Sustainable Synthesis of CoFe2O4/Fe2O3 Catalyst for Hydrogen Generation from Sodium Borohydride Hydrolysis
Abstract
1. Introduction
2. Methods
2.1. Catalyst Synthesis
2.2. Hydrogen Generation
2.3. Kinetic Modeling
2.4. Sample Characterization
3. Results and Discussion
3.1. Catalyst Characterization
3.2. XPS Analysis
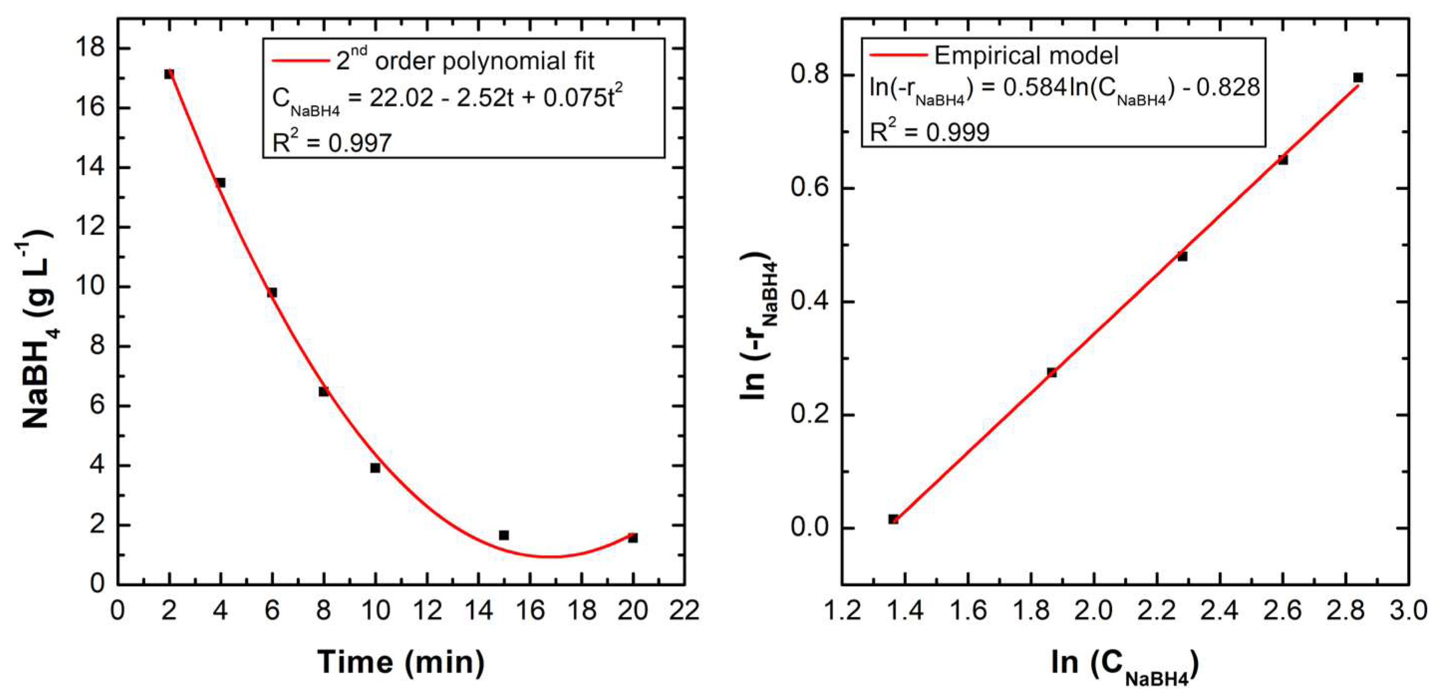
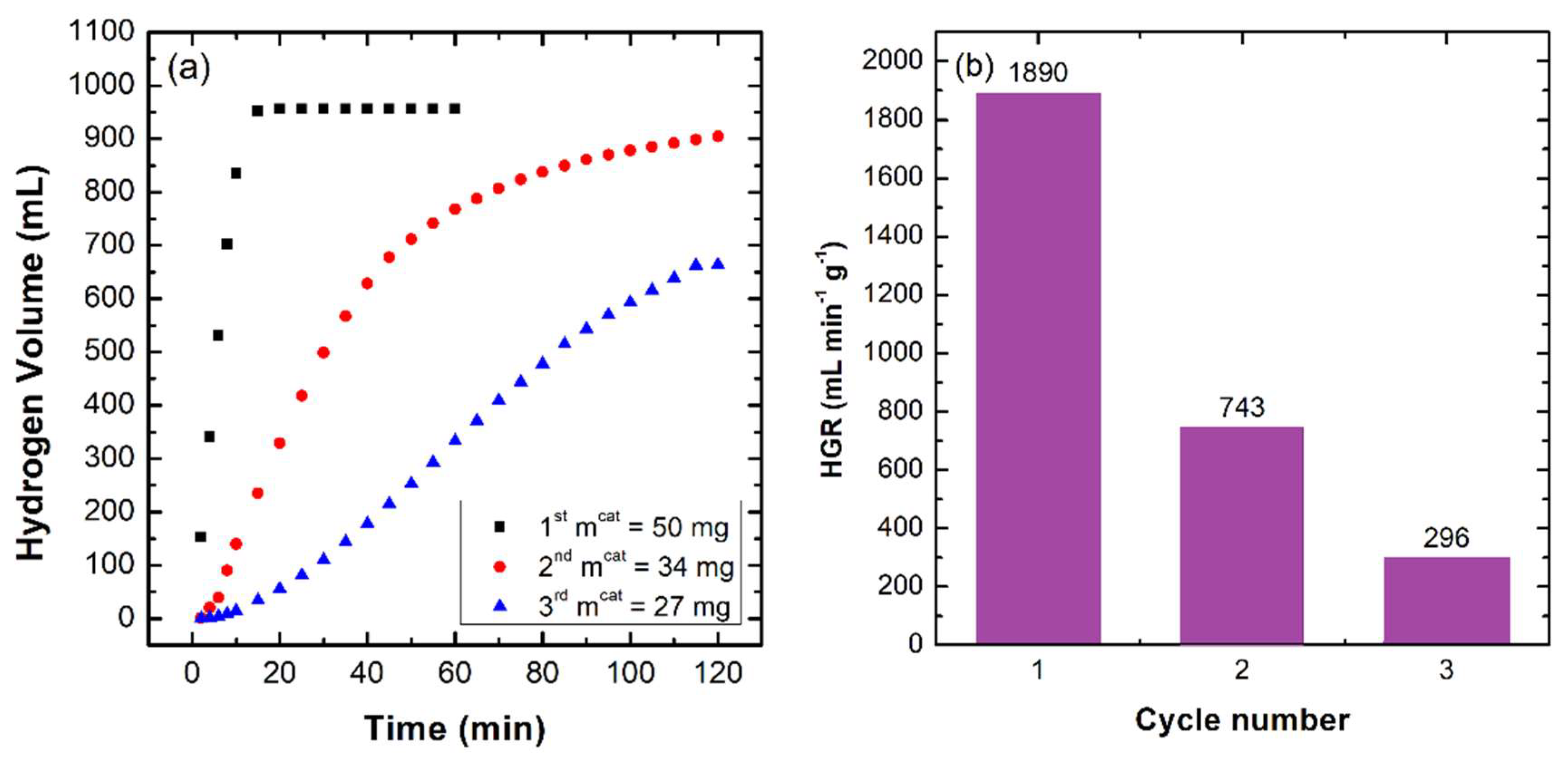
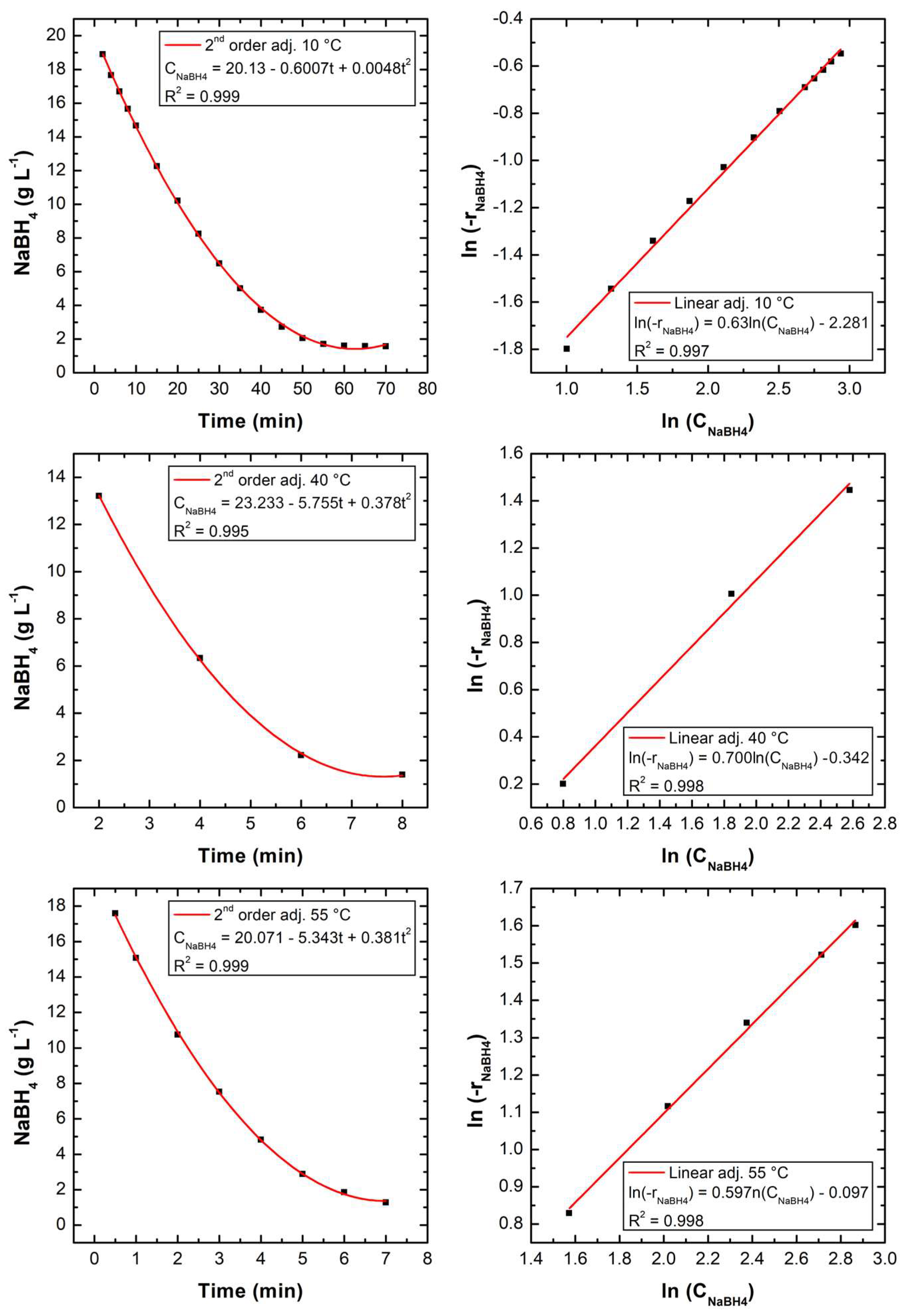
3.3. Hydrogen Generation
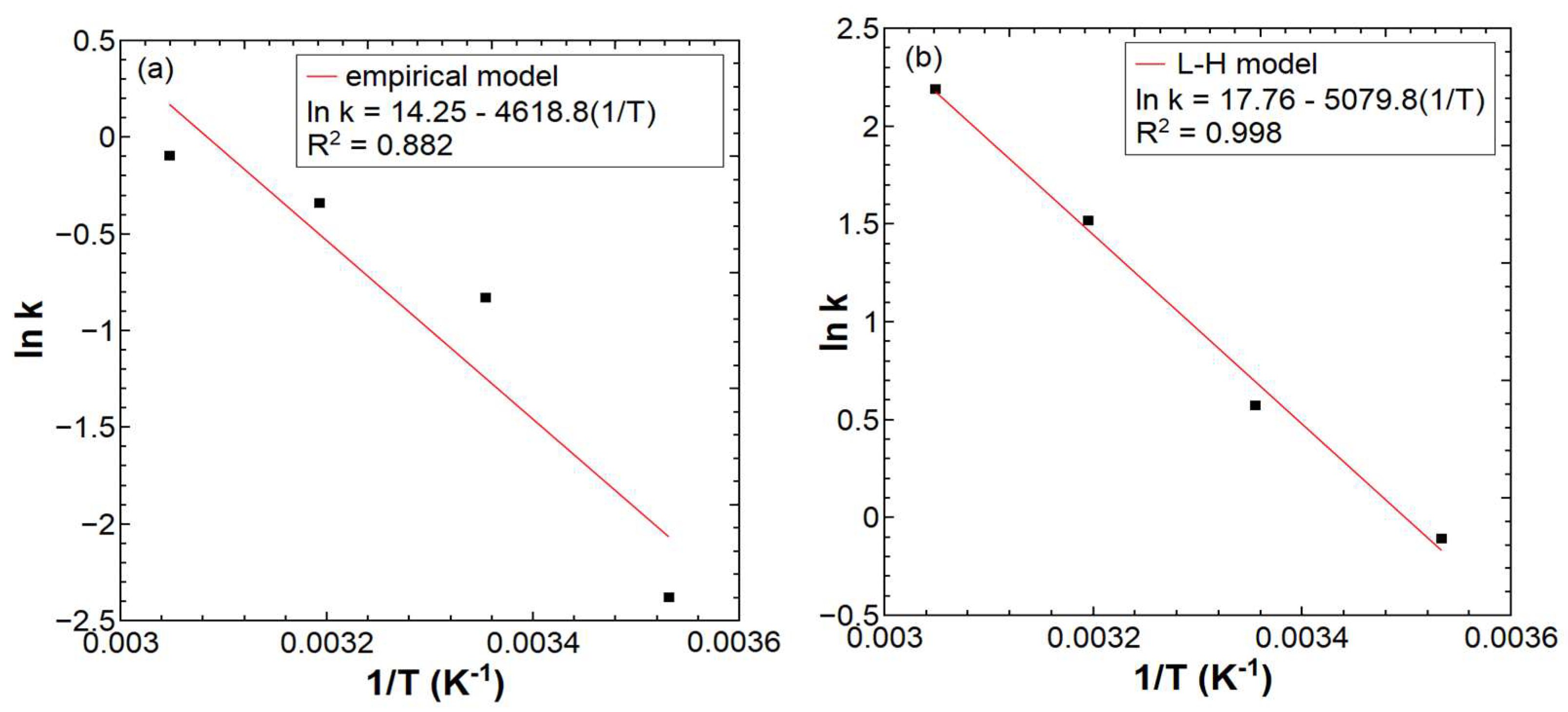
3.4. Kinetic Modeling
4. Conclusions
Author Contributions
Funding
Data Availability Statement
Acknowledgments
Conflicts of Interest
Appendix A








| NaOH (wt%) | NaBH4 (wt%) | Temperature (°C) | H2 Generated in 1 h (mL) |
|---|---|---|---|
| 0 | 2 | 25 | 123.0 |
| 1 | 2 | 25 | 2.0 |
| 2 | 2 | 25 | 0.0 |
| 4 | 2 | 25 | 0.0 |
| 2.5 | 2 | 55 | 10.0 |


| Temperature [°C] | Estimated Parameters for Empirical Model | |
|---|---|---|
| 10 | n | 0.63 |
| k (g·L−1 min−1) | 0.0925 | |
| R2 | 0.997 | |
| 25 | n | 0.584 |
| k (g·L−1 min−1) | 0.437 | |
| R2 | 0.999 | |
| 40 | n | 0.704 |
| k (g·L−1 min−1) | 0.71 | |
| R2 | 0.996 | |
| 55 | n | 0.597 |
| k (g·L−1 min−1) | 0.908 | |
| R2 | 0.998 | |
| Temperature [°C] | Estimated Parameters for L–H Model | |
|---|---|---|
| 10 | K (L·g−1) | 0.0852 |
| k (g L−1 min−1) | 0.899 | |
| R2 | 0.999 | |
| 25 | K (L·g−1) | 1.267 |
| k (g·L−1 min−1) | 1.771 | |
| R2 | ||
| 40 | K (L·g−1) | 0.237 |
| k (g L−1 min−1) | 4.553 | |
| R2 | 0.999 | |
| 55 | K (L·g−1) | 0.071 |
| k (g L−1 min−1) | 8.917 | |
| R2 | 0.999 | |
References
- Filonchyk, M.; Peterson, M.P.; Zhang, L.; Volha Hurynovich, V.; He, Y. Greenhouse gases emissions and global climate change: Examining the influence of CO2, CH4, and N2O. Sci. Total Environ. 2024, 935, 173359. [Google Scholar] [CrossRef] [PubMed]
- Sarker, A.K.; Azad, A.K.; Rasul, M.G.; Doppalapudi, A.T. Prospect of Green Hydrogen Generation from Hybrid Renewable Energy Sources: A Review. Energies 2023, 16, 1556. [Google Scholar] [CrossRef]
- Michael, E. Mann the New Climate War: The Fight to Take Back Our Planet, 1st ed.; PublicAffairs: New York, NY, USA, 2021; Volume 1, ISBN 9781541758230. [Google Scholar]
- Mehrjerdi, H. Modeling and Optimization of an Island Water-Energy Nexus Powered by a Hybrid Solar-Wind Renewable System. Energy 2020, 197, 117217. [Google Scholar] [CrossRef]
- Chen, L.; Qi, Z.; Zhang, S.; Su, J.; Somorjai, G.A. Catalytic Hydrogen Production from Methane: A Review on Recent Progress and Prospect. Catalysts 2020, 10, 858. [Google Scholar] [CrossRef]
- Lee, J.E.; Jeon, K.J.; Show, P.L.; Lee, I.H.; Jung, S.C.; Choi, Y.J.; Rhee, G.H.; Lin, K.Y.A.; Park, Y.K. Mini Review on H2 Production from Electrochemical Water Splitting According to Special Nanostructured Morphology of Electrocatalysts. Fuel 2022, 308, 122048. [Google Scholar] [CrossRef]
- Momirlan, M.; Veziroglu, T.N. The Properties of Hydrogen as Fuel Tomorrow in Sustainable Energy System for a Cleaner Planet. Int. J. Hydrogen Energy 2005, 30, 795–802. [Google Scholar] [CrossRef]
- Santos, D.M.F.; Sequeira, C.A.C. Sodium Borohydride as a Fuel for the Future. Renew. Sustain. Energy Rev. 2011, 15, 3980–4001. [Google Scholar] [CrossRef]
- Nazir, H.; Muthuswamy, N.; Louis, C.; Jose, S.; Prakash, J.; Buan, M.E.; Flox, C.; Chavan, S.; Shi, X.; Kauranen, P.; et al. Is the H2 Economy Realizable in the Foreseeable Future? Part II: H2 Storage, Transportation, and Distribution. Int. J. Hydrogen Energy 2020, 45, 20693–20708. [Google Scholar] [CrossRef]
- Boran, A.; Erkan, S.; Ozkar, S.; Eroglu, I. Kinetics of Hydrogen Generation from Hydrolysis of Sodium Borohydride on Pt/C Catalyst in a Flow Reactor. Int. J. Energy Res. 2013, 37, 443–448. [Google Scholar] [CrossRef]
- Retnamma, R.; Novais, A.Q.; Rangel, C.M. Kinetics of Hydrolysis of Sodium Borohydride for Hydrogen Production in Fuel Cell Applications: A Review. Int. J. Hydrogen Energy 2011, 36, 9772–9790. [Google Scholar] [CrossRef]
- Abdelhamid, H.N. A Review on Hydrogen Generation from the Hydrolysis of Sodium Borohydride. Int. J. Hydrogen Energy 2021, 46, 726–765. [Google Scholar] [CrossRef]
- Demirci, U.B.; Akdim, O.; Andrieux, J.; Hannauer, J.; Chamoun, R.; Miele, P. Sodium Borohydride Hydrolysis as Hydrogen Generator: Issues, State of the Art and Applicability Upstream Froma Fuel Cell. Fuel Cells 2010, 10, 335–350. [Google Scholar]
- Dai, P.; Zhao, X.; Xu, D.; Wang, C.; Tao, X.; Liu, X.; Gao, J. Preparation, Characterization, and Properties of Pt/Al2O3/Cordierite Monolith Catalyst for Hydrogen Generation from Hydrolysis of Sodium Borohydride in a Flow Reactor. Int. J. Hydrogen Energy 2019, 44, 28463–28470. [Google Scholar] [CrossRef]
- Huff, C.; Dushatinski, T.; Abdel-Fattah, T.M. Gold Nanoparticle/Multi-Walled Carbon Nanotube Composite as Novel Catalyst for Hydrogen Evolution Reactions. Int. J. Hydrogen Energy 2017, 42, 18985–18990. [Google Scholar] [CrossRef]
- Al-Thabaiti, S.A.; Khan, Z.; Malik, M.A. Bimetallic Ag-Ni Nanoparticles as an Effective Catalyst for Hydrogen Generation from Hydrolysis of Sodium Borohydride. Int. J. Hydrogen Energy 2019, 44, 16452–16466. [Google Scholar] [CrossRef]
- Liu, Z.; Guo, B.; Chan, S.H.; Tang, E.H.; Hong, L. Pt and Ru Dispersed on LiCoO2 for Hydrogen Generation from Sodium Borohydride Solutions. J. Power Sources 2008, 176, 306–311. [Google Scholar] [CrossRef]
- Patel, N.; Patton, B.; Zanchetta, C.; Fernandes, R.; Guella, G.; Kale, A.; Miotello, A. Pd-C Powder and Thin Film Catalysts for Hydrogen Production by Hydrolysis of Sodium Borohydride. Int. J. Hydrogen Energy 2008, 33, 287–292. [Google Scholar] [CrossRef]
- Hung, T.F.; Kuo, H.C.; Tsai, C.W.; Chen, H.M.; Liu, R.S.; Weng, B.J.; Lee, J.F. An Alternative Cobalt Oxide-Supported Platinum Catalyst for Efficient Hydrolysis of Sodium Borohydride. J. Mater. Chem. 2011, 21, 11754–11759. [Google Scholar] [CrossRef]
- Schlesinger, H.I.; Brown, H.C.; Finholt, A.E.; Gilbreath, J.R.; Hoekstra, H.R.; Hyde, E.K. Sodium Borohydride, Its Hydrolysis and Its Use as a Reducing Agent and in the Generation of Hydrogen. J. Am. Chem. Soc. 1953, 75, 215–219. [Google Scholar] [CrossRef]
- Liu, B.H.; Li, Q. A Highly Active Co-B Catalyst for Hydrogen Generation from Sodium Borohydride Hydrolysis. Int. J. Hydrogen Energy 2008, 33, 7385–7391. [Google Scholar] [CrossRef]
- Balčiūnaitė, A.; Sukackienė, Z.; Antanavičiūtė, K.; Vaičiūnienė, J.; Naujokaitis, A.; Tamašauskaitė-Tamašiūnaitė, L.; Norkus, E. Investigation of Hydrogen Generation from Sodium Borohydride Using Different Cobalt Catalysts. Int. J. Hydrogen Energy 2021, 46, 1989–1996. [Google Scholar] [CrossRef]
- Demirci, U.B.; Akdim, O.; Hannauer, J.; Chamoun, R.; Miele, P. Cobalt, a Reactive Metal in Releasing Hydrogen from Sodium Borohydride by Hydrolysis: A Short Review and a Research Perspective. Sci. China Chem. 2010, 53, 1870–1879. [Google Scholar] [CrossRef]
- Demirci, U.B.; Miele, P. Reaction Mechanisms of the Hydrolysis of Sodium Borohydride: A Discussion Focusing on Cobalt-Based Catalysts. Comptes Rendus Chim. 2014, 17, 707–716. [Google Scholar] [CrossRef]
- Muir, S.S.; Yao, X. Progress in Sodium Borohydride as a Hydrogen Storage Material: Development of Hydrolysis Catalysts and Reaction Systems. Int. J. Hydrogen Energy 2011, 36, 5983–5997. [Google Scholar] [CrossRef]
- da Silva, M.V.; Fajardo, H.V.; Rodrigues, T.S.; e Silva, F.A.; Bergamaschi, V.S.; Dias, A.; Siqueira, K.P.F. Synthesis of NiMoO4 Ceramics by Proteic Sol-Gel Method and Investigation of Their Catalytic Properties in Hydrogen Production. Mater. Chem. Phys. 2021, 262, 124301. [Google Scholar] [CrossRef]
- Demirci, U.B.; Miele, P. Cobalt-Based Catalysts for the Hydrolysis of NaBH4 and NH3BH3. Phys. Chem. Chem. Phys. 2014, 16, 6872–6885. [Google Scholar]
- Şahin, Ö.; Karakaş, D.E.; Kaya, M.; Saka, C. The Effects of Plasma Treatment on Electrochemical Activity of Co–B–P Catalyst for Hydrogen Production by Hydrolysis of NaBH4. J. Energy Inst. 2017, 90, 466–475. [Google Scholar] [CrossRef]
- Abdelhamid, H.N. Solid Acid Zirconium Oxo Sulfate/Carbon-Derived UiO-66 for Hydrogen Production. Energy Fuels 2021, 35, 10322–10326. [Google Scholar] [CrossRef]
- Saka, C.; Eygï, M.S.; Balbay, A. Cobalt Loaded Organic Acid Modified Kaolin Clay for the Enhanced Catalytic Activity of Hydrogen Release via Hydrolysis of Sodium Borohydride. Int. J. Hydrogen Energy 2021, 46, 3876–3886. [Google Scholar] [CrossRef]
- Didehban, A.; Zabihi, M.; Shahrouzi, J.R. Experimental Studies on the Catalytic Behavior of Alloy and Core-Shell Supported Co-Ni Bimetallic Nano-Catalysts for Hydrogen Generation by Hydrolysis of Sodium Borohydride. Int. J. Hydrogen Energy 2018, 43, 20645–20660. [Google Scholar] [CrossRef]
- Durano, M.M.; Tamboli, A.H.; Kim, H. Cobalt Oxide Synthesized Using Urea Precipitation Method as Catalyst for the Hydrolysis of Sodium Borohydride. Colloids Surf. A Physicochem. Eng. Asp. 2017, 520, 355–360. [Google Scholar] [CrossRef]
- Jafarzadeh, H.; Karaman, C.; Güngör, A.; Karaman, O.; Show, P.L.; Sami, P.; Mehrizi, A.A. Hydrogen Production via Sodium Borohydride Hydrolysis Catalyzed by Cobalt Ferrite Anchored Nitrogen-and Sulfur Co-Doped Graphene Hybrid Nanocatalyst: Artificial Neural Network Modeling Approach. Chem. Eng. Res. Des. 2022, 183, 557–566. [Google Scholar] [CrossRef]
- Karami, M.; Fathirad, F. Cobalt Ferrite Nanoparticles Anchored on Reduced Graphene Oxide Nanoribbons (0D/1D CoFe2O4/RGONRs) as an Efficient Catalyst for Hydrogen Generation via NaBH4 Hydrolysis. Inorg. Chem. Commun. 2023, 150, 110552. [Google Scholar] [CrossRef]
- Deonikar, V.G.; Rathod, P.V.; Pornea, A.M.; Puguan, J.M.C.; Park, K.; Kim, H. Hydrogen Generation from Catalytic Hydrolysis of Sodium Borohydride by a Cu and Mo Promoted Co Catalyst. J. Ind. Eng. Chem. 2020, 86, 167–177. [Google Scholar] [CrossRef]
- Bekiroğullari, M.; Kaya, M.; Saka, C. Highly Efficient Co-B Catalysts with Chlorella Vulgaris Microalgal Strain Modified Using Hydrochloric Acid as a New Support Material for Hydrogen Production from Methanolysis of Sodium Borohydride. Int. J. Hydrogen Energy 2019, 44, 7262–7275. [Google Scholar] [CrossRef]
- Kaya, M.; Bekiroğullari, M.; Saka, C. Highly Efficient CoB Catalyst Using a Support Material Based on Spirulina Microalgal Strain Treated with ZnCl2 for Hydrogen Generation via Sodium Borohydride Methanolysis. Int. J. Energy Res. 2019, 43, 4243–4252. [Google Scholar] [CrossRef]
- Prabu, S.; Chiang, K.Y. Synergistic Effect of Pd-Co3O4 Nanoparticles Supported on Coffee-Derived Sulfur, Nitrogen-Codoped Hierarchical Porous Carbon for Efficient Methanolysis of NaBH4. J. Alloys Compd. 2023, 938, 168548. [Google Scholar] [CrossRef]
- Andrieux, J.; Demirci, U.B.; Miele, P. Langmuir-Hinshelwood Kinetic Model to Capture the Cobalt Nanoparticles-Catalyzed Hydrolysis of Sodium Borohydride over a Wide Temperature Range. Catal. Today 2011, 170, 13–19. [Google Scholar] [CrossRef]
- Teixeira, L.T.; de Lima, S.L.S.; Rosado, T.F.; Liu, L.; Vitorino, H.A.; dos Santos, C.C.; Mendonça, J.P.; Garcia, M.A.S.; Siqueira, R.N.C.; da Silva, A.G.M. Sustainable Cellulose Nanofibers-Mediated Synthesis of Uniform Spinel Zn-Ferrites Nanocorals for High Performances in Supercapacitors. Int. J. Mol. Sci. 2023, 24, 9169. [Google Scholar] [CrossRef]
- Goh, S.C.; Chia, C.H.; Zakaria, S.; Yusoff, M.; Haw, C.Y.; Ahmadi, S.; Huang, N.M.; Lim, H.N. Hydrothermal Preparation of High Saturation Magnetization and Coercivity Cobalt Ferrite Nanocrystals without Subsequent Calcination. Mater. Chem. Phys. 2010, 120, 31–35. [Google Scholar] [CrossRef]
- Baldi, G.; Bonacchi, D.; Innocenti, C.; Lorenzi, G.; Sangregorio, C. Cobalt Ferrite Nanoparticles: The Control of the Particle Size and Surface State and Their Effects on Magnetic Properties. J. Magn. Magn. Mater. 2007, 311, 10–16. [Google Scholar] [CrossRef]
- Winsett, J.; Moilanen, A.; Paudel, K.; Kamali, S.; Ding, K.; Cribb, W.; Seifu, D.; Neupane, S. Quantitative Determination of Magnetite and Maghemite in Iron Oxide Nanoparticles Using Mössbauer Spectroscopy. SN Appl. Sci. 2019, 1, 1636. [Google Scholar] [CrossRef]
- Fantauzzi, M.; Secci, F.; Sanna Angotzi, M.; Passiu, C.; Cannas, C.; Rossi, A. Nanostructured Spinel Cobalt Ferrites: Fe and Co Chemical State, Cation Distribution and Size Effects by X-Ray Photoelectron Spectroscopy. RSC Adv. 2019, 9, 19171–19179. [Google Scholar] [CrossRef] [PubMed]
- Li, H.; Hu, X.; Wang, L.; Shi, L.; Isimjan, T.T.; Yang, X. Kinetically Promoted Hydrogen Generation by Ru Nanoparticles Decorated CoB2O4 on Mesoporous Carbon Spheres with Rich Oxygen Vacancies for NaBH4 Hydrolysis. Chem. Eng. J. 2024, 481, 148547. [Google Scholar] [CrossRef]
- Lin, F.; Zhang, A.; Zhang, J.; Yang, L.; Zhang, F.; Li, R.; Dong, H. Hydrogen Generation from Sodium Borohydride Hydrolysis Promoted by MOF-Derived Carbon Supported Cobalt Catalysts. Colloids Surf. A Physicochem. Eng. Asp. 2021, 626, 127033. [Google Scholar] [CrossRef]
- Şahin, Ö.; Kılınç, D.; Saka, C. Bimetallic Co–Ni Based Complex Catalyst for Hydrogen Production by Catalytic Hydrolysis of Sodium Borohydride with an Alternative Approach. J. Energy Inst. 2016, 89, 617–626. [Google Scholar] [CrossRef]
- Wang, Y.; Liu, X. Catalytic Hydrolysis of Sodium Borohydride for Hydrogen Production Using Magnetic Recyclable CoFe2O4-Modified Transition-Metal Nanoparticles. ACS Appl. Nano Mater. 2021, 4, 11312–11320. [Google Scholar] [CrossRef]
- Şahin, Ö.; Kilinç, D.; Saka, C. Hydrogen Production by Catalytic Hydrolysis of Sodium Borohydride with a Bimetallic Solid-State Co-Fe Complex Catalyst. Sep. Sci. Technol. 2015, 50, 2051–2059. [Google Scholar] [CrossRef]
- Wang, Q.; Wei, L.; Ma, M.; Liu, H. Hydrogen Generation from the Hydrolysis of Sodium Borohydride Using Co3O4 Hollow Microspheres as High-Efficient Catalyst Precursor Synthesized by Facile Bio-Template Method. Energy Sources Part A Recovery Util. Environ. Eff. 2020, 46, 13768–13777. [Google Scholar] [CrossRef]
- Mengesha, D.N.; Baye, A.F.; Kim, H. Modulating Effect of Urea/Melamine on Co2+/Co3+ Ratio of Co3O4 Microplates for Rapid Hydrogen Generation via NaBH4 Hydrolysis. Int. J. Hydrogen Energy 2024, 57, 856–868. [Google Scholar] [CrossRef]
- Zhang, H.; Zhang, L.; Rodríguez-Pérez, I.A.; Miao, W.; Chen, K.; Wang, W.; Li, Y.; Han, S. Carbon Nanospheres Supported Bimetallic Pt-Co as an Efficient Catalyst for NaBH4 Hydrolysis. Appl. Surf. Sci. 2021, 540, 148296. [Google Scholar] [CrossRef]
- Altınsoy, M.; Ceyhan, A.A. Synthesis of Cobalt-Doped Catalyst for NaBH4 Hydrolysis Using Eggshell Biowaste. Int. J. Hydrogen Energy 2023, 48, 28018–28033. [Google Scholar] [CrossRef]
- Ingersoll, J.C.; Mani, N.; Thenmozhiyal, J.C.; Muthaiah, A. Catalytic Hydrolysis of Sodium Borohydride by a Novel Nickel-Cobalt-Boride Catalyst. J. Power Sources 2007, 173, 450–457. [Google Scholar] [CrossRef]
- Farrag, M.; Ali, G.A.M. Hydrogen generation of single alloy Pd/Pt quantum dots over Co3O4 nanoparticles via the hydrolysis of sodium borohydride at room temperature. Sci. Rep. 2022, 12, 17040. [Google Scholar] [CrossRef]
- Martins, F.P.; De-León Almaraz, S.; Botelho Junior, A.B.; Azzaro-Pantel, C.; Parikh, P. Hydrogen and the sustainable development goals: Synergies and trade-offs. Renew. Sustain. Energy Rev. 2024, 204, 114796. [Google Scholar] [CrossRef]















| Element | XPS Atomic Fraction (%) | XRD Atomic Fraction (%) |
|---|---|---|
| Fe | 71.3 | 75.1 |
| Co | 29.7 | 24.9 |
| Catalyst | Catalyst Type | NaBH4 | NaOH | Solution Volume [mL] | HGR (L min−1 gcat−1) | Temperature (°C) | Ref. |
|---|---|---|---|---|---|---|---|
| CoFe2O4/oxidized graphene | Cobalt ferrite anchored in GO nanoribbons | 2.0 wt% | 2.0 wt% | 50 | 3.7 | 35 | [34] |
| CoFe2O4/graphene | Cobalt ferrite anchored nitrogen and sulfur co-doped graphene architecture | 0.75 M | N/S | 20 | 8.5 | 25 | [33] |
| CoFe2O4/Pd | Nanospheres modified with Pd | 0.1 M | N/S | 10 | 74.8 | 30 | [48] |
| CH3COOH-kaolin-CoB | CoB catalyst on acetic acid-activated kaolin support | 5.0 wt% | 1.0 wt% | 10 | 1.53 | 30 | [30] |
| Co-Fe | Iron and cobalt metal complex | 2.5 wt% | 10 wt% | 10 | 0.69 | 30 | [49] |
| AC (Ni1/Co3/AC) | Core–shell Co-Ni bimetallic oxides on activated carbon | 10 wt% | 10 wt% | N/S | 0.66 | 30 | [31] |
| Co3O4 | Hollow microspheres | 10 wt% | 2.0 wt% | 3.0 | 5.34 | 25 | [50] |
| M2.5U10Co3O4-400 | Sheet-like structure with Co3O4 anchored | 1 wt% | N/S | 50 | 2.04 | 25 | [51] |
| CNSs@Pt0.1Co0.9 | Pt and Co anchored in carbon nanospheres | 0.945 g | 1.0 g | 6.0 | 8.94 | 30 | [52] |
| CoO/CaO | Cobalt-doped catalyst from chicken eggshell powder biowaste | 1.0 wt% | 1 wt% | 10 | 0.43 | 30 | [53] |
| Ni-Co-B | Nickel–cobalt–boride alloy (annealed) | 0.16 g | 15 wt% | 5.0 | 2.60 | 28 | [54] |
| (Pd0.5-Pt0.5)n(SG)m/Co3O4 | Single-alloy Pd/Pt quantum dots over Co3O4 nanoparticles | 1 wt% | N/S | 100 | 8.30 | 25 | [55] |
| CoFe2O4/Fe2O3 | Cobalt ferrite nanocorals | 2.0 wt% | 2.5 wt% | 10 | 1.89 | 25 | This work |
| Catalyst | Activation Energy (kJ mol −1) | Reference |
|---|---|---|
| CoFe2O4/oxidized graphene | 31.4 | [34] |
| CoFe2O4/Pd | 63.1 | [48] |
| CoBFe | 74.0 | [22] |
| CH3COOH-kaolin-CoB | 49.4 | [30] |
| AC (Ni1/Co3/AC) | 50.0 | [31] |
| Co3O4 hollow microspheres | 42.5 | [50] |
| CNSs@Pt0.1Co0.9 | 38.0 | [52] |
| CoO/CaO | 16.7 | [53] |
| Plasma-treated Co-B-P | 49.1 | [28] |
| Ni-Co-B | 62.0 | [54] |
| CoFe2O4/Fe2O3 | 38.4 ± 5.3 | This work (empirical model) |
| CoFe2O4/Fe2O3 | 42.2 ± 5.8 | This work (L–H model) |
Disclaimer/Publisher’s Note: The statements, opinions and data contained in all publications are solely those of the individual author(s) and contributor(s) and not of MDPI and/or the editor(s). MDPI and/or the editor(s) disclaim responsibility for any injury to people or property resulting from any ideas, methods, instructions or products referred to in the content. |
© 2025 by the authors. Licensee MDPI, Basel, Switzerland. This article is an open access article distributed under the terms and conditions of the Creative Commons Attribution (CC BY) license (https://creativecommons.org/licenses/by/4.0/).
Share and Cite
Teixeira, L.T.; Medeiros, M.; Liu, L.; Park, V.N.; Valente-Rodriguez, C.; Letichevsky, S.; Fajardo, H.V.; de Siqueira, R.N.C.; Maia da Costa, M.E.H.; Botelho Junior, A.B. Sustainable Synthesis of CoFe2O4/Fe2O3 Catalyst for Hydrogen Generation from Sodium Borohydride Hydrolysis. Catalysts 2025, 15, 943. https://doi.org/10.3390/catal15100943
Teixeira LT, Medeiros M, Liu L, Park VN, Valente-Rodriguez C, Letichevsky S, Fajardo HV, de Siqueira RNC, Maia da Costa MEH, Botelho Junior AB. Sustainable Synthesis of CoFe2O4/Fe2O3 Catalyst for Hydrogen Generation from Sodium Borohydride Hydrolysis. Catalysts. 2025; 15(10):943. https://doi.org/10.3390/catal15100943
Chicago/Turabian StyleTeixeira, Lucas Tonetti, Marcos Medeiros, Liying Liu, Vinicius Novaes Park, Célio Valente-Rodriguez, Sonia Letichevsky, Humberto Vieira Fajardo, Rogério Navarro Correia de Siqueira, Marcelo Eduardo Huguenin Maia da Costa, and Amilton Barbosa Botelho Junior. 2025. "Sustainable Synthesis of CoFe2O4/Fe2O3 Catalyst for Hydrogen Generation from Sodium Borohydride Hydrolysis" Catalysts 15, no. 10: 943. https://doi.org/10.3390/catal15100943
APA StyleTeixeira, L. T., Medeiros, M., Liu, L., Park, V. N., Valente-Rodriguez, C., Letichevsky, S., Fajardo, H. V., de Siqueira, R. N. C., Maia da Costa, M. E. H., & Botelho Junior, A. B. (2025). Sustainable Synthesis of CoFe2O4/Fe2O3 Catalyst for Hydrogen Generation from Sodium Borohydride Hydrolysis. Catalysts, 15(10), 943. https://doi.org/10.3390/catal15100943

