Electrocatalytic Reduction of Oxygen on CuO-Immobilized Ag Surface Prepared by SILAR Method in Alkaline Medium
Abstract
1. Introduction
2. Results and Discussion
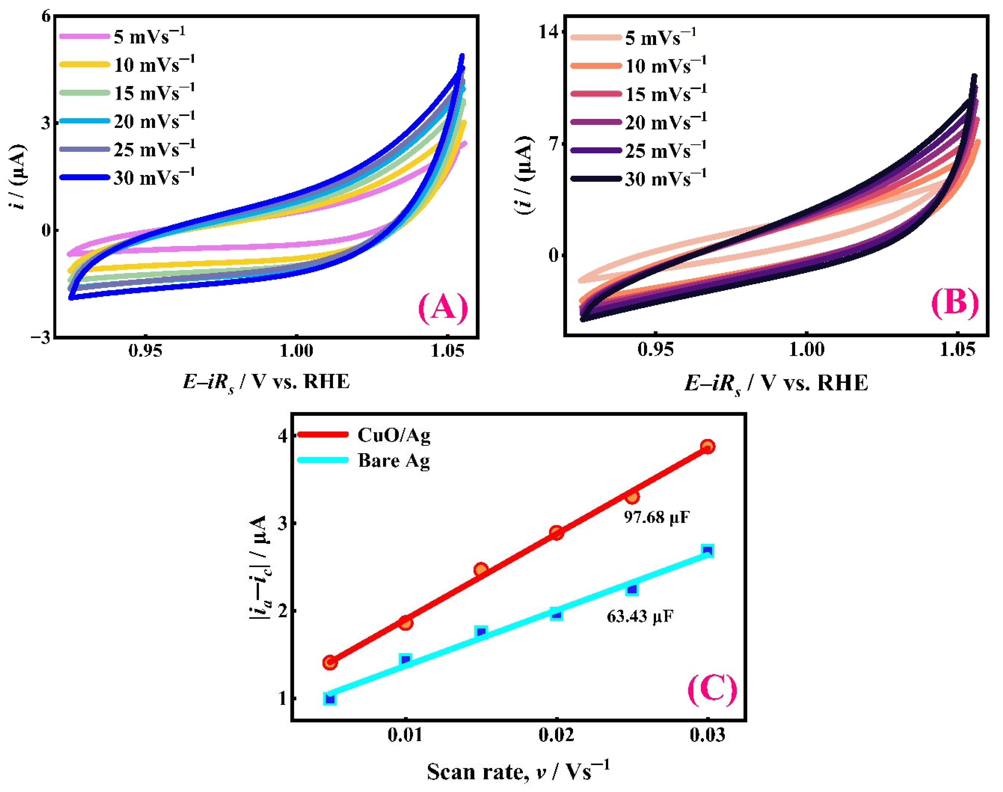
2.1. Electrochemical Characterization
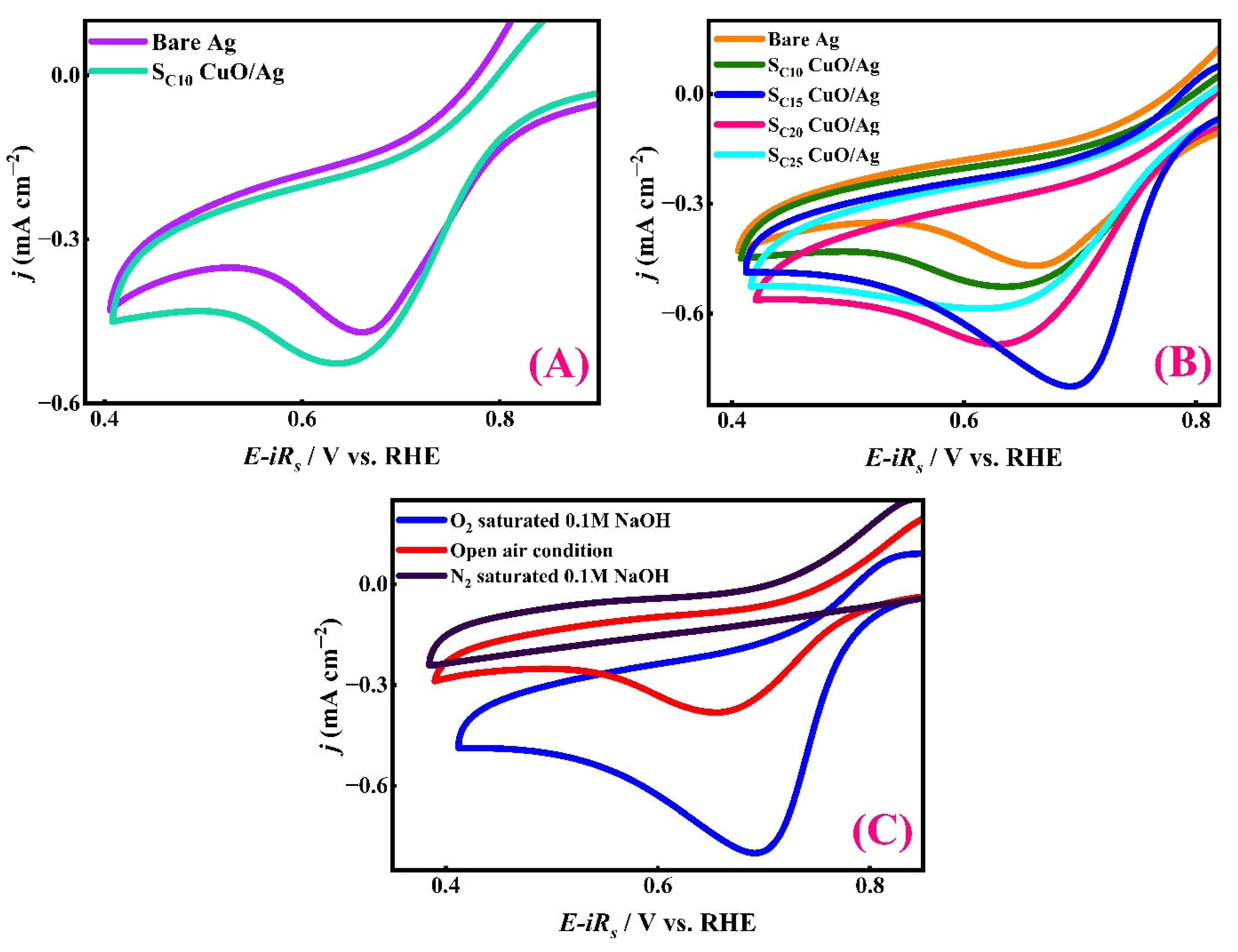
2.2. ORR Electrocatalysis
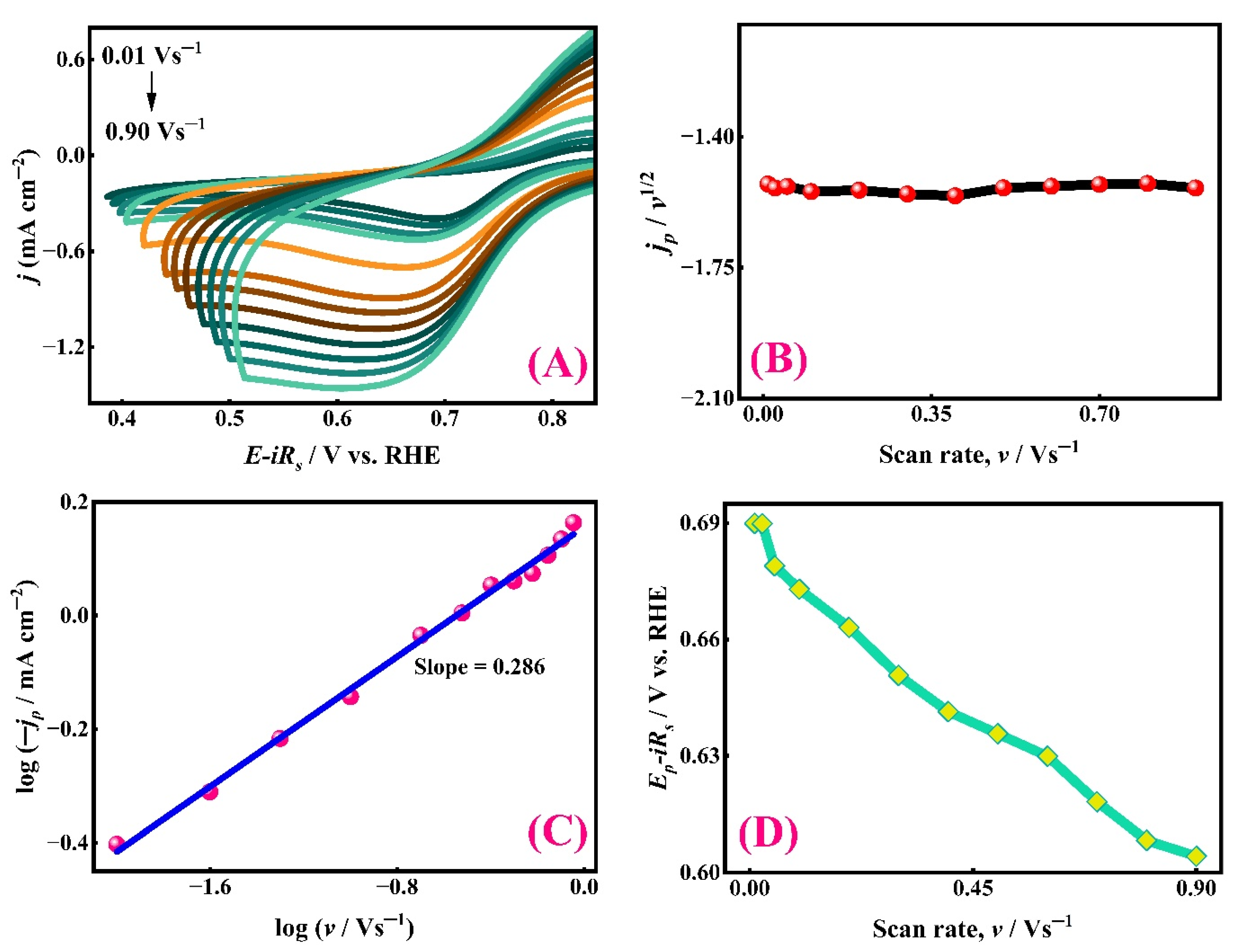
2.3. ORR Kinetics
2.4. Optical Characterization
3. Materials and Methods
3.1. Materials
3.2. Electrode Fabrication
3.3. Electrochemical Experiments
4. Conclusions
Supplementary Materials
Author Contributions
Funding
Data Availability Statement
Acknowledgments
Conflicts of Interest
References
- Maddukuri, S.; Malka, D.; Chae, M.S.; Elias, Y.; Luski, S.; Aurbach, D. On the Challenge of Large Energy Storage by Electrochemical Devices. Electrochim. Acta 2020, 354, 136771. [Google Scholar] [CrossRef]
- Steinhauser, G.; Brandl, A.; Johnson, T.E. Comparison of the Chernobyl and Fukushima Nuclear Accidents: A Review of the Environmental Impacts. Sci. Total Environ. 2014, 470, 800–817. [Google Scholar] [CrossRef]
- Amponsah, N.Y.; Troldborg, M.; Kington, B.; Aalders, I.; Hough, R.L. Greenhouse Gas Emissions from Renewable Energy Sources: A Review of Lifecycle Considerations. Renew. Sustain. Energy Rev. 2014, 39, 461–475. [Google Scholar] [CrossRef]
- Bogdanov, D.; Farfan, J.; Sadovskaia, K.; Aghahosseini, A.; Child, M.; Gulagi, A.; Oyewo, A.S.; de Souza Noel Simas Barbosa, L.; Breyer, C. Radical Transformation Pathway towards Sustainable Electricity via Evolutionary Steps. Nat. Commun. 2019, 10, 1077. [Google Scholar] [CrossRef]
- Zhang, J.; Xuan, Y. Performance Improvement of a Photovoltaic—Thermoelectric Hybrid System Subjecting to Fluctuant Solar Radiation. Renew. Energy 2017, 113, 1551–1558. [Google Scholar] [CrossRef]
- Taljan, G.; Fowler, M.; Cañizares, C.; Verbič, G. Hydrogen Storage for Mixed Wind-Nuclear Power Plants in the Context of a Hydrogen Economy. Int. J. Hydrogen Energy 2008, 33, 4463–4475. [Google Scholar] [CrossRef]
- Staffell, I.; Scamman, D.; Velazquez Abad, A.; Balcombe, P.; Dodds, P.E.; Ekins, P.; Shah, N.; Ward, K.R. The Role of Hydrogen and Fuel Cells in the Global Energy System. Energy Environ. Sci. 2019, 12, 463–491. [Google Scholar] [CrossRef]
- Ustolin, F.; Taccani, R. Fuel Cells for Airborne Usage: Energy Storage Comparison. Int. J. Hydrogen Energy 2018, 43, 11853–11861. [Google Scholar] [CrossRef]
- Lin, L.; Miao, N.; Wallace, G.G.; Chen, J.; Allwood, D.A. Engineering Carbon Materials for Electrochemical Oxygen Reduction Reactions. Adv. Energy Mater. 2021, 11, 2100695. [Google Scholar] [CrossRef]
- Wang, J.; Zhao, C.X.; Liu, J.N.; Ren, D.; Li, B.Q.; Huang, J.Q.; Zhang, Q. Quantitative Kinetic Analysis on Oxygen Reduction Reaction: A Perspective. Nano Mater. Sci. 2021, 3, 313–318. [Google Scholar] [CrossRef]
- Ge, X.; Sumboja, A.; Wuu, D.; An, T.; Li, B.; Goh, F.W.T.; Hor, T.S.A.; Zong, Y.; Liu, Z. Oxygen Reduction in Alkaline Media: From Mechanisms to Recent Advances of Catalysts. ACS Catal. 2015, 5, 4643–4667. [Google Scholar] [CrossRef]
- Liu, M.; Zhao, Z.; Duan, X.; Huang, Y. Nanoscale Structure Design for High-Performance Pt-Based ORR Catalysts. Adv. Mater. 2019, 31, 1802234. [Google Scholar] [CrossRef] [PubMed]
- Goswami, C.; Hazarika, K.K.; Bharali, P. Transition Metal Oxide Nanocatalysts for Oxygen Reduction Reaction. Mater. Sci. Energy Technol. 2018, 1, 117–128. [Google Scholar] [CrossRef]
- Kim, C.; Dionigi, F.; Beermann, V.; Wang, X.; Möller, T.; Strasser, P. Alloy Nanocatalysts for the Electrochemical Oxygen Reduction (ORR) and the Direct Electrochemical Carbon Dioxide Reduction Reaction (CO2RR). Adv. Mater. 2019, 31, 1805617. [Google Scholar] [CrossRef] [PubMed]
- Siddika, M.; Hosen, N.; Althomali, R.H.; Al-Humaidi, J.Y.; Rahman, M.M.; Hasnat, M.A. Kinetics of Electrocatalytic Oxygen Reduction Reaction over an Activated Glassy Carbon Electrode in an Alkaline Medium. Catalysts 2024, 14, 164. [Google Scholar] [CrossRef]
- Zhang, R.; Sun, J.; Chen, Y.; Shen, Q.; Ding, C.; Zhang, S.; Zhang, J. Advanced Porous Platinum Group Metal Nano-Structural Electrocatalysts for Water Electrolysis, Fuel Cells and Metal-Air Batteries. Coord. Chem. Rev. 2025, 543, 216958. [Google Scholar] [CrossRef]
- Bhuvanendran, N.; Ravichandran, S.; Lee, S.; Sanij, F.D.; Kandasamy, S.; Pandey, P.; Su, H.; Lee, S.Y. Recent Progress in Pt-Based Electrocatalysts: A Comprehensive Review of Supported and Support-Free Systems for Oxygen Reduction. Coord. Chem. Rev. 2024, 521, 216191. [Google Scholar] [CrossRef]
- Yang, L.; Vukmirovic, M.B.; Su, D.; Sasaki, K.; Herron, J.A.; Mavrikakis, M.; Liao, S.; Adzic, R.R. Tuning the Catalytic Activity of Ru@Pt Core-Shell Nanoparticles for the Oxygen Reduction Reaction by Varying the Shell Thickness. J. Phys. Chem. C 2013, 117, 1748–1753. [Google Scholar] [CrossRef]
- Diesen, E.; Dudzinski, A.M.; Reuter, K.; Bukas, V.J. Origin of Electrocatalytic Selectivity during the Oxygen Reduction Reaction on Au(111). ACS Catal. 2025, 15, 5403–5411. [Google Scholar] [CrossRef]
- Pu, Y.; Chen, J.L.; Zhao, J.W.; Feng, L.; Zhu, J.; Jiang, X.; Li, W.X.; Liu, J.X. Nature of the Active Center for the Oxygen Reduction on Ag-Based Single-Atom Alloy Clusters. JACS Au 2024, 4, 2886–2895. [Google Scholar] [CrossRef]
- Neyerlin, K.C.; Srivastava, R.; Yu, C.; Strasser, P. Electrochemical Activity and Stability of Dealloyed Pt-Cu and Pt-Cu-Co Electrocatalysts for the Oxygen Reduction Reaction (ORR). J. Power Sources 2009, 186, 261–267. [Google Scholar] [CrossRef]
- Li, Y.; Li, Q.; Wang, H.; Zhang, L.; Wilkinson, D.P.; Zhang, J. Recent Progresses in Oxygen Reduction Reaction Electrocatalysts for Electrochemical Energy Applications. Electrochem. Energy Rev. 2019, 2, 518–538. [Google Scholar] [CrossRef]
- Kokkinidis, G.; Stoychev, D.; Lazarov, V.; Papoutsis, A.; Milchev, A. Electroless Deposition of Pt on Ti: Part II. Catalytic Activity for Oxygen Reduction. J. Electroanal. Chem. 2001, 511, 20–30. [Google Scholar] [CrossRef]
- Jin, Z.; Chen, Y.; Sun, J.; Zhang, S.; Zhang, J. Perceptions of Metal-Nitrogen-Carbon Catalysts for Oxygen Reduction Reaction. Mater. Sci. Eng. R Rep. 2025, 165, 101027. [Google Scholar] [CrossRef]
- Song, C.; Zhang, J. Electrocatalytic Oxygen Reduction Reaction. In PEM Fuel Cell Electrocatalysts and Catalyst Layers: Fundamentals and Applications; Springer: London, UK, 2008; pp. 89–134. [Google Scholar] [CrossRef]
- Shao, Y.; Yin, G.; Wang, J.; Gao, Y.; Shi, P. In Situ Deposition of Highly Dispersed Pt Nanoparticles on Carbon Black Electrode for Oxygen Reduction. J. Electrochem. Soc. 2006, 153, A1261. [Google Scholar] [CrossRef]
- Okada, T.; Yoshida, M.; Hirose, T.; Kasuga, K.; Yu, T.; Yuasa, M.; Sekine, I. Oxygen Reduction Characteristics of Graphite Electrodes Modified with Cobalt Di-Quinolyldiamine Derivatives. Electrochim. Acta 2000, 45, 4419–4429. [Google Scholar] [CrossRef]
- Wang, N.; Ma, S.; Zuo, P.; Duan, J.; Hou, B. Recent Progress of Electrochemical Production of Hydrogen Peroxide by Two-Electron Oxygen Reduction Reaction. Adv. Sci. 2021, 8, 2100076. [Google Scholar] [CrossRef]
- Shahid, M.M.; Zhan, Y.; Alizadeh, M.; Sagadevan, S.; Paiman, S.; Oh, W.C. A Glassy Carbon Electrode Modified with Tailored Nanostructures of Cobalt Oxide for Oxygen Reduction Reaction. Int. J. Hydrogen Energy 2020, 45, 18850–18858. [Google Scholar] [CrossRef]
- Lu, X.F.; Xia, B.Y.; Zang, S.Q.; Lou, X.W. Metal–Organic Frameworks Based Electrocatalysts for the Oxygen Reduction Reaction. Angew. Chem.—Int. Ed. 2020, 132, 4634–4650. [Google Scholar] [CrossRef]
- Feng, J.; Cai, R.; Magliocca, E.; Luo, H.; Higgins, L.; Romario, G.L.F.; Liang, X.; Pedersen, A.; Xu, Z.; Guo, Z.; et al. Iron, Nitrogen Co-Doped Carbon Spheres as Low Cost, Scalable Electrocatalysts for the Oxygen Reduction Reaction. Adv. Funct. Mater. 2021, 31, 2102974. [Google Scholar] [CrossRef]
- Abdullah, N.H.; Shameli, K.; Nia, P.M.; Etesami, M.; Abdullah, E.C.; Abdullah, L.C. Electrocatalytic Activity of Starch/Fe3O4/Zeolite Bionanocomposite for Oxygen Reduction Reaction. Arab. J. Chem. 2020, 13, 1297–1308. [Google Scholar] [CrossRef]
- Qiang, Z.; Chang, J.H.; Huang, C.P. Electrochemical Generation of Hydrogen Peroxide from Dissolved Oxygen in Acidic Solutions. Water Res. 2002, 36, 85–94. [Google Scholar] [CrossRef]
- Nzilu, D.M.; Madivoli, E.S.; Makhanu, D.S.; Wanakai, S.I.; Kiprono, G.K.; Kareru, P.G. Green Synthesis of Copper Oxide Nanoparticles and Its Efficiency in Degradation of Rifampicin Antibiotic. Sci. Rep. 2023, 13, 14030. [Google Scholar] [CrossRef] [PubMed]
- Zhang, X.; Zhang, D.; Ni, X.; Song, J.; Zheng, H. Synthesis and Electrochemical Properties of Different Sizes of the CuO Particles. J. Nanopart. Res. 2008, 10, 839–844. [Google Scholar] [CrossRef]
- Vukmirovic, M.B.; Vasiljevic, N.; Dimitrov, N.; Sieradzki, K. Diffusion-Limited Current Density of Oxygen Reduction on Copper. J. Electrochem. Soc. 2003, 150, B10. [Google Scholar] [CrossRef]
- Qin, H.; Zhang, Z.; Liu, X.; Zhang, Y.; Hu, J. Room-Temperature Ferromagnetism in CuO Sol-Gel Powders and Films. J. Magn. Magn. Mater. 2010, 322, 1994–1998. [Google Scholar] [CrossRef]
- Grujicic, D.; Pesic, B. Electrodeposition of Copper: The Nucleation Mechanisms. Electrochim. Acta 2002, 47, 2901–2912. [Google Scholar] [CrossRef]
- Vila, M.; Díaz-Guerra, C.; Piqueras, J. Optical and Magnetic Properties of CuO Nanowires Grown by Thermal Oxidation. J. Phys. D Appl. Phys. 2010, 43, 135403. [Google Scholar] [CrossRef]
- Feng, J.K.; Xia, H.; Lai, M.O.; Lu, L. Electrochemical Performance of CuO Nanocrystal Film Fabricated by Room Temperature Sputtering. Mater. Res. Bull. 2011, 46, 424–427. [Google Scholar] [CrossRef]
- Singh, I.; Bedi, R.K. Studies and Correlation among the Structural, Electrical and Gas Response Properties of Aerosol Spray Deposited Self Assembled Nanocrystalline CuO. Appl. Surf. Sci. 2011, 257, 7592–7599. [Google Scholar] [CrossRef]
- Mageshwari, K.; Sathyamoorthy, R. Physical Properties of Nanocrystalline CuO Thin Films Prepared by the SILAR Method. Mater. Sci. Semicond. Process. 2013, 16, 337–343. [Google Scholar] [CrossRef]
- Ratnayake, S.P.; Ren, J.; Colusso, E.; Guglielmi, M.; Martucci, A.; Della Gaspera, E. SILAR Deposition of Metal Oxide Nanostructured Films. Small 2021, 17, 2101666. [Google Scholar] [CrossRef]
- Patil, A.S.; Lohar, G.M.; Fulari, V.J. Structural, Morphological, Optical and Photoelectrochemical Cell Properties of Copper Oxide Using Modified SILAR Method. J. Mater. Sci. Mater. Electron. 2016, 27, 9550–9557. [Google Scholar] [CrossRef]
- Erikson, H.; Sarapuu, A.; Tammeveski, K. Oxygen Reduction Reaction on Silver Catalysts in Alkaline Media: A Minireview. ChemElectroChem 2019, 6, 73–86. [Google Scholar] [CrossRef]
- Raimundo, R.A.; Santos, J.R.D.; Silva, T.R.; Vieira, P.S.; Pereira, T.O.; Araújo, A.J.M.; Loureiro, F.J.A.; Macedo, D.A.; Fagg, D.P. Enhancing Oxygen Evolution Reaction through Tailored Copper Oxide/Nickel Foam Interfaces. Mater. Sci. Eng. B 2026, 323, 118826. [Google Scholar] [CrossRef]
- Madakannu, I.; Patil, I.; Kakade, B.; Datta, K.K.R. Electrocatalytic Oxygen Reduction Activity of AgCoCu Oxides on Reduced Graphene Oxide in Alkaline Media. Beilstein J. Nanotechnol. 2022, 13, 1020–1029. [Google Scholar] [CrossRef] [PubMed]
- Lei, Y.; Chen, F.; Jin, Y.; Liu, Z. Ag-Cu Nanoalloyed Film as a High-Performance Cathode Electrocatalytic Material for Zinc-Air Battery. Nanoscale Res. Lett. 2015, 10, 197. [Google Scholar] [CrossRef] [PubMed]
- Islam, M.T.; Hasan, M.M.; Shabik, M.F.; Islam, F.; Nagao, Y.; Hasnat, M.A. Electroless Deposition of Gold Nanoparticles on a Glassy Carbon Surface to Attain Methylene Blue Degradation via Oxygen Reduction Reactions. Electrochim. Acta 2020, 360, 136966. [Google Scholar] [CrossRef]
- Scholz, F. Electroanalytical Methods: Guide to Experiments and Applications. In Electroanalytical Methods: Guide to Experiments and Applications; Springer: Berlin/Heidelberg, Germany, 2010; pp. 1–359. [Google Scholar] [CrossRef]
- Park, S.-M.; Yoo, J.-S. Peer Reviewed: Electrochemical Impedance Spectroscopy for Better Electrochemical Measurements. Anal. Chem. 2003, 75, 455 A–461 A. [Google Scholar] [CrossRef]
- Smith, D.E. Theory of the Faradaic Impedance: Relationship between Faradaic Impedances for Various Small Amplitude Alternating Current Techniques. Anal. Chem. 1964, 36, 962–970. [Google Scholar] [CrossRef]
- Lazanas, A.C.; Prodromidis, M.I. Electrochemical Impedance Spectroscopy─A Tutorial. ACS Meas. Sci. Au 2023, 3, 162–193. [Google Scholar] [CrossRef] [PubMed]
- Schott, C.M.; Schneider, P.M.; Song, K.T.; Yu, H.; Götz, R.; Haimerl, F.; Gubanova, E.; Zhou, J.; Schmidt, T.O.; Zhang, Q.; et al. How to Assess and Predict Electrical Double Layer Properties. Implications for Electrocatalysis. Chem. Rev. 2024, 124, 12391–12462. [Google Scholar] [CrossRef]
- Martínez-Hincapié, R.; Wegner, J.; Anwar, M.U.; Raza-Khan, A.; Franzka, S.; Kleszczynski, S.; Čolić, V. The Determination of the Electrochemically Active Surface Area and Its Effects on the Electrocatalytic Properties of Structured Nickel Electrodes Produced by Additive Manufacturing. Electrochim. Acta 2024, 476, 143663. [Google Scholar] [CrossRef]
- Watt-Smith, M.J.; Friedrich, J.M.; Rigby, S.P.; Ralph, T.R.; Walsh, F.C. Determination of the Electrochemically Active Surface Area of Pt/C PEM Fuel Cell Electrodes Using Different Adsorbates. J. Phys. D Appl. Phys. 2008, 41, 174004. [Google Scholar] [CrossRef]
- Connor, P.; Schuch, J.; Kaiser, B.; Jaegermann, W. The Determination of Electrochemical Active Surface Area and Specific Capacity Revisited for the System MnOx as an Oxygen Evolution Catalyst. Z. Phys. Chem. 2020, 234, 979–994. [Google Scholar] [CrossRef]
- Hossain, M.I.; Monim, S.A.; Moushumy, Z.M.; Khansur, N.H.; Mahmud, I.; Rahaman, M.; Aldalbahi, A.; Firoz, S.H.; Hasnat, M.A. Synthesis of La2NiMnO6 Double Perovskite as a Highly Selective Electrocatalyst for Oxygen Reduction to Hydrogen Peroxide in Electrochemical Energy Conversion. ACS Appl. Energy Mater. 2025, 8, 949–963. [Google Scholar] [CrossRef]
- Nizam Uddin, S.M.; Yasir Abir, A.; Imran Hossain, M.; Akter, N.; Bin Islam, M.; Aoki, K.; Nagao, Y.; Maktedar, S.S.; Rahaman, M.; Abul Hasnat, M. Rhodium-Modified Glassy Carbon Electrode as a Promising Electrocatalyst for Oxygen Reduction Reaction in Phosphoric Acid Electrolytes. ChemNanoMat 2025, 11, e202400468. [Google Scholar] [CrossRef]
- Ren, T.; Zhao, L.K.; Zhang, X.; Gao, X.W.; Chen, H.; Liu, Z.; Yang, D.; Luo, W. Bin. Optimizing LaNiO3 Surface Structure for an Efficient Oxygen Reduction Reaction. J. Mater. Chem. A Mater. 2025, 13, 14737–14742. [Google Scholar] [CrossRef]
- Zhang, D.; Ding, R.; Shi, S.; He, Y. Efficient Four-Electron Transfer Platinum-Based Oxygen Reduction Catalysts: A Mini Review. Int. J. Hydrogen Energy 2023, 48, 30391–30406. [Google Scholar] [CrossRef]
- Je, H.; Chow, K.F.; Chang, B.Y. Voltammetry of Constant Phase Elements: Analyzing Scan Rate Effects. J. Electrochem. Sci. Technol. 2024, 15, 427–435. [Google Scholar] [CrossRef]
- Bard, A.J.; Faulkner, L.R. Allen J. Bard and Larry R. Faulkner, Electrochemical Methods: Fundamentals and Applications, New York: Wiley, 2001, 2nd Ed. Russ. J. Electrochem. 2002, 38, 1364–1365. [Google Scholar] [CrossRef]
- Mumtarin, Z.; Rahman, M.M.; Marwani, H.M.; Hasnat, M.A. Electro-Kinetics of Conversion of NO3− into NO2− and Sensing of Nitrate Ions via Reduction Reactions at Copper Immobilized Platinum Surface in the Neutral Medium. Electrochim. Acta 2020, 346, 135994. [Google Scholar] [CrossRef]
- Li, S.; Shi, L.; Guo, Y.; Wang, J.; Liu, D.; Zhao, S. Selective Oxygen Reduction Reaction: Mechanism Understanding, Catalyst Design and Practical Application. Chem. Sci. 2024, 15, 11188–11228. [Google Scholar] [CrossRef]
- Shabik, M.F.; Hasan, M.M.; Alamry, K.A.; Rahman, M.M.; Nagao, Y.; Hasnat, M.A. Electrocatalytic Oxidation of Ammonia in the Neutral Medium Using Cu2O.CuO Film Immobilized on Glassy Carbon Surface. J. Electroanal. Chem. 2021, 897, 115592. [Google Scholar] [CrossRef]
- Agbo, P.; Danilovic, N. An Algorithm for the Extraction of Tafel Slopes. J. Phys. Chem. C 2019, 123, 30252–30264. [Google Scholar] [CrossRef]
- Kirowa-Eisner, E.; Schwarz, M.; Gileadi, E. The Temperature Dependence of the Tafel Slope-I. Instrumentation, Calibration and a Study of the Reduction of Hydroxylamine on the Dme. Electrochim. Acta 1989, 34, 1103–1111. [Google Scholar] [CrossRef]
- Antipin, D.; Risch, M. Calculation of the Tafel Slope and Reaction Order of the Oxygen Evolution Reaction between PH 12 and PH 14 for the Adsorbate Mechanism. Electrochem. Sci. Adv. 2023, 3, e2100213. [Google Scholar] [CrossRef]
- Anantharaj, S.; Noda, S. How Properly Are We Interpreting the Tafel Lines in Energy Conversion Electrocatalysis? Mater. Today Energy 2022, 29, 101123. [Google Scholar] [CrossRef]
- Wang, H.; Jerigova, M.; Hou, J.; Tarakina, N.V.; Delacroix, S.; López-Salas, N.; Strauss, V. Modulating between 2e− and 4e− Pathways in the Oxygen Reduction Reaction with Laser-Synthesized Iron Oxide-Grafted Nitrogen-Doped Carbon. J. Mater. Chem. A Mater. 2022, 10, 24156–24166. [Google Scholar] [CrossRef]
- Ahsan, M.; Dutta, A.; Akermi, M.; Alam, M.M.; Nizam Uddin, S.M.; Khatun, N.; Hasnat, M.A. Sulfur Adlayer on Gold Surface for Attaining H2O2 Reduction in Alkaline Medium: Catalysis, Kinetics, and Sensing Activities. J. Electroanal. Chem. 2023, 934, 117281. [Google Scholar] [CrossRef]
- Zhou, R.; Zheng, Y.; Jaroniec, M.; Qiao, S.Z. Determination of the Electron Transfer Number for the Oxygen Reduction Reaction: From Theory to Experiment. ACS Catal. 2016, 6, 4720–4728. [Google Scholar] [CrossRef]
- Zhang, C.; Fan, F.R.F.; Bard, A.J. Electrochemistry of Oxygen in Concentrated NaOH Solutions: Solubility, Diffusion Coefficients, and Superoxide Formation. J. Am. Chem. Soc. 2008, 131, 177–181. [Google Scholar] [CrossRef]
- Miah, M.R.; Masud, J.; Ohsaka, T. Kinetics of Oxygen Reduction Reaction at Electrochemically Fabricated Tin-Palladium Bimetallic Electrocatalyst in Acidic Media. Electrochim. Acta 2010, 56, 285–290. [Google Scholar] [CrossRef]
- John, A.S.; Gurumurthy, K. Synthesis and Characterization of CuO Nanoparticles from Bioleached Copper through Modified and Optimized Double Precipitation Method. ACS Omega 2025, 10, 10193–10198. [Google Scholar] [CrossRef]
- Xu, G.; Huang, J.; Li, X.; Chen, Q.; Xie, Y.; Liu, Z.; Kajiyoshi, K.; Wu, L.; Cao, L.; Feng, L. Heterostructured Cu/CuO Nanoparticles Embedded within N-Doped Carbon Nanosheets for Efficient Oxygen Reduction Reaction. Catalysts 2023, 13, 255. [Google Scholar] [CrossRef]
- Khater, D.Z.; Amin, R.S.; Mahmoud, M.; El-Khatib, K.M. Evaluation of Mixed Transition Metal (Co, Mn, and Cu) Oxide Electrocatalysts Anchored on Different Carbon Supports for Robust Oxygen Reduction Reaction in Neutral Media. RSC Adv. 2022, 12, 2207–2218. [Google Scholar] [CrossRef] [PubMed]
- Boyce, A.L.; Graville, S.R.; Sermon, P.A.; Vong, M.S.W. Reduction of CuO-Containing Catalysts, CuO: II, XRD and XPS. React. Kinet. Catal. Lett. 1991, 44, 13–18. [Google Scholar] [CrossRef]
- Ando, F.; Gunji, T.; Tanabe, T.; Fukano, I.; Abruña, H.D.; Wu, J.; Ohsaka, T.; Matsumoto, F. Enhancement of the Oxygen Reduction Reaction Activity of Pt by Tuning Its D-Band Center via Transition Metal Oxide Support Interactions. ACS Catal. 2021, 11, 9317–9332. [Google Scholar] [CrossRef]
- Ali, K.; Sajid, M.; Abu Bakar, S.; Younus, A.; Ali, H.; Zahid Rashid, M. Synthesis of Copper Oxide (CuO) via Coprecipitation Method: Tailoring Structural and Optical Properties of CuO Nanoparticles for Optoelectronic Device Applications. Hybrid Adv. 2024, 6, 100250. [Google Scholar] [CrossRef]
- Patil, A.S.; Patil, M.D.; Lohar, G.M.; Jadhav, S.T.; Fulari, V.J. Supercapacitive Properties of CuO Thin Films Using Modified SILAR Method. Ionics 2017, 23, 1259–1266. [Google Scholar] [CrossRef]
- Patwary, M.A.M.; Hossain, M.A.; Ghos, B.C.; Chakrabarty, J.; Haque, S.R.; Rupa, S.A.; Uddin, J.; Tanaka, T. Copper Oxide Nanostructured Thin Films Processed by SILAR for Optoelectronic Applications. RSC Adv. 2022, 12, 32853–32884. [Google Scholar] [CrossRef] [PubMed]
- Zhang, S.; Wei, N.; Yao, Z.; Zhao, X.; Du, M.; Zhou, Q. Oxygen Vacancy-Based Ultrathin Co3O4 Nanosheets as a High-Efficiency Electrocatalyst for Oxygen Evolution Reaction. Int. J. Hydrogen Energy 2021, 46, 5286–5295. [Google Scholar] [CrossRef]
- Gao, R.; Wang, J.; Huang, Z.F.; Zhang, R.; Wang, W.; Pan, L.; Zhang, J.; Zhu, W.; Zhang, X.; Shi, C.; et al. Pt/Fe2O3 with Pt–Fe Pair Sites as a Catalyst for Oxygen Reduction with Ultralow Pt Loading. Nat. Energy 2021, 6, 614–623. [Google Scholar] [CrossRef]
- Chu, S.; Cui, Y.; Liu, N. The Path towards Sustainable Energy. Nat. Mater. 2016, 16, 16–22. [Google Scholar] [CrossRef] [PubMed]
- Bashyam, R.; Zelenay, P. A Class of Non-Precious Metal Composite Catalysts for Fuel Cells. Nature 2006, 443, 63–66. [Google Scholar] [CrossRef] [PubMed]











| Electrodes | Bare Ag | CuO/Ag |
|---|---|---|
| Solution resistance, RS (Ω) | 332 | 292 |
| Charge transfer resistance, Rct (kΩ) | 4.23 | 3.37 |
| Electrodes | SILAR Cycles | Peak Potential, Ep (V/E–iRs vs. RHE) | Current Density at Peak Potential, Jp (mA cm−2) |
|---|---|---|---|
| Bare Ag | 0 | 0.606 | −0.470 |
| SC10 CuO/Ag | 10 | 0.575 | −0.527 |
| SC15 CuO/Ag | 15 | 0.602 | −0.800 |
| SC20 CuO/Ag | 20 | 0.553 | −0.685 |
| SC25 CuO/Ag | 25 | 0.550 | −0.587 |
Disclaimer/Publisher’s Note: The statements, opinions and data contained in all publications are solely those of the individual author(s) and contributor(s) and not of MDPI and/or the editor(s). MDPI and/or the editor(s) disclaim responsibility for any injury to people or property resulting from any ideas, methods, instructions or products referred to in the content. |
© 2025 by the authors. Licensee MDPI, Basel, Switzerland. This article is an open access article distributed under the terms and conditions of the Creative Commons Attribution (CC BY) license (https://creativecommons.org/licenses/by/4.0/).
Share and Cite
Laila, R.; Hossain, M.I.; Singha, N.R.; Khan, M.; Rahaman, M.; Uddin, J.; Hasnat, M.A. Electrocatalytic Reduction of Oxygen on CuO-Immobilized Ag Surface Prepared by SILAR Method in Alkaline Medium. Catalysts 2025, 15, 1012. https://doi.org/10.3390/catal15111012
Laila R, Hossain MI, Singha NR, Khan M, Rahaman M, Uddin J, Hasnat MA. Electrocatalytic Reduction of Oxygen on CuO-Immobilized Ag Surface Prepared by SILAR Method in Alkaline Medium. Catalysts. 2025; 15(11):1012. https://doi.org/10.3390/catal15111012
Chicago/Turabian StyleLaila, Rawnak, Mohammad Imran Hossain, Nayan Ranjan Singha, Merajuddin Khan, Mostafizur Rahaman, Jamal Uddin, and Mohammad A. Hasnat. 2025. "Electrocatalytic Reduction of Oxygen on CuO-Immobilized Ag Surface Prepared by SILAR Method in Alkaline Medium" Catalysts 15, no. 11: 1012. https://doi.org/10.3390/catal15111012
APA StyleLaila, R., Hossain, M. I., Singha, N. R., Khan, M., Rahaman, M., Uddin, J., & Hasnat, M. A. (2025). Electrocatalytic Reduction of Oxygen on CuO-Immobilized Ag Surface Prepared by SILAR Method in Alkaline Medium. Catalysts, 15(11), 1012. https://doi.org/10.3390/catal15111012

