18]. Therefore, it cannot be used in coal mines, where the humidity often exceeds 95%. Therefore, improving its ablation characteristics, especially stability, is currently a research focus.
Modification through doping represents a widely adopted strategy for improving the performance characteristics of ablation materials, and experiments have shown that metal doping can enhance oxygen storage [19], release [20], oxygen mobility [21], and the strong adsorption ability of catalysts [14]. Doping metal elements into traditional Cu Mn-type catalysts can improve their ablation performance in humid environments and reduce the influence of water vapor [22]. In addition, water-soluble polymer compounds have film-forming, adhesive, and hygroscopic properties, and can be used as binders, film-forming agents, and protective agents to enhance the water resistance of catalysts and improve their applicability in coal mines [23].
Among water-soluble polymer compounds, polyvinyl alcohol (PVA) and polyvinylpyrrolidone (PVP) were selected due to their excellent film-forming, adhesive, and hygroscopic properties [24,25]. PVA and PVP have been widely used in material modification for their ability to improve the dispersibility and stability of materials. In the context of catalyst modification, their polar groups can form hydrogen bonds or complexes with the catalyst surface, enhancing the surface activity and adsorption capacity. Moreover, they can prevent particle aggregation and precipitation, which is crucial for maintaining the performance of catalysts in humid environments. Additionally, PVA and PVP can undergo pyrolysis or oxidation at certain temperatures, providing raw materials for the reaction and consuming water vapor, thus reducing the obstruction of water vapor to the catalyst.
Based on the background of excessive CO in underground coal mines and the poor performance of existing Cu-Mn catalysts in high-humidity environments, this study is based on copper and manganese elements. By introducing Sn, Ce, and Fe elements, it aims to improve the problem of weakened ablation performance in high-humidity environments. At the same time, polyvinyl alcohol (PVA) and polyvinylpyrrolidone (PVP) are introduced to enhance ablation performance, and a metal-doped modified CO oxidation catalyst with strong adsorption and water resistance suitable for underground coal mine spaces is prepared. Using a variety of material analysis and testing technologies, a comprehensive characterization of catalysts with different metal contents and added polymers is carried out. An in-depth exploration of the mechanism of action of the surface structure and pore characteristics of catalysts in the catalytic reaction process clarifies the ablation mechanism, thus providing a solid scientific basis for the efficient absorption of CO by using this catalyst in underground coal mine spaces.

2. Results and Discussion

2.1. Optimal Selection of Doped Metals

Figure 1 shows that the Cu Mn type CO oxidation catalyst is mainly composed of Mn2O3, Mn6O12, CuO, and Cu1.5Mn1.5O4, where Mn2O3 is spontaneously decomposed from MnCO3 under humid conditions. Cu1.5Mn1.5O4 is formed by the transformation of Cu2O, CuO, and Mn3O4 during the calcination process at 400 degrees Celsius, which is similar to the isomorphic substitution process of Mn3+ and Mn4+ in Mn3O4 and Cu+ and Cu2+ in Cu2O and CuO [26]. After doping with different types of metal oxides, there was no significant change in the ablative agent. This was because the doping effect of metal oxides is relatively weak. And no characteristic diffraction peaks of the doped metal or its derivatives were observed. This is because the content of doped transition metal oxides is very low (about 20 wt%), and they are highly dispersed or embedded in the lattice of the oxide [27].
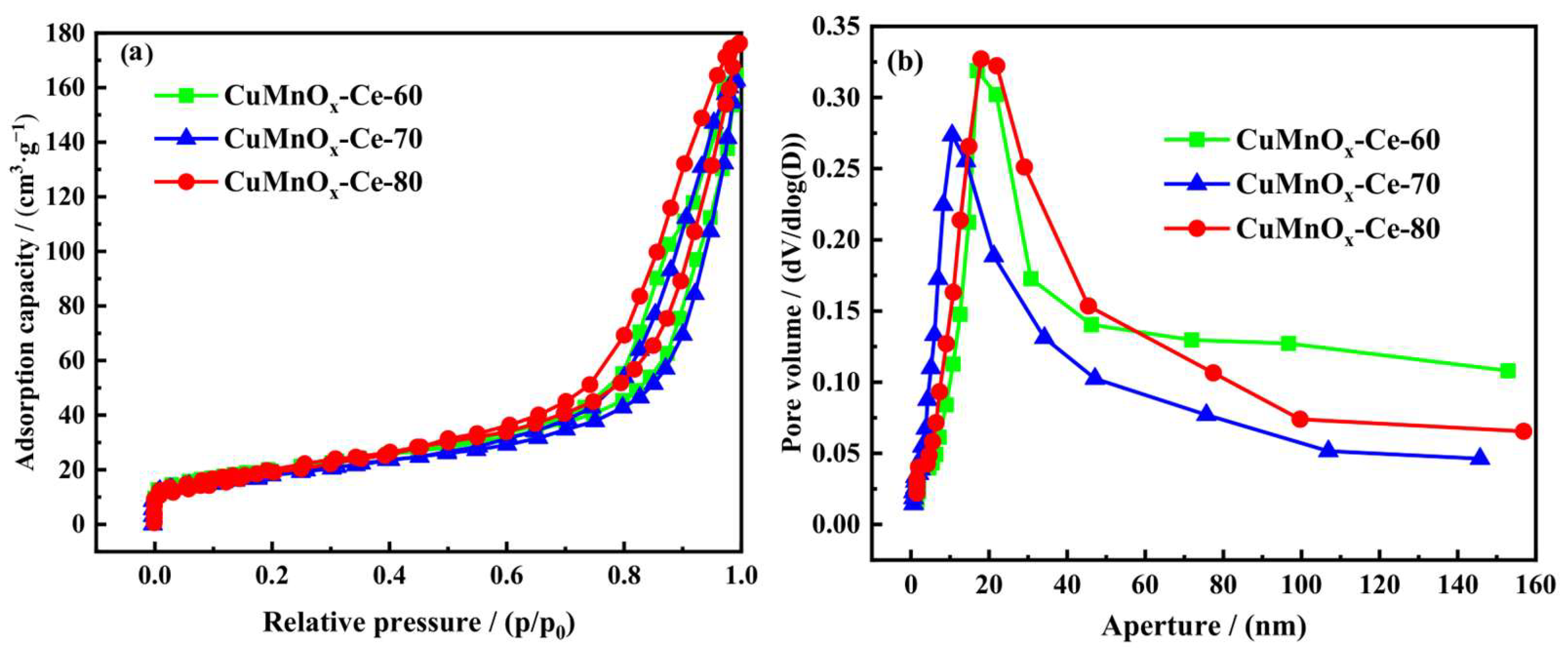
Figure 2 indicates that the three different metal-doped CO oxidation catalysts all exhibit typical H3 hysteresis loop type IV adsorption isotherms, indicating that all three samples belong to mesoporous materials [28]. There is a positive correlation between specific surface area and its ablation characteristics. However, there are numerous factors influencing the characteristics of the ablator. Figure 3 shows that the CO oxidation catalyst doped with metal Ce has the highest specific surface area and pore volume. Because the quantity of different metals loaded on the surface of the Cu-Mn ablator and the size of their molecules vary, the carrier channels are blocked to different extents.
Figure 4 shows the changes in CO volume fraction (a) and the amounts of reactants (b) over time for the catalyst synthesized by doping with metals Sn, Fe, and Ce during the reaction. The volume fraction of the metal Sn-doped catalyst rapidly decreases upon contact with CO, with strong short-term ablation characteristics. After stabilization, the volume fraction of CO tends to be 0.39%, and the amount of reactive CO substance is 0.0153 mol. The highest instantaneous volume fraction change is 85% when converting 1% CO, and the volume fraction increases after the depletion of lattice oxygen. The short-term ablation characteristics of metal Fe-doped catalysts are generally average. After stabilization, the CO volume fraction tends to 0.53%, the amount of reactant is 0.0093 mol, and the ablation volume is 1 vol.%. The instantaneous volume fraction change of CO is 90%, but it becomes inactive after 60 s and has poor comprehensive ability. The effect of a metal Ce-doped catalyst is significant, and after stabilization, the CO volume fraction tends to be 0.23%. The amount of CO substance reacted in 80 s is 0.0203 mol, and the ablation volume is 1 vol.% The instantaneous ablation rate of CO is 90–95%, and it remains efficient even after subsequent and equilibrium treatments, which is significantly better than metal Fe- and Sn-doped catalysts.
Figure 5 shows the curve of the concentration of CO gas substance over time and the ablation efficiency b of three different metal-doped synthesized CO oxidation catalysts. It can be observed that the concentration of the CO substance during the reaction of the three metal-doped catalysts decreases first until the surface lattice oxygen of the catalyst is completely consumed. The lowest point of the three catalysts is not significantly different, because all three catalysts are based on a Cu Mn catalyst, and the number of surface lattice oxygen is equivalent. Previous studies have found that doping different metal ions can affect the catalytic performance of the catalysts in CO oxidation reactions [29,30]. Similarly, in our research, different metal dopants also have an impact on the catalytic process. However, the difference between the three types of catalysts when absorbing O2 in the gas phase after reaching the lowest point reflects the different characteristics of catalysts synthesized by different metal dopings. Among them, the catalyst synthesized by metal Ce doping reaches equilibrium the fastest in absorbing O2, followed by the catalyst synthesized by metal Sn doping, and finally, the catalyst synthesized by metal Fe doping. Some studies suggest that Ce has excellent oxygen-related properties, which may explain the Ce-doped catalyst’s fast O₂ absorption [31]. Based on the ablation efficiency shown in Figure S1, the order of the ablation characteristics of the three metal-doped synthesized catalysts is as follows: CuMnOx-Ce > CuMnOx-Sn > CuMnOx-Fe.

2.2. Feature Testing and Optimization of Preparation Conditions

2.2.1. Testing of Ablation Characteristics of Catalysts at Different Precipitation Temperatures

A Cu-Mn-Ce ablator exhibiting improved ablation properties was chosen for the study of how varying precipitation temperatures impact the structure and CO oxidation performance of the copper oxide-based ablator.
Figure 6 shows the ablation characteristics of the CO ablators obtained at different precipitation temperatures, respectively. Among them, the ablator synthesized at 60 °C shows a relatively high degree of reaction, with the CO volume fraction stabilizing at 29% and the instantaneous minimum reaching around 10%. However, due to the low crystallization degree, the affected dispersion and surface area, and the reduced interaction with the carrier, the ablation characteristics are poor. The stable volume fraction consumption of the catalyst synthesized at 70 °C is 77%, and the instantaneous volume fraction consumption is 90–95%. After the reaction is stable, the CO volume fraction is lower than 60 °C and 80 °C by 2–6 percentage points. The highest amount of CO substance at the same time is 0.0203 mol, indicating the best ablation characteristics. It was selected as the preparation precipitation temperature for the subsequent experiments. The CO volume fraction of the catalyst synthesized at 80 °C is 25% after a stable reaction, and the amount of CO substance reacted at 80 s is less than 0.02 mol. Due to the high temperature, the crystal structure is destroyed, the dispersion is reduced, and the interaction with the carrier is weakened, resulting in a low ablation efficiency. Therefore, selecting the appropriate precipitation temperature is crucial for obtaining the best ablation characteristics.
Figure 7 shows the curves of the concentration of CO gas substance, (a) and the ablation efficiency over time, (b). From the graph, it can be observed that, during the reaction of the catalysts synthesized at three different precipitation temperatures, the molar concentration of CO first decreases as the surface lattice oxygen is consumed, and there is little difference in the ablation characteristics. This is because the precipitation temperature has an insignificant impact on them, and their oxygen storage capacities are basically the same. But, when absorbing gas-phase O2, the catalyst synthesized at 70 °C reaches equilibrium the fastest, followed by 80 °C, and finally 60 °C. Based on the ablation efficiency curve, the order of the ablation characteristic’s strength is CuMnOx-Ce-70 > CuMnOx-Ce-80 > CuMnOx-Ce-60. Figure S2 shows the data on the total ablation efficiency. It can be clearly observed from Figure S2 that the precipitation temperature at which the synthesized CO ablator achieves the highest total ablation efficiency is 70 °C.

2.2.2. Analysis of Surface Crystal Structure of Catalysts at Different Precipitation Temperatures

Figure 8 shows that the growth of precipitated crystal nuclei at 70 °C is significantly higher than at 60 °C and 80 °C, making it more suitable for preparing Cu Mn-type CO oxidation catalysts. This indicates that low-temperature precipitation generates crystal nuclei quickly but with small particles, while high-temperature precipitation generates crystal nuclei slowly but with large particles. It can also reduce impurities, shorten reaction time, and improve efficiency. However, due to the boiling point limitation of water, most precipitation operations do not exceed 80 °C.

2.2.3. Analysis of Pore Characteristics of Catalysts at Different Precipitation Temperatures

Figure 9a proves that their pore structures are all lamellar aggregates composed of mesopores or macropores. Figure 9b also shows that the three ablators are all mesoporous materials, and their mesoporous structures have a relatively high value. Among them, the CO ablator synthesized at 70 °C has the best performance, which may be due to the difference in the numbers and sizes of the crystal nuclei caused by different precipitation temperatures, thereby affecting the openness of the carrier channel. Figure S3 indicates that the precipitation temperature has a certain influence on the catalyst, and there is an optimal precipitation temperature of 70 °C. This may be related to the effect of precipitation temperature.

2.2.4. Analysis of the Ablation Process of Cu Mn-Type Co Oxidation Catalyst

Figure 10 indicates that the characteristic peak at 2300–2400 cm−1 in the figure represents CO2. After adsorbing CO for 30 min, stretching vibration peaks of gaseous CO adsorption appeared at 2113 cm−1 and 2173 cm−1 [31]. At this time, CO was fully adsorbed on the surface of the CO catalyst, mainly exhibiting linear adsorption [32]. Multiple carbon-containing species were detected within the range of 1000–1700 cm−1 [33]. Bicarbonate species (HCO3) were found at 1360 cm−1, 1415 cm−1, and 1458 cm−1, with the adsorption peak of CO on CeO2 at 1458 cm−1. Single-toothed carbonate species (m-CO2−) appeared at 1300–1400 cm−1. The characteristic peak at 1360 cm−1/1558 cm−1 represents the stretching vibration peaks of symmetric vs. (OCO) [34] and asymmetric ʋ as (OCO) [35] of monodentate carbonate (b-CO32−), suggesting the development of carbonates and bicarbonates on the catalyst’s surface during the reaction. The adsorption peak at 1458 cm−1 represents the stretching vibration peak of asymmetric bicarbonate (HCO3), which is formed by CO2 molecules on the Cu-OH surface [33]. The peak at 1558 cm−1 indicates CO adsorption on CeO2, while at 1619 cm−1, it is the adsorption of CO at the CuO-CeO2 interface [36]. At 3–6 min of reaction, the CO adsorption peaks at 2109 cm−1 and 2170 cm−1 gradually disappeared, indicating that CO had entered the reaction system. The adsorption peak of HCO3 around 1360 cm−1 first increases slightly and then decreases slightly, while the b-CO32− adsorption peak remains basically unchanged, in the range of 1558–1619 cm−1, indicating that a small amount of the HCO3 species is generated and decomposed [37,38]. Meanwhile, the CO32− species decomposes slowly. It indicates that the decomposition process of HCO3 into gaseous CO2 is more likely to occur at lower temperatures., while b-CO32− and m-CO32− require higher temperatures [31]. In summary, the surface CO oxidation pathway of Cu Mn-type CO oxidation catalyst is as follows. After CO adsorption, it rapidly converts into carbon-containing species, HCO3 preferentially converts into gaseous CO2, and b-CO32−, and m-CO32− then slowly decompose.
The in situ infrared spectroscopy results indicate that, in the CO ablation reaction, carbonate [9] and bicarbonate [39] species are generated on the surface of the catalyst, which reduces the ablation properties and hinders the redox reaction From the detachment situation in the figure, the ablation rate increases from 3 to 15 min, decreases from 15 to 21 min due to the inhibitory effect of intermediate product content, and continues to increase with the generation of lattice oxygen from 21 to 24 min. At 27 min, the reaction ends without the generation of intermediate products. Research has shown that ablators rich in oxygen vacancies are beneficial for adsorbing target reactants [9].
Based on the above, the CO oxidation reaction pathway is as follows (see Figure 11): (I) CO molecules linearly adsorb on metal sites. (II) Gas-phase O2 is adsorbed by metal oxide oxygen vacancies, and activated oxygen atoms migrate to the interface due to interactions. (III) The adsorbed CO is rapidly oxidized by adjacent lattice oxygen atoms, forming key intermediates (carbonates or bicarbonate salts) and finally decomposing into gaseous CO2. It proves that the catalyst CO containing CeO2 has strong ablation properties and forms CeO2 crystal nuclei on the surface. In situ infrared spectroscopy results further verify its excellent properties. In addition, it was found through in situ infrared spectroscopy that there were significant differences in the accumulation of carbon-containing intermediate products on the surface of the catalyst at different times. The maximum accumulation peak of the CO oxidation catalyst infrared spectrum was at 15 min, and the height of the adsorption peaks before and after decreased. These changes indicate that the key intermediates form bonds with the surface atoms of the catalyst in different ways, and their accumulation may hinder subsequent reactions.
To further elucidate the structural properties that contribute to the enhanced catalytic performance, complementary characterization techniques were employed. The O 1s XPS results (Figure S4) reveal that both CuMnOx and CuMnOx-Ce catalysts exhibit two characteristic peaks: lattice oxygen (OL) at 529.8 eV and surface-adsorbed oxygen (OA) at 531.3 eV, along with the surface hydroxyl groups (OH) [39,40]. The OL/OA ratio of CuMnOx-Ce (1.26) is significantly lower than that of CuMnOx (3.2), indicating that Ce incorporation substantially increases the content of surface-active oxygen species. This higher proportion of active oxygen species correlates with the enhanced oxidation performance of the Ce-modified catalyst. H2-TPR analysis (Figure S5) provides additional insights into the redox properties of the catalysts. While the main reduction peaks of CuMnOx occur between 380 and 550 °C, the CuMnOx-Ce sample exhibits reduction peaks at significantly lower temperatures (320 °C and 550 °C) with increased peak areas. These results confirm that Ce addition not only reduces the reduction temperature of Cu species but also increases the number of reducible species, thereby significantly enhancing the catalyst’s redox capacity and promoting the CO oxidation reaction.
In conclusion, the CuMnOx-Ce catalyst demonstrates superior CO oxidation performance, which is attributed to its unique structural and electronic properties. The incorporation of CeO2 enhances oxygen vacancy formation and facilitates oxygen activation and migration. The in situ FTIR spectroscopy reveals the formation and transformation of various carbon-containing intermediates during the reaction, providing molecular-level insights into the reaction mechanism. The synergistic interaction between Cu, Mn, and Ce species facilitates the redox cycle and promotes the efficient conversion of CO to CO2.

2.3. Water Resistance Optimization

2.3.1. Ablation Characteristics Test

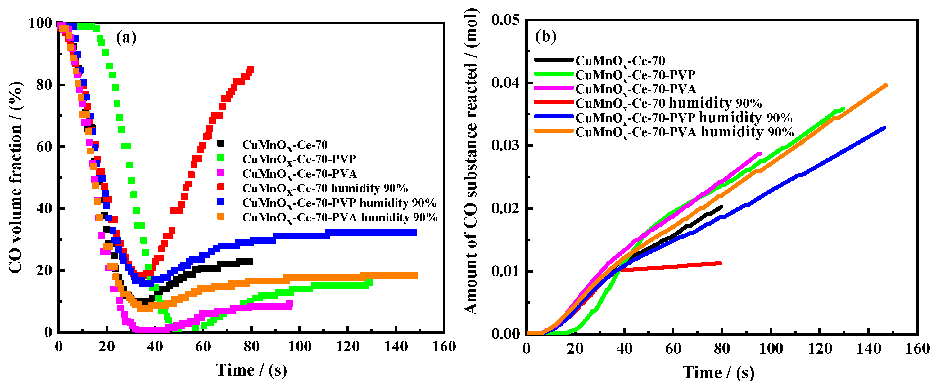
Figure 12 shows the concentration of CO species (a) and the time-dependent efficiency of the CO oxidation catalysts CuMnOx-Ce-70, CuMnOx-Ce-70-PVP, and CuMnOx-Ce-70-PVA under dry and humid conditions (b). The catalytic activity of the catalyst without polyvinyl alcohol (PVA) or polyvinylpyrrolidone (PVP) significantly declined at 90% humidity, and after 120 s, its CO adsorption capacity was nearly lost. In contrast, catalysts with PVA and PVP retained some catalytic activity, with PVA exhibiting better performance under humid conditions.
This improvement can be attributed to the unique properties of PVA and PVP as water-soluble polymers. They enhance the dispersibility and stability of CO oxidation catalysts, preventing particle aggregation and precipitation while inhibiting agglomeration. The polar functional groups in PVA and PVP can form hydrogen bonds or coordination complexes with the catalyst, increasing the surface activity and CO adsorption capacity. Additionally, at elevated temperatures, PVA and PVP can undergo pyrolysis or oxidation, providing reaction intermediates, consuming water vapor, and thereby, mitigating its inhibitory effect on the catalyst. These results indicate that the incorporation of PVA and PVP improves the water resistance of the CO oxidation catalyst.
The mechanism by which PVP and PVA enhance CO oxidation under humid conditions is primarily attributed to their interactions with the catalyst surface and reaction system. Their polar groups establish strong interactions with the catalyst surface, facilitating CO molecule adsorption. Moreover, they improve catalyst dispersibility and stability, ensuring that more active sites remain accessible for the reaction. Notably, PVA can suppress the adsorption of H2O molecules at active sites, allowing more lattice oxygen to participate in the CO oxidation reaction. This promotes reaction continuity and helps maintain the catalytic activity under humid conditions.
Figure 13 shows the temporal variation curves of ablation efficiency with the addition of PVP and PVA, as well as without the addition of the CuMnOx-Ce catalyst, under dry and humid conditions. It illustrates that the addition of PVP and PVA leads to higher ablation efficiency of the catalyst, with PVA having a particularly significant effect. It enhances the surface molecular activity of the catalyst, making the CO ablation reaction more thorough. At a relative humidity of 90%, CuMnOx-Ce catalyst without optimized water resistance loses its ability to oxidize CO within 2 min. The addition of PVP and PVA catalysts still maintains high ablation properties, but the humid environment still has a certain inhibitory effect on it. This inhibition can be seen from the ablation efficiency after reaction equilibrium.
The total ablation efficiency of the three catalysts was calculated under dry and humid conditions, and the total ablation efficiency bar chart of the catalysts is shown in Figure 14. It indicates that, under both dry and humid conditions, the Ce catalyst with PVA added has the highest overall ablation efficiency.

2.3.2. Analysis of Surface Crystal Structure

The XRD analysis of the surface crystal structure of the CO oxidation catalyst synthesized by adding PVA and PVP is shown in Figure 15. Among these compounds, CeO2 has the greatest impact on water resistance due to its highly symmetrical cubic structure and abundant surface oxygen vacancies. It has efficient ablation properties and is not easily affected by moisture. CuO and Mn2O3 have a low degree of symmetry in their monoclinic structure and fewer surface oxygen vacancies, which have little effect on water resistance, low ablation properties, and are easily affected by moisture. PVA and PVP can promote the lattice growth of CeO2, which plays an important role in its good water resistance.

2.3.3. Analysis of Pore Characteristics

Figure 16 shows that the pore structure of the catalyst is primarily mesoporous or macroporous, forming a hierarchical porous framework with a high specific surface area and pore volume. As organic polymer materials, PVA and PVP can serve as structure-directing agents or gel templates during synthesis, controlling the morphology and structure of the catalyst [41,42,43].
In addition to the N2 adsorption/desorption results, which suggest a mesoporous or macroporous structure, the morphological characteristics of the catalyst were further investigated using SEM and TEM. These images provide detailed insights into the surface and internal structure, which are closely related to the catalytic performance under various conditions.
Figure 17 shows the SEM and TEM images of the CO oxidation catalyst synthesized with the addition of PVA and PVP. The SEM images Figure 17a–c show that the surface of the material is smoother with significantly reduced particle aggregation after the addition of PVA and PVP. The TEM images in Figure 17d–f show that the catalyst grain size is reduced and more uniformly distributed, indicating that these polymers effectively inhibit grain growth and improve dispersion. These morphological changes are consistent with the improved dispersibility and stability of the catalyst, which is beneficial for maintaining catalytic performance under humid conditions.
According to the BET equation calculations, the specific surface areas of the modified catalysts were 119.32 m2/g and 94.91 m2/g, respectively, which are significantly higher than those of the unmodified catalyst. A higher specific surface area provides more active sites for CO oxidation, contributing to improved catalytic efficiency. In addition to enhancing porosity, PVA and PVP also function as structure-directing agents or synergists, regulating the electronic structure and acid-base properties of the catalyst, thereby improving its activity and selectivity. These results demonstrate that PVA and PVP are effective modifiers for enhancing CO oxidation catalysts.

2.3.4. Hydrophobicity Analysis of Catalysts

The size of the surface water contact angle to some extent reflects the hydrophobicity of the substance. The contact angles of the catalysts CuMnOx-Ce-70, CuMnOx-Ce-70-PVP, and CuMnOx-Ce-70-PVA were measured. According to Table 2, the water contact angle of the water-resistant CO oxidation catalyst synthesized by adding polyvinyl alcohol (PVA) and polyvinylpyrrolidone (PVP) is significantly improved, indicating hydrophobicity, which to some extent enhances the ablation characteristics of the catalyst, thus exhibiting better water resistance.

2.4. Evaluation of Water-Resistant Steam Ablation Process of Cu Mn-Type Co Oxidation Catalyst

Figure 18 shows that, after the reaction between CO+90 vol.% Ar and water vapor, intermediate product vibration peaks ranging from 1000–1800 cm−1 and CO adsorption peaks ranging from 2000–2200 cm−1 were rapidly detected. CO molecules were adsorbed at 2120 cm−1 and 2175 cm−1, while generated CO2 was observed at 2340 cm−1 and 2363 cm−1. Characteristic peaks related to monodentate and bidentate carbonates, bicarbonates, carbon–hydrogen bonds, and carbon–oxygen single bonds were also observed. In the mixed oxidation reaction of CO and water vapor, CO and H2O compete for adsorption at the same active site. Although the reaction pathway remains unchanged, the reaction rate of CO decreases. Compared to dry conditions, water vapor weakens the peak of intermediate products on the surface of the catalyst, indicating that the CO active sites are occupied by H2O. In the initial stage of the reaction, water vapor provides an oxygen source for the catalyst, resulting in a higher rate of CO2 generation than during drying. However, water vapor also makes it difficult for surface carbonate species to decompose, resulting in a short duration of the ablation properties of the catalyst.
Figure 19 shows CuMnOx Ce PVA catalyst at a 10 vol.% and in situ infrared spectrum of CO ablation under the influence of CO+water vapor. After the reaction between the CO and water vapor, intermediate product vibration peaks of 1300–1800 cm−1 and CO adsorption peaks of 2000–2200 cm−1 quickly appear. CO molecules linearly adsorb at 2130 cm−1 and 2180 cm−1, while CO2 is generated at 2330 cm−1 and 2360 cm−1. Characteristic peaks related to monodentate and bidentate carbonates, bicarbonates, carbon–hydrogen bonds, and carbon–oxygen single bonds are also observed.
Compared with the CuMnOx-Ce catalyst, the CuMnOx-Ce-PVA catalyst exhibits enhanced vibration peaks of the intermediate products at 1300–1800 cm−1 under the influence of water vapor, while the stretching vibration peaks of carbon hydrogen and partially carbon–oxygen are weakened. Based on the ablation characteristic test, the addition of a PVA catalyst can maintain the ablation characteristics under the influence of water vapor because PVA can inhibit the adsorption of H2O at the active site, allowing for an efficient oxidation of CO. The presence of water vapor does not alter the reaction pathway of CO compared to a dry environment. A minimal amount of water vapor, serving as an oxygen source, can improve the ablation properties and facilitate the reaction process. Meanwhile, excessive water vapor can inhibit the reaction. The surface carbonate is difficult to degrade, and the active sites are occupied by water molecules, resulting in a decrease in the ablation characteristics.

3. Experimental

3.1. Experimental Materials

The experimental materials and instruments used in the experiment are shown in Table 3 and Table 4.

3.2. Sample Preparation

As shown in Figure 20, the preparation of a CO oxidation catalyst used the co-precipitation method. The process includes precipitation, drying, and calcination. Using metal salt solutions such as copper nitrate, manganese nitrate, cerium nitrate, or tin tetrachloride as precursors, with a copper manganese ratio of 1:2 and a doped metal mass fraction of 20 wt.%, prepare solution A and prepare solution B with sodium carbonate. At a certain temperature, add solution A dropwise to solution B, monitor with a pH agent, and add dilute nitric acid or Na2CO3 solution to make pH ≈ 8.3. Maintain the condition continuously for more than 4 h to form a precipitate. After filtration, wash with deionized water until there is no Cl, and the total dissolved solids are below 20 ppm. Vacuum dry the precipitate for more than 8 h. Then, heat up to 450 °C. Obtain the CO oxidation catalyst after 2 h of insulation. Grind it into fine powder and seal it in a centrifuge tube for later use. The catalysts doped with different metals are named CuMnOx-Sn, CuMnOx-Ce, and CuMnOx-Fe.

3.3. Characterization of Samples

The phase composition was determined with an X-ray diffractometer (Cu target) produced by PANalytical B.V. (Almelo, The Netherlands). The pore characteristics of the catalyst sample were determined by the Micromeritics ASAP2020PLUS specific surface area and porosity analyzer from the Norcross, GA, USA. Real-time monitoring of the changes in surface functional groups of water-resistant Cu Mn CO oxidation catalysts over time used the American Thermo Fisher Nicolet IS50 in-situ diffuse reflectance infrared spectrometer (Waltham, MA, USA). The contact angle of the synthetic material is provided by the JY-PHa contact angle tester from Fuyang Feile Technology Co., Ltd. (Fuyang, China). The CO ablation efficiency was measured using the CO ablation characteristic test flow meter from Beijing Qixing Huachuang Electronics Co., Ltd. (Beijing, China).

3.4. Performance Evaluation Methods

Figure 21 is a schematic diagram of the ablation agent CO catalytic oxidation activity evaluation device system in this work.
The aim of this study was to evaluate the catalytic activity of different catalysts in CO oxidation reactions in coal mine shafts. The gas mixture used in the experiments consisted of CO, O2, and N2, with the gas volume ratio of CO:O2:N2 = 1:20:79. The concentration of oxygen was much higher than that of CO, which ensured that there was sufficient oxygen for the process, and thus, the degree of CO oxidation was mainly affected by the performance of the catalysts. The reaction was carried out in a fixed-bed reactor, which was placed in a constant-temperature water bath, and the reaction temperature was set at 30 °C to 40 °C to simulate the temperature environment of a coal mine.
(1)
Experimental setup and gas flow path
The sketch of the experimental setup is shown in Figure 1, and the gas flow path is as follows:
Gas cylinder: a gas mixture of CO, O2, and N2 was supplied with an excess of oxygen concentration to ensure sufficient oxygen;
Flowmeter: used to accurately regulate the gas flow rate to ensure that the gas flow rate in the reactor meets the experimental requirements;
Gas line: the gas flows to the reactor through the gas line;
Vacuum pump: adjust the gas flow according to the need to ensure that the system gas pressure is stable;
Reaction kettle: the reaction kettle is placed in a constant temperature water bath to ensure that the reaction temperature is stabilized in the range of 30 °C to 40 °C, simulating the temperature environment in a coal mine shaft. The extent of the reaction is influenced by the performance of the catalyst;
Gas-washing bottle: removes water and impurities from the gas to ensure the purity of the analyzed gas;
Condensation device: the reaction product gas is cooled to 5 ± 1 °C to remove moisture from the gas;
Gas analyzer: used to determine the concentration of CO2 and CO in the condensed gas to assess the progress of the catalytic reaction and catalyst performance;
Exhaust gas: the condensed and analyzed gas is discharged into the atmosphere through an exhaust port.
(2)
Experimental Procedure
Gas flow control: at the beginning of the experiment, a gas mixture of CO, O2, and N2 was supplied from a gas storage tank, the flow rate of which was regulated by a flow meter, and it flowed into the reactor through a gas line. The gas flow and ratio are strictly controlled throughout the experiment to ensure stable reaction conditions;
Reaction: the reaction was carried out in a fixed-bed reactor in a constant-temperature water bath. The reaction temperature was maintained in the range of 30 °C to 40 °C to simulate the temperature environment of a coal mine, and CO and O2 were oxidized on the surface of the catalyst with an excess of oxygen to ensure that the extent of CO oxidation was mainly influenced by the performance of the catalyst;
Gas treatment and analysis: the reaction products are first passed through a gas-washing cylinder to remove water and impurities and then into a condensing unit where the remaining water in the gas is removed after cooling to 5 ± 1 °C. The gas is then fed into the gas feeder. The treated gas is then fed into a gas analyzer, which measures the concentration of CO2 and CO to assess the progress of the catalytic reaction and the activity of the catalyst;
Exhaust gas discharge: the analyzed gas is discharged to the atmosphere through the exhaust gas vent to ensure safety and environmental protection during the experiment.
(3)
Reaction mechanism and reaction conditions
The focus of this experiment is to study the stoichiometry of the CO oxidation reaction. Since the oxygen concentration is obviously excessive, the oxidation degree of the reaction is determined by the activity of the catalyst rather than the limitation of oxygen. By measuring the change in concentration of CO and CO2, it is possible to assess whether the reaction is fully underway or whether it stops when the surface oxygen is depleted.
Throughout the experiment, the reaction was carried out in a flowing atmosphere, ensuring a continuous flow of gas through the reactor and full contact with the catalyst, thus optimizing the reaction efficiency. Reaction data (e.g., conversion, product selectivity, etc.) can be monitored in real time by a gas analyzer, providing fundamental data for further investigation of catalyst performance.

4. Conclusions

1. For the preparation of metal-doped modified CO ablatives for coal bed methane by co-precipitation method, compare the performance of Sn, Fe2−, and Ce doped CO ablators, and the Ce-doped ablator showed the best performance in terms of specific surface area, pore volume, ablation efficiency, and stability. Its larger specific surface area and pore volume provide more active sites for the reaction, and after stabilization, the CO volume fraction can be as low as 0.23%. The amount of reacted CO substance in 80 s is 0.0203 mol, and the ablation volume is 1 vol.%. The instantaneous ablation rate reaches 90–95%, and the subsequent reaction is still efficient;
2. It was found that the precipitation temperature had a significant effect on the ablative properties, and 70 °C was the optimum precipitation temperature for the synthesis of Ce-doped CO ablatives. At this temperature, the nucleation growth, crystal structure, dispersion, specific surface area, and interaction with the carrier of the ablative reached an ideal state, with a stable volume fraction consumption of 77%, an instantaneous volume fraction consumption of 90–95%, and the largest amount of CO substance involved in the reaction at the same time;
3. A water-resistant CO oxidation catalyst was synthesized by adding polyvinyl alcohol (PVA) and polyvinylpyrrolidone (PVP), which still had a CO adsorption rate of about 85% after storage at a relative humidity of 90%. The water-resistant CO oxidation catalyst prepared with polyvinyl alcohol (PVA) as an additive had a higher content of CeO2 crystal nuclei, and the PVA-added CO oxidation catalyst had the best ablation characteristics;
4. In the evaluation of the water-resistant steam ablation process, the CuMnOx-Ce-PVA catalyst showed a significant increase in intermediate products during the stress process under water vapor conditions and a decrease in the peak value of the catalyst’s binding to water, resulting in good ablation characteristics of the catalyst. Through in situ infrared spectroscopy analysis, it was found that the reason for the water resistance of the catalyst with added PVA is that the addition of PVA can inhibit the binding of H2O molecules to active sites during the reaction process, allowing more lattice oxygen to bind to the intermediate products of the oxidation reaction and promote the continuance of the reaction.

Supplementary Materials

The following supporting information can be downloaded at https://www.mdpi.com/article/10.3390/catal15040299/s1: Figure S1. Total ablation efficiency of three metal-doped synthesized CO oxidation catalyst; Figure S2. The total ablation efficiency of CO oxidation catalyst synthesized by doping metal Ce at different precipitation temperatures; Figure S3. Pore characteristics of CuMnOx-Ce catalyst synthesized at different precipitation temperatures; Figure S4. O 1s XPS spectra of CuMnOx-Ce catalysts; Figure S5. H2-TPR profiles of CuMnOx-Ce catalysts.

Author Contributions

Y.F. Investigation, Conceptualization, Writing-original draft. P.G., Formal analysis, Writing—review and editing. J.L., Formal analysis, Writing—review and editing. All authors have read and agreed to the published version of the manuscript.

Funding

This research received no external funding.

Data Availability Statement

The original contributions presented in this study are included in the article material. Further inquiries can be directed to the corresponding author.

Conflicts of Interest

Author Yanyang Fan was employed by the company Guizhou Anhe Mining Technology Engineering Co., Ltd. The remaining authors declare that the research was conducted in the absence of any commercial or financial relationships that could be construed as a potential conflict of interest.

References

  1. Li, R.; Liu, X.; Huang, Z.; Cao, M.; Zhang, M.; Zhang, Y.; Jia, K. Analysis of the explosion risk of low-concentration oxygen-bearing coal bed methane in the low-temperature environment. Case Stud. Therm. Eng. 2024, 59, 104468. [Google Scholar] [CrossRef]
  2. Cheng, X.; Song, J.; Wen, H.; Fan, S.; Liu, M.; Mi, W.; Yu, Z.; Liu, Y.; Li, R. Mitigation of coal spontaneous combustion and en-hanced coalbed methane recovery using liquid CO2: Mechanisms, field applications, and implications for mines. J. CO2 Util. 2024, 90, 102987. [Google Scholar] [CrossRef]
  3. Li, X.; Si, X.; Li, X.; Zhang, S.; Yang, T.; Hu, L.; Nie, B.; Li, Z. Methane release and energy evolution in coal and its impli-cation for gas outburst. Phys. Fluids 2025, 37, 022001. [Google Scholar] [CrossRef]
  4. Sidorenko, S.; Trushnikov, V.; Sidorenko, A. Methane Emission Estimation Tools as a Basis for Sustainable Underground Mining of Gas-Bearing Coal Seams. Sustainability 2024, 16, 3457. [Google Scholar] [CrossRef]
  5. Wang, Z.; Liu, S.; Qin, Y. Coal wettability in coalbed methane production: A critical review. Fuel 2021, 303, 121277. [Google Scholar] [CrossRef]
  6. Zhang, N.; Pan, Z.; Zhang, Z.; Zhang, W.; Zhang, L.; Baena-Moreno, F.M.; Lichtfouse, E. CO2 capture from coalbed methane using membranes: A review. Environ. Chem. Lett. 2020, 18, 79–96. [Google Scholar] [CrossRef]
  7. Hu, G.; Xu, J.; Zhang, F.; Zhao, C.; Qin, W.; Zhu, Y. Coal and coalbed methane co-extraction technology based on the ground movement in the Yangquan coalfield, China. Energies 2015, 8, 6881–6897. [Google Scholar] [CrossRef]
  8. Duan, J.; Mao, S.; Xie, P.; Lang, J.; Li, A.; Tong, J.; Qin, M.; Xu, J.; Shen, Z. Key emergency response technologies for abrupt air pollution accidents in China. J. Environ. Sci. 2023, 123, 235–254. [Google Scholar] [CrossRef]
  9. Zhang, J.; Shu, M.; Niu, Y.; Yi, L.; Yi, H.; Zhou, Y.; Zhao, S.; Tang, X.; Gao, F. Advances in CO catalytic oxidation on typical noble metal catalysts: Mechanism, performance and optimization. Chem. Eng. J. 2024, 495, 153523. [Google Scholar] [CrossRef]
  10. Camposeco, R.; Castillo, S.; Zanella, R. Catalytic oxidation of propane and carbon monoxide by Pd nanoparticles on Mn/TiO2 catalysts. Catal. Lett. 2024, 154, 155–169. [Google Scholar] [CrossRef]
  11. Fang, Y.; Yang, J.; Pan, C. The Surface/Interface Modulation of Platinum Group Metal (PGM)-Free Catalysts for VOCs and CO Catalytic Oxidation. ACS Appl. Mater. Interfaces 2024, 16, 37379–37389. [Google Scholar] [CrossRef] [PubMed]
  12. Nyathi, T.M.; Fadlalla, M.I.; Claeys, M. In situ and Operando Characterisation in the Preferential Oxidation of Carbon Monoxide over Base Metal Oxide Catalysts: A Review. ChemCatChem 2024, 16, e202400285. [Google Scholar] [CrossRef]
  13. Mancilla, A.; Mendoza-Cruz, R.; Portales, B.; Zanella, R. Catalytic oxidation of carbon monoxide at low temperature using AuRh/TiO2 bimetallic catalysts: Effect of the synthesis method. Mater. Today Chem. 2024, 38, 102092. [Google Scholar] [CrossRef]
  14. Beg, M.B.; Ali, L.; Shittu, T.; Khaleel, A.; Vermeire, F.H.; Altarawneh, M. Non-Noble Catalysts Formulations using CuO-CeO2/Nb2O5 for Low-temperature catalytic Oxidation of Carbon Monoxide. J. Environ. Chem. Eng. 2024, 12, 113177. [Google Scholar] [CrossRef]
  15. Li, X.; Liu, X.; Tang, H.; Zou, Y.; Cen, W.; Zhu, T. Simultaneously accomplishing selective catalytic reduction of NO and catalytic oxidation of CO in a catalyst coupling system. Fuel 2024, 360, 130616. [Google Scholar] [CrossRef]
  16. Zhao, X.; Zhou, X.; Xia, Y.; Xu, Z.; Song, M.; Wang, Z.; Guo, Q.; Jiang, Z. Realizing the high loading amount of active Cu on Al2O3 to boost its CO catalytic oxidation. J. Colloid Interface Sci. 2024, 673, 669–678. [Google Scholar] [CrossRef]
  17. Carabineiro, S.A.C. Catalytic Oxidation of Hydrocarbons. Catalysts 2024, 14, 111. [Google Scholar] [CrossRef]
  18. He, Z.; Hou, Y.; Wei, J.; Ren, S.; Wu, W. Efficient catalytic oxidation of biomass to formic acid coupled with low-energy formaldehyde production from methanol. Green Chem. 2024, 26, 2170–2182. [Google Scholar] [CrossRef]
  19. Wang, Y.; Wu, K.; Xu, Y.; Zheng, Y.; Huang, F. Effect of silica on generation and stability of Cu+ cations in CuO/CeO2 catalysts for CO oxidation in H2-rich atmosphere. Int. J. Hydrogen Energy 2024, 53, 1065–1075. [Google Scholar] [CrossRef]
  20. Zeng, Y.; Rong, W.; Zhang, S.; Zhong, Q.; Zhong, Z. Ti species regulated CuO/CeO2 catalyst for efficient simultaneously NH3-SCR denitration and CO oxidation under oxygen-rich conditions. Fuel 2024, 358, 130277. [Google Scholar] [CrossRef]
  21. Liu, F.; Chen, X.; Jie, W.; Liu, Y.; Li, C.; Song, G.; Gong, X.; Liu, Q.; Qiu, M.; Kawi, S.; et al. MOF-derived high oxygen vacancies CuO/CeO2 catalysts for low-temperature CO preferential oxidation. J. Colloid Interface Sci. 2024, 674, 778–790. [Google Scholar] [CrossRef] [PubMed]
  22. Zhang, Y.; Zhao, F.; Yang, H.; Yin, S.; Wu, C.E.; Zhou, T.; Xu, J.; Xu, L.; Chen, M. Constructing Efficient CuO-Based CO Oxi-dation Catalysts with Large Specific Surface Area Mesoporous CeO2 Nanosphere Support. Nanomaterials 2024, 14, 485. [Google Scholar] [CrossRef] [PubMed]
  23. Zhao, S.; Lin, J.; Gong, W.; Xu, A.; Li, X.; Qiu, Y. Modulating electronic Metal–Support interactions of Pt-CuO/CeO2 catalyst via quenching to optimize catalytic activity. Sep. Purif. Technol. 2023, 332, 125864. [Google Scholar] [CrossRef]
  24. Ma, Q.; Du, L.; Yang, Y.; Wang, L. Rheology of film-forming solutions and physical properties of tara gum film reinforced with polyvinyl alcohol (PVA). Food Hydrocoll. 2014, 63, 677–684. [Google Scholar] [CrossRef]
  25. Soud, S.A.; Hasoon, B.A.; Abdulwahab, A.I.; Hussein, N.N.; Maeh, R.K. Synthesis and characterization of plant extracts loaded PVA/PVP blend films and evaluate their biological activities. EurAsian J. BioSci. 2020, 14, 2921–2931. [Google Scholar]
  26. Jin, W.; Liu, Y.; Xue, H.; Yu, J.; Mao, D. CO Oxidation over Cu/Ce Binary Oxide Prepared via the Solvothermal Method: Effects of Cerium Precursors on Properties and Catalytic Behavior. Catalysts 2024, 14, 856. [Google Scholar] [CrossRef]
  27. de Freitas Silva, T.; Assaf, J.M.; Lucrédio, A.F.; Reis, C.G.M.; Almeida, K.A. Influence of La2O3 Addition on CuO/CeO2 Catalysts for the Water-Gas Shift Reaction. Langmuir 2025, 41, 3108–3120. [Google Scholar] [CrossRef]
  28. Yu, J.; Yang, Y.; Zhang, M.; Song, B.; Han, Y.; Wang, S.; Ren, Z.; Wang, L.; Yin, P.; Wei, M. Highly Active MnCoO x Catalyst toward CO Preferential Oxidation. ACS Catal. 2024, 14, 1281–1291. [Google Scholar] [CrossRef]
  29. Zhou, X.; Ling, J.; Sun, W.; Shen, Z. Fabrication of homogeneously Cu2+/La3+-doped CeO2 nanosheets and their application in CO oxidation. J. Mater. Chem. A 2017, 5, 9717–9722. [Google Scholar] [CrossRef]
  30. Sodpiban, O.; Kessaratikoon, T.; Smith, J.; Ren, G.; Del Gobbo, S.; Das, S.; Chi, M.; D’elia, V.; Gates, B.C. Catalysts Prepared from Atomically Dispersed Ce(III) on MgO Rival Bulk Ceria for CO Oxidation. ACS Appl. Mater. Interfaces 2023, 15, 55885–55894. [Google Scholar] [CrossRef]
  31. Yang, L.; Li, J.; Liu, B. Recent Advances of Monolithic Metal Mesh-Based Catalysts for CO Oxidation. ChemCatChem 2024, 16, e202401122. [Google Scholar] [CrossRef]
  32. Zhigalina, O.M.; Morozova, O.S.; Khmelenin, D.N.; Firsova, A.A.; Silchenkova, O.V.; Vorobieva, G.A.; Bukhtiyarov, A.V.; Cherkovskiy, E.N.; Basu, V.G. Effect of Copper Particle Size on the Surface Structure and Catalytic Activity of Cu–CeO2 Nanocomposites Prepared by Mechanochemical Synthesis in the Preferential CO Oxidation in a H2-Rich Stream (CO-PROX). Catalysts 2024, 14, 222. [Google Scholar] [CrossRef]
  33. Bai, Z.; Jiang, X.Z.; Luo, K.H. Effects of Electric Field on Chemical Looping Combustion: A DFT Study of CO Oxidation on CuO (111) Surface. ACS Omega 2024, 9, 21082–21088. [Google Scholar] [CrossRef] [PubMed]
  34. Li, J.; Liu, Z.; Liu, K.; Shen, X.; Chen, X.; Fang, Y.; Zhang, Y.; Yang, X. Steam activation significantly promotes the CO oxidation performance of Pt/CeZrO2 catalyst: Enhancement effect and mechanism. Mol. Catal. 2024, 555, 113916. [Google Scholar] [CrossRef]
  35. Gong, S.; Zhu, G.; Xie, X.; Rao, F.; Zhu, L.; An, Y.; Shi, X.; Huang, Y.; Liu, P.; Hojamberdiev, M. Engineering the CuO/MnO2 interface with multivalent conversion for low-temperature and efficient CO oxidation. Appl. Surf. Sci. 2024, 652, 159326. [Google Scholar] [CrossRef]
  36. Mane, R.; Kim, H.; Han, K.; Kim, H.; Lee, S.S.; Roh, H.-S.; Lee, C.; Jeon, Y. Important factors of the A-site deficient Mn perovskites design affecting the CO oxidation activity. Catal. Today 2024, 425, 114347. [Google Scholar] [CrossRef]
  37. Ahasan, M.R.; Wang, R. CeO2 nanorods supported CuOx-RuOx bimetallic catalysts for low temperature CO oxidation. J. Colloid Interface Sci. 2024, 654, 1378–1392. [Google Scholar] [CrossRef]
  38. Fan, J.; Hu, S.; Li, C.; Wang, Y.; Chen, G. Effect of loading method on catalytic performance of Pt/CeO2 system for CO oxidation. Mol. Catal. 2024, 558, 114013. [Google Scholar] [CrossRef]
  39. Poolwong, J.; Del Gobbo, S.; D’Elia, V. Transesterification of dimethyl carbonate with glycerol by perovskite-based mixed metal oxide nanoparticles for the atom-efficient production of glycerol carbonate. J. Ind. Eng. Chem. 2021, 104, 43–60. [Google Scholar] [CrossRef]
  40. Dupin, J.-C.; Gonbeau, D.; Vinatier, P.; Levasseur, A. Systematic XPS studies of metal oxides, hydroxides and peroxides. Phys. Chem. Chem. Phys. 2000, 2, 1319–1324. [Google Scholar] [CrossRef]
  41. Jia, B.; Liu, J.; Kang, J.; Zhang, G.; Lv, D.; Wang, Y. Investigating NH3-SCR coupled with CO oxidation reaction mechanisms on titanium nanotube-loaded CuMnFe composite metal catalysts. Appl. Surf. Sci. 2024, 652, 159299. [Google Scholar] [CrossRef]
  42. Ren, Y.; Song, C.; Wang, H.; Qu, Z. Accelerated Dual Activation of Lattice Oxygen and Molecule Oxygen over CoMn2O4 Catalysts for VOC Oxidation: Promoting the Role of Oxygen Vacancies. ACS Catal. 2024, 14, 4340–4351. [Google Scholar] [CrossRef]
  43. Xiao, Y.; Zhang, J.; Liu, T.; Xu, M.; Dong, Y.; Wang, C.-A. Constructing morphologically stable supported noble metal catalysts in heterogeneous catalysis: Mechanisms and strategies. Nano Energy 2024, 129, 109975. [Google Scholar] [CrossRef]
Figure 1. XRD patterns of CO oxidation catalysts synthesized by doping three types of metal oxides.
Figure 1. XRD patterns of CO oxidation catalysts synthesized by doping three types of metal oxides.
Catalysts 15 00299 g001
Figure 2. N2 adsorption/desorption isotherms (a) and pore size distribution maps (b) of CuMnOx-Sn, CuMnOx-Ce, and CuMnOx-Fe catalysts.
Figure 2. N2 adsorption/desorption isotherms (a) and pore size distribution maps (b) of CuMnOx-Sn, CuMnOx-Ce, and CuMnOx-Fe catalysts.
Catalysts 15 00299 g002
Figure 3. Pore characteristics of CuMnOx-Sn, CuMnOx-Ce, and CuMnOx-Fe catalysts.
Figure 3. Pore characteristics of CuMnOx-Sn, CuMnOx-Ce, and CuMnOx-Fe catalysts.
Catalysts 15 00299 g003
Figure 4. Time-dependent curves of CO volume fraction (a) and substance content during the ablation process (b) of CuMnOx-Sn, CuMnOx-Fe, and CuMnOx-Ce catalysts.
Figure 4. Time-dependent curves of CO volume fraction (a) and substance content during the ablation process (b) of CuMnOx-Sn, CuMnOx-Fe, and CuMnOx-Ce catalysts.
Catalysts 15 00299 g004
Figure 5. Three types of metal-doped synthesized CO oxidation catalysts for ablation testing: concentration of CO substance ablation efficiency (a) and time-dependent curve (b).
Figure 5. Three types of metal-doped synthesized CO oxidation catalysts for ablation testing: concentration of CO substance ablation efficiency (a) and time-dependent curve (b).
Catalysts 15 00299 g005
Figure 6. The curves of CO volume fraction (a) and substance amount (b) over time during ablation of catalysts synthesized at different precipitation temperatures.
Figure 6. The curves of CO volume fraction (a) and substance amount (b) over time during ablation of catalysts synthesized at different precipitation temperatures.
Catalysts 15 00299 g006
Figure 7. Synthesis of CO oxidation catalyst at different precipitation temperatures for testing the concentration of CO substance (a) and the curve of agent ablation efficiency over time (b).
Figure 7. Synthesis of CO oxidation catalyst at different precipitation temperatures for testing the concentration of CO substance (a) and the curve of agent ablation efficiency over time (b).
Catalysts 15 00299 g007
Figure 8. XRD patterns of CuMnOx-Ce catalysts synthesized at different temperatures.
Figure 8. XRD patterns of CuMnOx-Ce catalysts synthesized at different temperatures.
Catalysts 15 00299 g008
Figure 9. N2 adsorption/desorption isotherms (a) and pore size distribution maps (b) of CuMnOx-Ce catalysts synthesized at different precipitation temperatures.
Figure 9. N2 adsorption/desorption isotherms (a) and pore size distribution maps (b) of CuMnOx-Ce catalysts synthesized at different precipitation temperatures.
Catalysts 15 00299 g009
Figure 10. FT-IR of the oxidation catalyst after CO adsorption at 25 °C.
Figure 10. FT-IR of the oxidation catalyst after CO adsorption at 25 °C.
Catalysts 15 00299 g010
Figure 11. Schematic diagram of CeO2 ablation of CO oxidation process on the surface of CO oxidation catalyst.
Figure 11. Schematic diagram of CeO2 ablation of CO oxidation process on the surface of CO oxidation catalyst.
Catalysts 15 00299 g011
Figure 12. CO water-resistant ablation test under dry and humid conditions curves of CO substance concentration (a) and catalyst efficiency over time (b).
Figure 12. CO water-resistant ablation test under dry and humid conditions curves of CO substance concentration (a) and catalyst efficiency over time (b).
Catalysts 15 00299 g012
Figure 13. CO water-resistant ablation efficiency curve under dry and humid conditions.
Figure 13. CO water-resistant ablation efficiency curve under dry and humid conditions.
Catalysts 15 00299 g013
Figure 14. Total ablation efficiency of CO water-resistant catalyst under dry and humid conditions.
Figure 14. Total ablation efficiency of CO water-resistant catalyst under dry and humid conditions.
Catalysts 15 00299 g014
Figure 15. XRD patterns of CO oxidation catalysts synthesized from PVA and PVP.
Figure 15. XRD patterns of CO oxidation catalysts synthesized from PVA and PVP.
Catalysts 15 00299 g015
Figure 16. N2 adsorption/desorption isotherms (a) and pore size distribution map (b) of CO oxidation catalyst synthesized with the assistance of polyvinyl alcohol (PVA) and polyvinylpyrrolidone (PVP).
Figure 16. N2 adsorption/desorption isotherms (a) and pore size distribution map (b) of CO oxidation catalyst synthesized with the assistance of polyvinyl alcohol (PVA) and polyvinylpyrrolidone (PVP).
Catalysts 15 00299 g016
Figure 17. SEM and TEM images. (a) SEM of CuMnOx-Ce-70, (b) SEM of CuMnOx-Ce-70-PVA, (c) SEM of CuMnOx-Ce-70-PVP, (d) TEM of CuMnOx-Ce-70, (e) TEM of CuMnOx-Ce-70-PVA, (f) TEM of CuMnOx-Ce-70-PVP.
Figure 17. SEM and TEM images. (a) SEM of CuMnOx-Ce-70, (b) SEM of CuMnOx-Ce-70-PVA, (c) SEM of CuMnOx-Ce-70-PVP, (d) TEM of CuMnOx-Ce-70, (e) TEM of CuMnOx-Ce-70-PVA, (f) TEM of CuMnOx-Ce-70-PVP.
Catalysts 15 00299 g017
Figure 18. In situ FTIR spectra of CuMnOx-Ce catalyst with 10 vol.%CO+steam feed.
Figure 18. In situ FTIR spectra of CuMnOx-Ce catalyst with 10 vol.%CO+steam feed.
Catalysts 15 00299 g018
Figure 19. FT-IR of CuMnOx-Ce-PVA catalyst 10 vol.%+water vapor reactions.
Figure 19. FT-IR of CuMnOx-Ce-PVA catalyst 10 vol.%+water vapor reactions.
Catalysts 15 00299 g019
Figure 20. Schematic diagram of the sample preparation process.
Figure 20. Schematic diagram of the sample preparation process.
Catalysts 15 00299 g020
Figure 21. Schematic diagram of ablation characteristic testing experimental system.
Figure 21. Schematic diagram of ablation characteristic testing experimental system.
Catalysts 15 00299 g021
Table 1. Comparison of different CO elimination methods.
Table 1. Comparison of different CO elimination methods.
CO Elimination MethodsAdvantageDrawbacks
CoSorb methodSuitable for low concentrations of CO; high selectivity.Complex equipment, high cost; adsorbent is easily saturated and needs to be regenerated.
pressure swing adsorption methodRecyclable, adjustable operating pressure.High energy consumption; limited adsorbent lifetime.
catalytic oxidation methodHighly efficient CO removal at low temperatures; fast reaction rates.Catalysts are susceptible to humidity and sulfur toxicity; preparation process needs to be optimized.
porous media adsorption methodSimple equipment, wide range of applications.Decreased adsorption effect at low temperatures, easily affected by humidity.
Table 2. Water contact angle of.
Table 2. Water contact angle of.
CatalystCuMnOx-Ce-70CuMnOx-Ce-70-PVPCuMnOx-Ce-70-PVA
Water contact angle46.04°52.03°53.69°
Table 3. Experimental material.
Table 3. Experimental material.
TypeChemical FormulaPurityManufacturer
Polyvinylpyrrolidone[C6H9NO]n99.80%Aladdin Reagent Company (Shanghai, China)
50% manganese nitrate solutionMn(NO3)250 wt.%
stannic chlorideSnCl4·5H2O99.70%
Cerium nitrateCe(NO3)3·6H2O99.50%
Iron nitrateFe(NO3)3·9H2O99.70%
Polyvinyl alcohol[C2H4O]n99.80%
Copper nitrateCu(NO3)2·3H2O99%
Anhydrous sodium carbonateNa2CO399.70%
Table 4. Information on instruments.
Table 4. Information on instruments.
Instrument and EquipmentManufacturer
FZG-1 vacuum drying ovenGuangdong Huanrui Testing Equipment Co., Ltd. (Dongguan, China)
XPR504SDR/AC electronic balanceMettler Toledo Technology (China) Co., Ltd. (Shanghai, China)
SX2-5-12NP Box type Resistance FurnaceYiheng Scientific Equipment Co., Ltd. (Yongkang, China)
SHZ-D (III) circulating water vacuum pumpGongyi Yuhua Equipment Co., Ltd. (Gongyi, China)
PHS-3C digital acidity meterZhengzhou Baojing Electronic Technology Co., Ltd. (Zhengzhou, China)
MS-H280-Pro digital heating magnetic stirrerShengke Instrument Co., Ltd. (Xi’an, China)
Disclaimer/Publisher’s Note: The statements, opinions and data contained in all publications are solely those of the individual author(s) and contributor(s) and not of MDPI and/or the editor(s). MDPI and/or the editor(s) disclaim responsibility for any injury to people or property resulting from any ideas, methods, instructions or products referred to in the content.

Share and Cite

MDPI and ACS Style

Fan, Y.; Guo, P.; Liu, J. Development and Characterization of Metal-Doped Modified CO Oxidation Catalyst for Coalbed Methane with Strong Adsorption and Water Resistance. Catalysts 2025, 15, 299. https://doi.org/10.3390/catal15040299

AMA Style

Fan Y, Guo P, Liu J. Development and Characterization of Metal-Doped Modified CO Oxidation Catalyst for Coalbed Methane with Strong Adsorption and Water Resistance. Catalysts. 2025; 15(4):299. https://doi.org/10.3390/catal15040299

Chicago/Turabian Style

Fan, Yanyang, Ping Guo, and Jun Liu. 2025. "Development and Characterization of Metal-Doped Modified CO Oxidation Catalyst for Coalbed Methane with Strong Adsorption and Water Resistance" Catalysts 15, no. 4: 299. https://doi.org/10.3390/catal15040299

APA Style

Fan, Y., Guo, P., & Liu, J. (2025). Development and Characterization of Metal-Doped Modified CO Oxidation Catalyst for Coalbed Methane with Strong Adsorption and Water Resistance. Catalysts, 15(4), 299. https://doi.org/10.3390/catal15040299

Note that from the first issue of 2016, this journal uses article numbers instead of page numbers. See further details here.

Article Metrics

Back to TopTop