Residual Trifluorosulfonic Acid in Amino-Functionalized Covalent Triazine Frameworks for Boosting Photocatalytic Hydrogen Evolution
Abstract
1. Introduction
2. Results and Discussion
2.1. Preparation of Samples
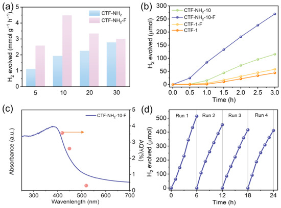
2.2. Photocatalytic Hydrogen Evolution
3. Conclusions
Supplementary Materials
Author Contributions
Funding
Data Availability Statement
Conflicts of Interest
References
- Tao, X.; Zhao, Y.; Wang, S.; Li, C.; Li, R. Recent advances and perspectives for solar-driven water splitting using particulate photocatalysts. Chem. Soc. Rev. 2022, 51, 3561–3608. [Google Scholar] [CrossRef] [PubMed]
- Hota, P.; Das, A.; Maiti, D.K. A short review on generation of green fuel hydrogen through water splitting. Int. J. Hydrogen Energy 2023, 48, 523–541. [Google Scholar] [CrossRef]
- Yan, Z.; Yin, K.; Xu, M.; Fang, N.; Yu, W.; Chu, Y.; Shu, S. Photocatalysis for synergistic water remediation and H2 production: A review. Chem. Eng. J. 2023, 472, 145066. [Google Scholar] [CrossRef]
- Meng, J.Y.; Huang, Y.M.; Wang, X.L.; Liao, Y.F.; Zhang, H.H.; Dai, W.L. Photocatalytic Production of Hydrogen Peroxide from Covalent-Organic-Framework-Based Materials: A Mini-Review. Catalysts 2024, 14, 429. [Google Scholar] [CrossRef]
- Li, Y.; Song, X.; Zhang, G.; Wang, L.; Liu, Y.; Chen, W.; Chen, L. 2D Covalent Organic Frameworks Toward Efficient Photocatalytic Hydrogen Evolution. ChemSusChem 2022, 15, e202200901. [Google Scholar] [CrossRef]
- He, T.; Zhao, Y. Covalent Organic Frameworks for Energy Conversion in Photocatalysis. Angew. Chem. Int. Ed. 2023, 62, e202303086. [Google Scholar] [CrossRef]
- Zhao, C.; Han, C.; Yang, X.; Xu, J. Synthesis of two-dimensional ultrathin photocatalytic materials towards a more sustainable environment. Green Chem. 2022, 24, 4728–4741. [Google Scholar] [CrossRef]
- Chen, Z.; Wang, J.; Hao, M.; Xie, Y.; Liu, X.; Yang, H.; Waterhouse, G.I.N.; Wang, X.; Ma, S. Tuning excited state electronic structure and charge transport in covalent organic frameworks for enhanced photocatalytic performance. Nat. Commun. 2023, 14, 1106. [Google Scholar] [CrossRef]
- López-Magano, A.; Daliran, S.; Oveisi, A.R.; Mas-Ballesté, R.; Dhakshinamoorthy, A.; Alemán, J.; Garcia, H.; Luque, R. Recent Advances in the Use of Covalent Organic Frameworks as Heterogenous Photocatalysts in Organic Synthesis. Adv. Mater. 2023, 35, 2209475. [Google Scholar] [CrossRef]
- An, B.; Zheng, B.; Liu, Z.; Wu, Z.; Wu, M.; Wu, W. Covalent organic frameworks for photochemical organic synthesis. Curr. Opin. Green Sustain. Chem. 2023, 41, 100798. [Google Scholar] [CrossRef]
- Chen, J.; Yuan, D.; Wang, Y. Covalent Organic Frameworks Based Heterostructure in Solar-To-Fuel Conversion. Adv. Funct. Mater. 2023, 33, 2304071. [Google Scholar] [CrossRef]
- Rahman, T.U.; Roy, H.; Fariha, A.; Shoronika, A.Z.; Al-Mamun, M.R.; Islam, S.Z.; Islam, M.S.; Marwani, H.M.; Islam, A.; Alsukaibi, A.K.D.; et al. Progress in plasma doping semiconductor photocatalysts for efficient pollutant remediation and hydrogen generation. Sep. Purif. Technol. 2023, 320, 124141. [Google Scholar] [CrossRef]
- Kao, J.-C.; Teng, T.-Y.; Lin, H.-W.; Tseng, F.-G.; Ting, L.-Y.; Bhalothia, D.; Chou, H.-H.; Lo, Y.-C.; Chou, J.-P.; Chen, T.-Y. Single Atom Ag Bonding Between PF3T Nanocluster and TiO2 Leads the Ultra-Stable Visible-Light-Driven Photocatalytic H2 Production. Small 2024, 20, 2403176. [Google Scholar] [CrossRef] [PubMed]
- Fu, X.; Wang, J.; Huang, D.; Meng, S.; Zhang, Z.; Li, L.; Miao, T.; Chen, S. Trace Amount of SnO2-Decorated ZnSn(OH)6 as Highly Efficient Photocatalyst for Decomposition of Gaseous Benzene: Synthesis, Photocatalytic Activity, and the Unrevealed Synergistic Effect between ZnSn(OH)6 and SnO2. ACS Catal. 2016, 6, 957–968. [Google Scholar] [CrossRef]
- Bhalothia, D.; Wang, Z.-X.; Ting, L.-Y.; Chuang, Y.-T.; Chou, J.-P.; Lin, H.-W.; Tseng, F.-G.; Chou, H.-H.; Chen, T.-Y. Electron Coupling between the Linear-Conjugated Polymer Nanocluster and TiO2 Nanoparticle Enables a Quantum Leap for Visible Light-Driven Hydrogen Evolution. J. Phys. Chem. C 2022, 126, 18596–18604. [Google Scholar] [CrossRef]
- Huang, Y.H.; Wang, M.; Liu, W.; Wu, Q.; Hu, P. Unraveling the Prominent Existence of Trace Metals in Photocatalysis: Exploring Iron Impurity Effects. J. Org. Chem. 2024, 89, 4156–4164. [Google Scholar] [CrossRef]
- Wu, M.Y.; Wu, Z.G.; Ang, H.T.; Wang, B.; Liu, T.; Wu, S.F.; Lei, Z.X.; Liaw, M.W.; Chanmungkalakul, S.; Lee, C.L.K.; et al. Enhanced Reactivity of Acridinium Perchlorate: Harnessing Redox Mediators for Trace Chloride Activation in Hydrogen Atom Transfer Photocatalysis. ACS Catal. 2024, 14, 9364–9373. [Google Scholar] [CrossRef]
- Qian, Z.; Wang, Z.J.; Zhang, K.A.I. Covalent Triazine Frameworks as Emerging Heterogeneous Photocatalysts. Chem. Mater. 2021, 33, 1909–1926. [Google Scholar] [CrossRef]
- Guo, L.; Wang, X.; Zhan, Z.; Zhao, Y.; Chen, L.; Liu, T.; Tan, B.; Jin, S. Crystallization of Covalent Triazine Frameworks via a Heterogeneous Nucleation Approach for Efficient Photocatalytic Applications. Chem. Mater. 2021, 33, 1994–2003. [Google Scholar] [CrossRef]
- Sun, R.; Tan, B. Covalent Triazine Frameworks (CTFs) for Photocatalytic Applications. Chem. Res. Chin. Univ. 2022, 38, 310–324. [Google Scholar] [CrossRef]
- Li, Z.; Fang, H.; Chen, Z.; Zou, W.; Zhao, C.; Yang, X. Regulating donor-acceptor interactions in triazine-based conjugated polymers for boosted photocatalytic hydrogen production. Appl. Catal. B Environ. 2022, 312, 121374. [Google Scholar] [CrossRef]
- Zhu, Y.; Chen, X.; Cao, Y.; Peng, W.; Li, Y.; Zhang, G.; Zhang, F.; Fan, X. Reversible intercalation and exfoliation of layered covalent triazine frameworks for enhanced lithium ion storage. Chem. Commun. 2019, 55, 1434–1437. [Google Scholar] [CrossRef] [PubMed]
- Zhao, C.; Li, Z.; Wu, X.; Su, H.; Bai, F.-q.; Ran, X.; Yang, L.; Fang, W.; Yang, X. Theory-Guided Experimental Design of Covalent Triazine Frameworks for Efficient Photocatalytic Hydrogen Production. Small 2024, 20, 2400541. [Google Scholar] [CrossRef] [PubMed]
- Li, Z.; Li, T.; Miao, J.; Zhao, C.; Jing, Y.; Han, F.; Zhang, K.; Yang, X. Amide-functionalized covalent triazine framework for enhanced photocatalytic hydrogen evolution. Sci. China Mater. 2023, 66, 2290–2298. [Google Scholar] [CrossRef]
- Yang, Z.; Chen, H.; Wang, S.; Guo, W.; Wang, T.; Suo, X.; Jiang, D.-e.; Zhu, X.; Popovs, I.; Dai, S. Transformation Strategy for Highly Crystalline Covalent Triazine Frameworks: From Staggered AB to Eclipsed AA Stacking. J. Am. Chem. Soc. 2020, 142, 6856–6860. [Google Scholar] [CrossRef]
- Huang, W.; Li, B.; Wu, Y.; Zhang, Y.; Zhang, W.; Chen, S.; Fu, Y.; Yan, T.; Ma, H. In Situ-Doped Superacid in the Covalent Triazine Framework Membrane for Anhydrous Proton Conduction in a Wide Temperature Range from Subzero to Elevated Temperature. ACS Appl. Mater. Interfaces 2021, 13, 13604–13612. [Google Scholar] [CrossRef]
- Li, Y.; Zhang, R.; Li, C.; Li, H.; Fang, Q.; Xie, T. Fabrication of electron–acceptor staggered AB Covalent triazine-based frameworks for enhanced visible-light-driven H2 evolution. J. Colloid Interface Sci. 2022, 608, 1449–1456. [Google Scholar] [CrossRef]
- Ran, J.; Gao, G.; Li, F.T.; Ma, T.Y.; Du, A.; Qiao, S.Z. Ti3C2 MXene co-catalyst on metal sulfide photo-absorbers for enhanced visible-light photocatalytic hydrogen production. Nat. Commun. 2017, 8, 13907. [Google Scholar] [CrossRef]
- Li, J.; Liu, X.; Sun, Z.; Sun, Y.; Pan, L. Novel yolk–shell structure bismuth-rich bismuth molybdate microspheres for enhanced visible light photocatalysis. J. Colloid Interf. Sci. 2015, 452, 109–115. [Google Scholar] [CrossRef]
- Liu, C.; Busse, S.; Liu, J.; Godin, R. Aminosilanized Interface Promotes Electrochemically Stable Carbon Nitride Films with Fewer Trap States on FTO for (Photo)electrochemical Systems. ACS Appl. Mater. Interfaces 2023, 15, 46902–46915. [Google Scholar] [CrossRef]
- Gao, H.; Neale, A.R.; Zhu, Q.; Bahri, M.; Wang, X.; Yang, H.; Xu, Y.; Clowes, R.; Browning, N.D.; Little, M.A.; et al. A Pyrene-4,5,9,10-Tetraone-Based Covalent Organic Framework Delivers High Specific Capacity as a Li-Ion Positive Electrode. J. Am. Chem. Soc. 2022, 144, 9434–9442. [Google Scholar] [CrossRef] [PubMed]
- Zhao, Z.; Chen, W.; Zhang, G.; Chen, Y. Interface molecular wires induce electron transfer from COFs to Pt for enhanced photocatalytic H2 evolution. J. Mater. Chem. A 2023, 11, 26052–26062. [Google Scholar] [CrossRef]
- Furuya, Y.; Mashio, T.; Ohma, A.; Dale, N.; Oshihara, K.; Jerkiewicz, G. Surface oxide growth on platinum electrode in aqueous trifluoromethanesulfonic acid. J. Chem. Phys. 2014, 141, 164705. [Google Scholar] [CrossRef]
- Tang, M.; Yan, H.; Zhang, X.; Zheng, Z.; Chen, S. Materials Strategies Tackling Interfacial Issues in Catalyst Layers of Proton Exchange Membrane Fuel Cells. Adv. Mater. 2023, 2306387. [Google Scholar] [CrossRef]
- Zhang, T.; Hou, Y.; Dzhagan, V.; Liao, Z.Q.; Chai, G.L.; Loffler, M.; Olianas, D.; Milani, A.; Xu, S.Q.; Tommasini, M.; et al. Copper-surface-mediated synthesis of acetylenic carbon-rich nanofibers for active metal-free photocathodes. Nat. Commun. 2018, 9, 1140. [Google Scholar] [CrossRef]
- Greczynski, G.; Hultman, L. X-ray photoelectron spectroscopy: Towards reliable binding energy referencing. Prog. Mater Sci. 2020, 107, 100591. [Google Scholar] [CrossRef]
- Li, L.; Zhu, Y.; Gong, N.; Zhang, W.; Peng, W.; Li, Y.; Zhang, F.; Fan, X. Band-gap engineering of layered covalent organic frameworks via controllable exfoliation for enhanced visible-light-driven hydrogen evolution. Int. J. Hydrogen Energy 2020, 45, 2689–2698. [Google Scholar] [CrossRef]
- Kong, D.; Han, X.; Xie, J.; Ruan, Q.; Windle, C.D.; Gadipelli, S.; Shen, K.; Bai, Z.; Guo, Z.; Tang, J. Tunable covalent triazine-based frame works (CTF-0) for visible-light-driven hydrogen and oxygen generation from water splitting. ACS Catal. 2019, 9, 7697–7707. [Google Scholar] [CrossRef]






Disclaimer/Publisher’s Note: The statements, opinions and data contained in all publications are solely those of the individual author(s) and contributor(s) and not of MDPI and/or the editor(s). MDPI and/or the editor(s) disclaim responsibility for any injury to people or property resulting from any ideas, methods, instructions or products referred to in the content. |
© 2024 by the authors. Licensee MDPI, Basel, Switzerland. This article is an open access article distributed under the terms and conditions of the Creative Commons Attribution (CC BY) license (https://creativecommons.org/licenses/by/4.0/).
Share and Cite
Zhao, C.; Li, Z.; Xiao, W. Residual Trifluorosulfonic Acid in Amino-Functionalized Covalent Triazine Frameworks for Boosting Photocatalytic Hydrogen Evolution. Catalysts 2025, 15, 12. https://doi.org/10.3390/catal15010012
Zhao C, Li Z, Xiao W. Residual Trifluorosulfonic Acid in Amino-Functionalized Covalent Triazine Frameworks for Boosting Photocatalytic Hydrogen Evolution. Catalysts. 2025; 15(1):12. https://doi.org/10.3390/catal15010012
Chicago/Turabian StyleZhao, Chengxiao, Zhaolin Li, and Weiping Xiao. 2025. "Residual Trifluorosulfonic Acid in Amino-Functionalized Covalent Triazine Frameworks for Boosting Photocatalytic Hydrogen Evolution" Catalysts 15, no. 1: 12. https://doi.org/10.3390/catal15010012
APA StyleZhao, C., Li, Z., & Xiao, W. (2025). Residual Trifluorosulfonic Acid in Amino-Functionalized Covalent Triazine Frameworks for Boosting Photocatalytic Hydrogen Evolution. Catalysts, 15(1), 12. https://doi.org/10.3390/catal15010012

